Sterbetafel


Die Sterbetafel ist eine Ausscheideordnung in Tabellenform (Nummerntafel), die darstellt, wie sich ein fiktives Kollektiv von Personen aus einer bestimmten Personengruppe durch Tod erwartungsgemäß verringert.
Geschichte
Sterbetafeln gab es bereits in der frühen Neuzeit. Sie gehen auf John Graunt zurück, der im Jahre 1662 die Sterbeverzeichnisse in London analysierte, hieraus die erste Sterbetafel berechnete und damit erstmals für jedes Alter Überlebenswahrscheinlichkeiten angab. Diese Daten veröffentlichte er in seinem Buch Natural and Political Observations Made upon the Bills of Mortality (1662).
1689 hatte Caspar Neumann statistische Daten über das Sterbealter in Breslau zusammengetragen, die er an Gottfried Wilhelm Leibniz sandte. Neumanns Daten dienten Edmond Halley als Grundlage für einen im Jahre 1693 veröffentlichten Artikel über Leibrenten. Weitere Untersuchungen führten 1742 der Holländer Kerseboom, 1746 der französische Mathematiker Antoine Deparcieux sowie 1766 der Schwede Pehr Wilhelm Wargentin durch.[1]
In Deutschland veröffentlichte E. W. Brune in Berlin (Rechnungsrat der Königlich Preußischen Allgemeinen Witwen-Verpflegungsanstalt) 1837 Sterbetafeln[2], die auch Carl Friedrich Gauß nutzte, der sich für die Witwenkasse der Universität Göttingen mit dem Thema befasste. Brune wertete die Daten von 31500 Ehepaaren aus seiner Kasse von 1776 bis 1834 aus.
Elemente einer Sterbetafel
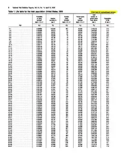
In der Sterbetafel werden getrennt nach Geschlecht meist folgende Werte für die Alter bis zum Endalter der Sterbetafel (oft, wie z. B. bei DAV 2008 T, DAV 2004 R: ) aufgeführt:
- die alters- und geschlechtsabhängigen Sterbewahrscheinlichkeiten der betreffenden Personengruppe ,
- daraus errechnet die Anzahl der jeweils bis zum Alter Überlebenden eines fiktiven Kollektivs in der Personengruppe und
- die pro Altersjahr Gestorbenen des fiktiven Kollektivs.
Die Überlebenswahrscheinlichkeit sagt für jedes erreichte Lebensalter aus, mit welcher Wahrscheinlichkeit ein Individuum des Kollektivs das Alter erreicht. Die Wahrscheinlichkeit einer -jährigen Person, vor Erreichen des Alters zu sterben, also die Sterbewahrscheinlichkeit , ist damit .
Häufig werden für Männer und Frauen getrennte Sterbetafeln verwendet. Aus der Sterbetafel lassen sich die Lebenserwartung eines neugeborenen Kindes und die sog. fernere Lebenserwartung, also die Lebenserwartung einer Person im Alter , errechnen. In der Schreibweise der Versicherungsmathematik wird das Alter von Männern mit , das von Frauen mit bezeichnet. Die Sterblichkeit eines -jährigen Mannes wird mit , die einer -jährigen Frau mit notiert.
Neben den Sterbewahrscheinlichkeiten werden für jedes Alter in der Sterbetafel die Anzahl der noch lebenden und die Anzahl der im Alter versterbenden Personen tabelliert. Dabei geht man oft von oder neugeborenen Personen aus. Damit kann man anschaulich darstellen, wie sich ein Personenkollektiv im Modell durch die Sterbefälle reduziert. Es gilt:
Übliche Sterbewahrscheinlichkeiten
Die Wahrscheinlichkeit im Alter von bis Jahren zu sterben, mit bezeichnet, ist stark vom Alter abhängig und unterscheidet sich natürlich zwischen Sterbetafeln eklatant. Ganz grob gesprochen: In der Grundschule ist , also unter 0,01 %, zwischen 1 Jahr und 40 Jahren unter 0,1 %, bis zum Alter von 60 Jahren unter 1 %, bis zum Alter von 85 Jahren unter 10 %.
| Alter | Wahrscheinlichkeit innerhalb eines Jahres zu sterben |
|---|---|
| 5–10 | unter 0,01 % |
| 1–40 | unter 0,1 % |
| 0–60 | unter 1 % |
| 0–85 | unter 10 % |
Arten von Sterbetafeln
In der Versicherungswirtschaft werden vielfach Periodensterbetafeln eingesetzt. Dabei werden altersspezifische Sterblichkeiten von gleichzeitig lebenden Personen ermittelt. Periodentafeln beschreiben daher modellhaft die Sterblichkeitsverhältnisse gleichzeitig lebender Generationen innerhalb eines relativ kurzen Beobachtungszeitraums.
