Dialursäure
| Strukturformel | |||||||||||||||||||
|---|---|---|---|---|---|---|---|---|---|---|---|---|---|---|---|---|---|---|---|
| |||||||||||||||||||
| Allgemeines | |||||||||||||||||||
| Name | Dialursäure | ||||||||||||||||||
| Andere Namen |
| ||||||||||||||||||
| Summenformel | C4H4N2O4 | ||||||||||||||||||
| Kurzbeschreibung |
farblos, mit 1 Mol Wasser kristallisierend[1] | ||||||||||||||||||
| Externe Identifikatoren/Datenbanken | |||||||||||||||||||
| |||||||||||||||||||
| Eigenschaften | |||||||||||||||||||
| Molare Masse | 144,09 g·mol−1 | ||||||||||||||||||
| Aggregatzustand |
fest | ||||||||||||||||||
| Schmelzpunkt | |||||||||||||||||||
| Löslichkeit |
löslich in heißem Wasser, Alkohol, Aceton[1] | ||||||||||||||||||
| Sicherheitshinweise | |||||||||||||||||||
| |||||||||||||||||||
| Wenn nicht anders vermerkt, gelten die angegebenen Daten bei Standardbedingungen (0 °C, 1000 hPa). | |||||||||||||||||||
Dialursäure ist eine organische Säure, die sich bei der Einwirkung von Schwefelwasserstoff und anderen Reduktionsmitteln auf Alloxan bildet.
Eigenschaften
Für Dialursäure existieren 3 weitere tautomere Formen. Neben der 5-Hydroxy-2,4,6-pyrimidintrion-Struktur sind dies 5,6-Dihydroxy-2,4-pyrimidindion (Isodialursäure)[3], 4,5,6-Trihydroxy-2-pyrimidon und Pyrimidin-2,4,5,6-tetraol.

Dialursäure kristallisiert in langen Nadeln von säuerlichem Geschmack, die sich leicht in Wasser lösen, an der Luft rot werden und sich nach und nach in Alloxan verwandeln. Das Ammoniaksalz wird dargestellt, indem man Schwefelwasserstoffgas durch eine siedende Lösung von Alloxantin leitet u. die Flüssigkeit darauf mit kohlensaurem Ammoniak sättigt. Es kristallisiert in Nadeln, die bei gewöhnlicher Temperatur rosenrot und beim Austrocknen blutrot werden. Es ist leicht löslich in siedendem Wasser, fällt Barytsalze weiß, Bleisalze gelb, Silbersalze werden durch diese Salze reduziert. Das Kalisalz ist durch seine geringe Löslichkeit in Wasser, selbst in siedendem, charakterisiert. Man erhält es als gelben kristallinen Niederschlag, wenn man Cyankali zu einer Lösung von Alloxan setzt. Man erhält es farblos, indem man den gelben Niederschlag in Kali löst und mit Essigsäure sättigt. Es bildet dann einen weißen käsigen Niederschlag. Man kann es auch durch Auflösen von Dialursäure in Salzsäure und sättigen mit kohlensaurem Kali darstellen. Das Barytsalz ist ein weißer Niederschlag. Das Bleisalz ist ein gelber flockiger Niederschlag, der an der Luft schnell an Volumen abnimmt und violett wird.[4]
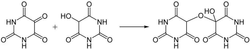
Dialursäure bildet mit Alloxan (einem starken Oxidationsmittel) ein Halbacetal, das Alloxantin genannt wird.

Literatur
- G. M. Richardson: The autoxidation of dialuric acid. In: The Biochemical journal. Band 26, Nummer 6, 1932, S. 1959–1977, PMID 16745025, PMC 1261125 (freier Volltext).
Einzelnachweise
- ↑ a b c Eintrag zu Dialursäure. In: Römpp Online. Georg Thieme Verlag, abgerufen am 24. März 2020.
- ↑ Dieser Stoff wurde in Bezug auf seine Gefährlichkeit entweder noch nicht eingestuft oder eine verlässliche und zitierfähige Quelle hierzu wurde noch nicht gefunden.
- ↑ Externe Identifikatoren von bzw. Datenbank-Links zu Isodialursäure: CAS-Nr.: 102636-37-3, PubChem: 67956, ChemSpider: 61271, Wikidata: Q1208512.
- ↑ Dialursäure. In: Heinrich August Pierer: Pierers Universal-Lexikon, Bd. 5. Altenburg 1858, S. 104–105.
