Triphenyltetrazoliumchlorid

Strukturformel
Strukturformel von Triphenyltetrazoliumchlorid
Allgemeines
Name Triphenyltetrazoliumchlorid
Andere Namen

2,3,5-Triphenyl-2H-tetrazoliumchlorid

Summenformel C19H15ClN4
Kurzbeschreibung

fast farbloses feinkristallines Pulver[1]

Externe Identifikatoren/Datenbanken
CAS-Nummer 298-96-4
EG-Nummer 206-071-6
ECHA-InfoCard 100.005.520
PubChem 9283
Wikidata Q415248
Eigenschaften
Molare Masse 334,81 g·mol−1
Aggregatzustand

fest

Schmelzpunkt

250 °C (Zersetzung)[1]

Löslichkeit
Sicherheitshinweise
GHS-Gefahrstoffkennzeichnung[2]
Gefahrensymbol

Achtung

H- und P-Sätze H: 315​‐​319​‐​335
P: 261​‐​305+351+338[2]
Wenn nicht anders vermerkt, gelten die angegebenen Daten bei Standardbedingungen (0 °C, 1000 hPa).

Tetrazoliumchlorid (TTC), genauer 2,3,5-Triphenyltetrazoliumchlorid, ist eine quartäre Ammoniumverbindung und ein Redox-Farbstoff.

Eigenschaften

Triphenyltetrazoliumchlorid ist ein farbloser, in Wasser löslicher Redox-Indikator.[3] Der Farbumschlag erfolgt bei einer Redox-Reaktion:

  • Im oxidierten Zustand (Tetrazolium) ist der Indikator farblos.
  • Im reduzierten Zustand (Formazan) ist der Indikator rot. Sein Extinktionsmaximum liegt bei 492 nm.

Reaktionen

Das wasserlösliche farblose 2,3,5-Triphenyltetrazoliumchlorid wird unter Aufnahme von zwei Elektronen (e) und einem Proton (H+) zum wasserunlöslichen roten Farbstoff 1,3,5-Triphenylformazan reduziert. Die Reduktion erfolgt durch einen zweimaligen Einzel-Elektronentransfer (SET):[4]

Reduktion des Tetrazolium-Kation über ein Tetrazolium-Radikal zum Formazan
Reduktion des Tetrazolium-Kation über ein Tetrazolium-Radikal zum Formazan

Das Tetrazolium-Kation (T+) wird über ein Tetrazolium-Radikal (T·) zum Formazan (F) reduziert.

Grenzformeln der Struktur des Tetrazolium-Radikals

Mögliche Resonanzstrukturen des intermediären Radikals lassen sich nach klassischer Betrachtung ableiten:

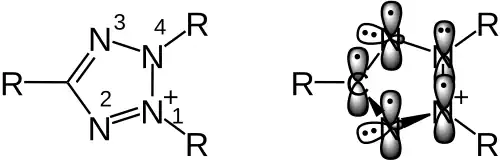
Links ist die Ausgangssituation des Triphenyltetrazoliumkations zu sehen, rechts die klassische Betrachtung der Elektronenverteilung. Tetrazol ist ein aromatischer Heterocyclus. An N1, 2, 3, 4 und C liegt sp²-Hybridisierung vor, die Atome besitzen jeweils ein einfach besetztes, beziehungsweise im Fall von N4 doppelt besetztes, p-Atomorbital. Die Überlappung der fünf parallelen p-Orbitale führt zur Ausbildung des aromatischen π-Elektronensystems. In die einfach besetzten p-Orbitale an N1, 2, 3 kann der Einzelelektronentransfer erfolgen. N2 und N3 tragen freie Elektronenpaare in einem ihrer sp2-HOs, die nicht in das aromatische System involviert sind.

Erfolgt der SET in das p-Orbital von N1 (symbolisiert mit „*“) ergibt sich folgendes Bild:

wobei rechts die klassische Mesomerie dargestellt ist.

Erfolgt der SET in das sp2-Orbital von N2 oder 3 (symbolisiert mit "*") ergibt sich für N2 folgendes Bild:

Hier ist die „klassische“ Mesomerie nicht möglich. Es würde eine wenig wahrscheinliche Nitren-Radikal-Struktur in beiden Fällen resultieren (analog für N3).

Verwendung

Triphenyltetrazoliumchlorid wird als TTC-Test ebenso wie das analoge 3-(1-Naphthyl)-Derivat (Tetrazoliumviolett), Tetrazoliumblau und Tetrazolpurpur zum Nachweis von intakten Zellen genutzt (Vitalfärbung). Dabei wird das Tetrazolium-Kation von Dehydrogenasen der Atmungskette (vornehmlich vom Komplex I) zu Formazan reduziert.[5][6][7]

Anwendung findet es in der Histochemie zur Aktivitätsmessung von Dehydrogenasen, zur Messung der Keimfähigkeit von Saatgut, für Schnelltests zur Wertbestimmung von Antibiotika und Desinfektionsmitteln, zur Qualitätsbestimmung von Belebtschlamm und in der Lebensmittelchemie als Indikator für den Bakteriengehalt von Milch verwendet.[1]

In der Dünnschichtchromatographie eignet es sich als Sprühreagenz auf reduzierende Zucker, Corticosteroide und andere Reduktionsmittel.

Einzelnachweise

  1. a b c d e Eintrag zu 2,3,5-Triphenyl-2H-tetrazoliumchlorid. In: Römpp Online. Georg Thieme Verlag, abgerufen am 28. Dezember 2014.
  2. a b Datenblatt 2,3,5-Triphenyltetrazolium chloride bei Sigma-Aldrich, abgerufen am 22. Oktober 2016 (PDF).
  3. W. Ried: Formazane und Tetrazoliumsalze, ihre Synthesen und ihre Bedeutung als Reduktionsindikatoren und Vitalfarbstoffe. In: Angewandte Chemie. Bd. 64, 1952, S. 391–396, doi:10.1002/ange.19520641403.
  4. Monica C. Gonzilez, Enrique San Romàn: Photochemistry of Aqueous Solutions of Triphenyltetrazolium Chloride. In: J. Phys. Chem. 93 (1989), S. 3536–3540.
  5. F. P. Altman: Tetrazolium salts and formazans. In: Prog. Histochem. Cytochem. Bd. 9 (1976), S. 1–56, PMID 792958.
  6. M. Ogur u. a.: Tetrazolium overlay technique for population studies of respiration deficiency in yeast. In: Science. Bd. 125 (1957), S. 928–929, PMID 13421693.
  7. P. R. Rich u. a.: The sites of interaction of triphenyltetrazolium chloride with mitochondrial respiratory chains. In: FEMS Microbiol. Lett. Bd. 202 (2001), S. 181–187, PMID 11520612.