Alloxan
| Strukturformel | |||||||||||||||||||
|---|---|---|---|---|---|---|---|---|---|---|---|---|---|---|---|---|---|---|---|
| |||||||||||||||||||
| Allgemeines | |||||||||||||||||||
| Name | Alloxan | ||||||||||||||||||
| Andere Namen |
| ||||||||||||||||||
| Summenformel |
| ||||||||||||||||||
| Kurzbeschreibung |
dunkelgelbe Kristalle[1] | ||||||||||||||||||
| Externe Identifikatoren/Datenbanken | |||||||||||||||||||
| |||||||||||||||||||
| Eigenschaften | |||||||||||||||||||
| Molare Masse | 160,09 g·mol−1 (Alloxan-Hydrat) | ||||||||||||||||||
| Aggregatzustand |
fest | ||||||||||||||||||
| Schmelzpunkt | |||||||||||||||||||
| Löslichkeit | |||||||||||||||||||
| Sicherheitshinweise | |||||||||||||||||||
| |||||||||||||||||||
| Wenn nicht anders vermerkt, gelten die angegebenen Daten bei Standardbedingungen (0 °C, 1000 hPa). | |||||||||||||||||||
Alloxan ist eine heterocyclische organische Verbindung mit einem Pyrimidingrundgerüst. Die Verbindung hat eine hohe Affinität zu Wasser und kommt deshalb als Monohydrat vor.[3]
Geschichte
Alloxan wurde von Justus von Liebig und Friedrich Wöhler kurz nach Entdeckung des Harnstoffs 1828 entdeckt und ist eine der ältesten benannten organischen Substanzen.[4] Sein Name leitet sich von Allantoin ab, welches im Urin vorkommt. Schon vor Liebig und Wöhler wurde es 1818 in Italien vom Chemieprofessor in Pavia Gaspare Brugnatelli (1795–1825) gewonnen.[5][6][7][8]
Gewinnung und Darstellung
Ursprünglich wurde Alloxan durch Oxidation von Harnsäure mit Salpetersäure gewonnen. Heute wird es durch die Oxidation von Barbitursäure mit Chrom(VI)-oxid in Essigsäure/Wasser als Lösemittel dargestellt.[9]
Eigenschaften
Alloxan ist ein starkes Oxidationsmittel und bildet mit Dialursäure ein Halbacetal, das Alloxantin genannt wird.

Verwendung
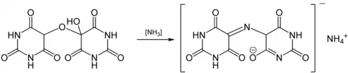
Alloxan ist ein Rohstoff für den purpurroten, 1776 von Karl Wilhelm Scheele entdeckten Farbstoff Murexid. Murexid ist das Produkt einer komplizierten mehrstufigen Reaktion von Alloxantin, das aus Alloxan gewonnen werden kann, mit gasförmigem Ammoniak.

Alloxandiabetes
Alloxan löst im Tierversuch durch die Zerstörung der Insulin-produzierenden β-Zellen der Bauchspeicheldrüse Diabetes mellitus aus, was benutzt wird, um für wissenschaftliche Untersuchungen alloxandiabetische Versuchstiere zu erzeugen.[10][11]
Literatur
- A. Jorns, R. Munday, M. Tiedge, S. Lenzen: Comparative toxicity of alloxan, N-alkylalloxans and ninhydrin to isolated pancreatic islets in vitro. In: Journal of Endocrinology. 155, 1997, S. 283–293, doi:10.1677/joe.0.1550283.
Einzelnachweise
- ↑ Eintrag zu Alloxan. In: Römpp Online. Georg Thieme Verlag, abgerufen am 18. August 2019..
- ↑ a b c d Datenblatt Alloxan monohydrate, 98% bei Alfa Aesar, abgerufen am 7. Dezember 2019 (Seite nicht mehr abrufbar).
- ↑ Externe Identifikatoren von bzw. Datenbank-Links zu Alloxan-Monohydrat: CAS-Nr.: 2244-11-3, EG-Nr.: 607-078-0, ECHA-InfoCard: 100.130.041, PubChem: 16723, ChemSpider: 15854, Wikidata: Q72437128.
- ↑ F. Wöhler, J. Liebig, "Untersuchungen über die Natur der Harnsäure" in Ann. Chem. Pharm. 26 (1838) 241–340.
- ↑ Ugo Baldini: Luigi Valentino Brugnatelli, in Dizionario Biografico degli Italiani, 1972.
- ↑ G. Brugnatelli, "Sopra i cangiamenti che avvengono nell' ossiurico (ac. urico) trattato coll' ossisettonoso (ac. nitroso)", Giornale di Fisica, Chimica, Storia Naturale, Medicina, ed Arti, 2nd series, 1 (1818) 117–129.
- ↑ G. Brugnatelli, "Sur un acide nouveau obtenu en traitant l'acide urique par acide nitrique", Annales de Chimie et de Physique, 2nd series, 8 (1818) 201–204.
- ↑ Rolf Werner Soukup: Chemiegeschichtliche Daten organischer Substanzen, Version 2020, S. 11 pdf.
- ↑ A. V. Holmgren and Wilhelm Wenner: Alloxan Monohydrate In: Organic Syntheses. 32, 1952, S. 6, doi:10.15227/orgsyn.032.0006; Coll. Vol. 4, 1963, S. 23 (PDF).
- ↑ S. Lenzen: The mechanisms of alloxan- and streptozotocin-induced diabetes. In: Diabetologia. Band 51, Nummer 2, Februar 2008, S. 216–226, doi:10.1007/s00125-007-0886-7, PMID 18087688.
- ↑ I. F. Federiuk, H. M. Casey u. a.: Induction of type-1 diabetes mellitus in laboratory rats by use of alloxan: route of administration, pitfalls, and insulin treatment. In: Comparative medicine. Band 54, Nummer 3, Juni 2004, S. 252–257, PMID 15253270.

