Kommutationswerte

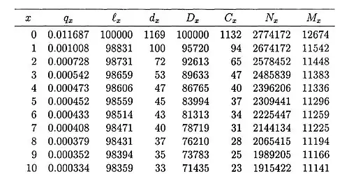
Auszug aus der DAV-Sterbetafel 1994 T für Männer von 0 bis 10 Jahren. Dargestellt sind die zugehörigen Kommutationswerte auf dem damals gültigen Zinssatz von 3,25 %.

Als Kommutationswerte, oder auch Kommutationszahlen, werden in der Lebens- und Kranken­versicherungs­mathematik zweckmäßige Hilfsgrößen bezeichnet, mit denen schnelle Barwertberechnungen vorgenommen werden.

Die Berechnung von Leistungs- und Beitragsbarwerten ist in aller Regel sehr aufwändig, da jeder Summand ein Produkt mit weiteren Faktoren enthält. In der computergestützten Berechnung spielt diese Vereinfachung zwar prinzipiell keine Rolle. Dennoch ermöglichen Kommutationswerte die aufwändigen Berechnungen in übersichtliche Teilausdrücke aufzuteilen, da sie an unterschiedlichen Stellen von Berechnungen vorkommen und mehrfach eingesetzt werden.

Kommutationswerte werden sowohl in operativen Systemen, Sterbetafeln wie auch in Formelsammlungen verwendet. Sie berücksichtigen unmittelbar das Äquivalenzprinzip der Rentenrechnung, nach dem die Gleichwertigkeit zweier Zahlungsströme durch Vergleich der Barwerte oder der Endwerte einbezogen wird. (→ Konstante Renten)

Geschichte

Einleitung zur Berechnung der Leibrenten, 1785 (Digitalisat)

Die Einführung der Kommutationszahlen geht auf das zweibändige, fast tausend Seiten starke Lehrbuch

Einleitung zur Berechnung der Leibrenten und Anwartſchaften die vom Leben und Tode einer oder mehrerer Perſonen abhangen

des deutsch-dänischen Philosophen, Mathematikers und Naturforschers Johannes Nikolaus Tetens zurück, welches in den Jahren 1785 und 1786 in Leipzig erschien.[1] Ihre rekursive Struktur erleichterte die manuelle tarifarische Kalkulation. Auch der Gebrauch von Tabellenwerken sollte die Quellen von Berechnungsfehlern minimieren. Sein Werk stützt sich unter anderem auf Arbeiten von Johann Peter Süßmilch und Leonhard Euler; letzterer trug 1760 die Berechnung der Witwenrenten vor.[2]

Ausgangspunkt für diese Veröffentlichung war die Tetens übertragene Prüfung der 1767 errichteten und in Schwierigkeiten geratenen Calenbergischen Witwencasse im heutigen Niedersachsen. In einem umfangreichen Vorwort führt er allgemeinverständlich seine für die Lebensversicherungsmathematik geschaffenen Rechnungsgrundlagen aus. Tetens begründete den Risikobegriff, der als Produkt von der Größe des Gewinns und der Eintrittswahrscheinlichkeit definiert wird.

Zwar verwendet Tetens den Begriff der Kommutationswerte nicht wörtlich. Allerdings wendet er die Hilfsgröße mehrfach in seinem Lehrbuch an. Ebenso verwendet er zur Ermittlung des Barwerts erstmals diskontierte Zahlen. Neben Herleitungen, strengen Beweisen besteht das Buch aus einer Vielzahl von (Hilfs-)Tabellen und praktischen Berechnungsbeispielen, um den Umgang mit den Tabellen zu erklären.

Sterbetafel von Tetens mit den tabellierten Kommutationswerten

So gab Tetes beispielsweise zur leichten Berechnung der Wehrte der Verbindungsrenten folgendes Berechnungsschema vor:

„Es iſt dieſe Tabelle zwar nur allein nach der Süʃsmilchiʃchen Mortalitätstafel[Anm. 1] gemacht, aber ſie kann bey jeder andern Sterblichkeitsordnung leicht eingerichtet werden. […] Aus der letztern kann jene in weniger als einer Stunde Zeit verfertigt werden. Es beſteht alles in einem leichten Addiren von Zahlen. Die ganze Arbeit, die etwas mühſam heiſsen kann, iſt die, daſs man in der erſten Tabelle für einzelne Perſonen die discontirten Zahlen der Lebenden, (die Zahlen in der Columne E,)[Anm. 2] berechne. Alsdenn iſt alles übrige ſo gut als eingerichtet. […]“[3]

    
  1. Die Süßmilch-Baumannsche Sterbetafel aus dem Jahr 1775 fand über ein Jahrhundert Anwendung in Deutschland.
  2. Die von Tetes verwendeten Tabellen ähneln den heutigen Sterbetafeln. Er verwendete für die Leibrentenberechnung eine fünfspaltige („Columnen“) Tabelle mit folgenden Spalten:
    Spalte A: Jahre, womit er das Alter meinte; Spalte B: Decremente, womit er die Verstorbenen meinte; Position C: Differenzen der Decremente; Spalte D: Summen der Summen der Lebenden; Spalte E: Summen der Summen der discontierten Zahlen der Lebenden.

Konstruktion

Zur Konstruktion der Kommutationswerte betrachtet man die Lebensdauer und die zugehörige Familie der Zufallsvariablen , welche unabhängig und identisch mit für alle verteilt ist. Dabei wird als Bestandsgröße der Neugeborenen und als Lebensdauer von Personen verwendet.