Im Gegensatz dazu sind Kohortensterbetafeln, die das Absterben eines Geburtsjahrganges beschreiben, aufgrund des langen Beobachtungszeitraums ungeeignet für die Kalkulation von Rentenversicherungen.
Unter einer Generationensterbetafel versteht man eine Sterbetafel, bei der die Sterblichkeit nicht nur vom Alter (und eventuell vom Geschlecht), sondern zusätzlich vom Geburtsjahrgang abhängt. Hierdurch lässt sich die steigende Lebenserwartung für später geborene Personen berücksichtigen. Generationentafeln liegen daher der Kalkulation von Rentenversicherungen zugrunde.[4] Die oben bereits erwähnten Tafeln DAV 1994 R und DAV 2004 R sind Generationentafeln. Manchmal wird die Geburtsjahrabhängigkeit vereinfachend dadurch abgebildet, dass später geborene Jahrgänge für die Kalkulation durch eine einfache Altersverschiebung „jünger gemacht“ werden.
Zum Teil werden auch Versichertensterbetafeln eingesetzt. Diese berücksichtigen, dass die Sterblichkeit des Versichertenkollektivs von derjenigen der Bevölkerung z. B. aufgrund einer Gesundheitsprüfung oder der Selbstselektion abweicht.
Die Methode der Sterbetafelberechnung gehört zu den nichtparametrischen Verfahren der Ereignisanalyse.
Anwendung

Wird die Tafel zur Kalkulation von Beiträgen eines Versicherungsvertrages oder der Deckungsrückstellung verwendet, so werden die Sterbewahrscheinlichkeiten erster Ordnung angesetzt. Sie sind gegenüber den Wahrscheinlichkeiten zweiter Ordnung (den "realistischen" Werten) mit Sicherheitsmargen versehen, um jeweils das Risiko vorsichtig einzuschätzen. Sie bilden geeignete Rechnungsgrundlagen. Entsprechende Sterbetafeln werden beispielsweise von der Deutschen Aktuarvereinigung e. V. (DAV) herausgegeben.
- Besteht das Risiko im Tod des Versicherten (Lebensversicherungen auf den Todes- und Erlebensfall, Risikolebensversicherung), so werden die Sterbewahrscheinlichkeiten erhöht (Zuschlag). Ein Beispiel ist die Tafel DAV 2008 T.
- Besteht das Risiko im Überleben (Rentenversicherungen), so werden die Sterbewahrscheinlichkeiten gesenkt (Abschlag). Ein Beispiel ist die Tafel DAV 2004 R.
Passende DAV-Tafeln dürfen für die Berechnung der in der Bilanz einer Versicherung auszuweisenden Deckungsrückstellung verwendet werden. Die Tafel DAV 1994 R berücksichtigt den Trend zur größeren Lebensdauer (wegen des medizinischen Fortschritts und der Verbesserung der Lebensumstände) für später geborene Personen aus heutiger Sicht nicht ausreichend vorsichtig und darf daher nicht mehr von Rentenversicherungen verwendet werden.
Die zur Kalkulation von Altersrenten verwendeten Sterbetafeln (Rententafeln) berücksichtigen die steigende Lebenserwartung. Die anzusetzende Sterbewahrscheinlichkeit hängt damit nicht nur vom Alter , sondern auch vom Geburtsjahrgang ab, da seit Jahrzehnten von Geburtsjahrgang zu Geburtsjahrgang die Lebenserwartung zunimmt. Die damit entstehende zweidimensionale Tafel mit einer Altersverschiebung wird auch zu einer eindimensionalen Tafel vereinfacht.
Siehe auch
Weblinks
- Deutschland
- Statistisches Bundesamt (Destatis): Themenbereich Sterbefälle, Lebenserwartung Abgerufen am 23. Februar 2025
- Deutsche Aktuarvereinigung e. V. (DAV)
- Bayerische Sterbetafel ab 1891/1900 (Lebenserwartung nach vollendetem Alter)
- Bayerische Sterbetafel 2009/2011 (Lebenserwartung, Überlebende, Sterbenswahrscheinlichkeit)
- Österreich
- Verschiedene Länder
Einzelnachweise
- ↑ Meyers Großes Konversations-Lexikon. 6. Auflage. Bibliographisches Institut, Leipzig/ Wien 1909 (zeno.org [abgerufen am 23. Februar 2025] Lexikoneintrag „Sterblichkeit“).
- ↑ Brune: Neue Sterblichkeitstafeln für Wittwen-Cassen. Journal für Reine und Angewandte Mathematik (Crelle J.), Band 16, 1837, S. 58, SUB Göttingen
- ↑ Zugrunde gelegt wurden Werte von Männern in Bayern 2018/2020
- ↑ GDV: Wie Sterbetafeln, Lebenserwartung und Rente zusammenhängen. Abgerufen am 12. August 2016.