Für sei:

ist dabei die erwartete Zahl der Überlebenden mit dem Alter , kurz: Zahl der Lebenden und die erwartete Zahl der im Lebensjahr Sterbenden, kurz: Zahl der Toten. In Sterbetafeln wird üblicherweise mit 100.000 Lebenden als Normierung angewendet.

Anwendung

Lebensversicherungsmathematik

Kommutationswerte werden neben den einjährigen Sterbewahrscheinlichkeiten in Sterbetafeln geführt. Es hat sich im Kalkül durchgesetzt, anstelle der Versicherungssumme und der Beiträge die Lebenden und die Toten abzuzinsen. Als Stichtag wird ohne Beschränkung der Allgemeinheit das Alter gewählt.

Sei der periodische Diskontfaktor zum Zeitpunkt , dann werden üblicherweise die mit den Überlebenden gebildeten Kommutationswerte wie folgt bezeichnet:

  1. Ordnung: diskontierte Lebende des Alters
  2. Ordnung: Summe der diskontierten Lebenden im Alter von bis
  3. Ordnung: doppelte Summe der diskontierten Lebenden

Mit den Toten werden folgende Kommutationswerte gebildet:

  1. Ordnung: Anzahl der diskontierten Toten im Alter
  2. Ordnung: Summe der diskontierten Toten im Alter von bis
  3. Ordnung: doppelte Summe der diskontierten Toten

Die um eine Periode mehr abgezinsten Kommutationswerte resultieren aus der Festlegung, dass Versicherungsleistungen für Todesfälle am Jahresende stattfinden. Beitrags- und Erlebensfallleistungen werden zu Jahresbeginn fällig. Für gilt aufgrund von die Beziehung . Für die Summen und doppelten Summen gelten analoge Beziehungen.

Die Kommutationswerte der 1. Ordnung werden auch als diskontierte Lebende bzw. diskontierte Tote bezeichnet. Wie oben gezeigt, kann mittels der Kommutationswerte für die Lebenden die der Toten ausgedrückt werden. Der umgekehrte Weg ist nicht möglich. Aus diesem Grund werden in Geschäftsplänen und Mitteilungen der Lebensversicherungen an die BaFin gemäß § 143 VAG auch nur die Kommutationswerte für die Lebenden verwendet.[4]

Die Kommutationswerte und sind auf das Ende des Sterbejahres bezogen und kommen damit für Zahlungen immer erst zu diesem Zeitpunkt zur Wirkung. Um Zahlungen unmittelbar nach dem Todesfallzeitpunkt erfolgen zu lassen werden zur Glättung des Vorgangs Korrekturen verwendet.[5]

Mithilfe der Kommutationswerte lassen sich unmittelbar folgende Rentenversicherungsformen berechnen:[6]

  • die Sofortrente:
  • die Todesfallversicherung:
  • die Erlebensfallversicherung:

Krankenversicherungsmathematik

Zusätzlich zu den Kommutationswerten aus der Lebensversicherungsmathematik verwendet die Krankenversicherung meist zwei zusätzliche und nur dort spezifische Kommutationswerte, die keine feste Sprechweise haben.[7]

Sie werden definiert als:

und

.

Literatur

  • Hartmut Milbrodt: Mathematische Methoden der Personenversicherung. de Gruyter, 1999, ISBN 3-11-014226-0, S. 321 ff.
  • Jens Kahlenberg: Lebensversicherungsmathematik. Basiswissen zur Technik der deutschen Lebensversicherung. Springer Gabler, 2018, ISBN 978-3-658-14657-3, S. 129–131.
  • Klaus D. Schmidt: Versicherungsmathematik, Springer, 2002, ISBN 978-3-540-42731-5, S. 123 ff.
  • Karl Michael Ortmann: Praktische Lebensversicherungsmathematik. Springer Spektrum, Wiesbaden 2016, ISBN 978-3-658-10199-2, S. 124–125.
  • Torsten Becker: Mathematik der privaten Krankenversicherung. Springer Spektrum, Wiesbaden 2017, ISBN 978-3-658-16665-6, S. 101–104.

Einzelnachweise

  1. Peter Koch: Geschichte der Versicherungswissenschaft in Deutschland. Verlag Versicherungswirtschaft, Karlsruhe 1998, ISBN 3-88487-745-3, S. 40–41.
  2. Tetens: Einleitung zur Berechnung der Leibrenten und Anwartſchaften die vom Leben und Tode einer oder mehrerer Perſonen abhangen. S. X (Digitalisat).
  3. Tetens: Einleitung zur Berechnung der Leibrenten und Anwartſchaften die vom Leben und Tode einer oder mehrerer Perſonen abhangen, S. 220 (Digitalisat).
  4. Jens Kahlenberg: Lebensversicherungsmathematik. Basiswissen zur Technik der deutschen Lebensversicherung. S. 130.
  5. Wolfgang Grundmann: Finanz- und Versicherungsmathematik. Vieweg+Teubner Verlag, Wiesbaden 1996, ISBN 978-3-8154-2087-4, S. 88.
  6. Volkert Paulsen: Versicherungsmathematik, S. 15.
  7. Hartmut Milbrodt, Volker Röhrs: Aktuarielle Methoden der deutschen Privaten Krankenversicherung, Verlag Versicherungswirtschaft, Karlsruhe 2016, ISBN 978-3-89952-610-3, S. 54.