Tripelennamin
| Strukturformel | ||||||||||||||||||||||
|---|---|---|---|---|---|---|---|---|---|---|---|---|---|---|---|---|---|---|---|---|---|---|
| ||||||||||||||||||||||
| Allgemeines | ||||||||||||||||||||||
| Freiname | Tripelennamin | |||||||||||||||||||||
| Andere Namen |
| |||||||||||||||||||||
| Summenformel | C16H21N3 | |||||||||||||||||||||
| Kurzbeschreibung |
gelbes, aminartig riechendes, mit Wasser mischbares Öl (Tripelennamin) [1] | |||||||||||||||||||||
| Externe Identifikatoren/Datenbanken | ||||||||||||||||||||||
| ||||||||||||||||||||||
| Arzneistoffangaben | ||||||||||||||||||||||
| ATC-Code | ||||||||||||||||||||||
| Wirkstoffklasse | ||||||||||||||||||||||
| Eigenschaften | ||||||||||||||||||||||
| Molare Masse | 255,36 g·mol−1 | |||||||||||||||||||||
| Dichte | ||||||||||||||||||||||
| Schmelzpunkt | ||||||||||||||||||||||
| Siedepunkt | ||||||||||||||||||||||
| Brechungsindex |
1,576 (25 °C) (Tripelennamin)[3] | |||||||||||||||||||||
| Sicherheitshinweise | ||||||||||||||||||||||
| ||||||||||||||||||||||
| Toxikologische Daten | ||||||||||||||||||||||
| Wenn nicht anders vermerkt, gelten die angegebenen Daten bei Standardbedingungen (0 °C, 1000 hPa). Brechungsindex: Na-D-Linie, 20 °C | ||||||||||||||||||||||
Tripelennamin oder Pyribenzamin (Handelsname: Azaron) ist ein Arzneistoff der ersten Generation von Antihistaminika. Es wird zur Behandlung von Juckreiz nach Insektenstichen und allergischen Hautreaktionen verwendet.
Darstellung und Gewinnung
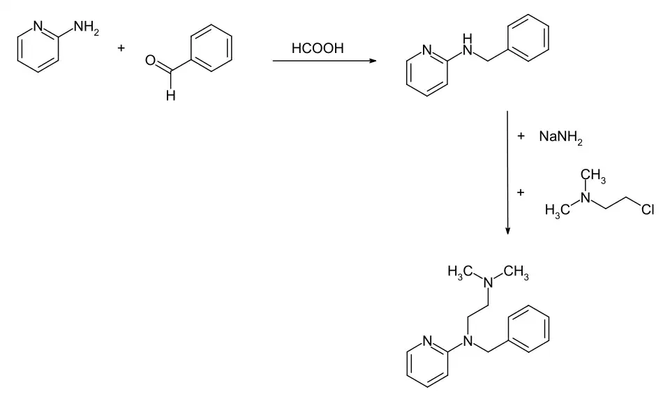
Tripelennamin kann in einer zweistufigen Synthese erhalten werden. Im ersten Schritt erfolgt eine reduktive Kupplung von 2-Aminopyridin mit Benzaldehyd in Ameisensäure. Danach wird das resultierende Zwischenprodukt nach Deprotonierung mit Natriumamid mit 2-Dimethylaminoethylchlorid umgesetzt.[5]
1945 entwickelten Rudolf R. Mayer (* 1895), Charles R. Hutterer (* 1906) und Cäsar R. Scholz (* 1907) das Antihistaminikum Pyribenzamin.[6] Die Verbindung wurde 1946 erstmals von Carl Djerassi synthetisiert.
Wirkung
Tripelennamin gehört zur Wirkstoffklasse der Ethylendiamine und dockt an die H1-Histamin-Rezeptoren im Körper an, so dass das Histamin nicht mehr auf die Zelle einwirken kann.
Verbindungen
Tripelennamin wird verwendet in der Form von:
- Tripelennamin-Monohydrochlorid
- Tripelennamin-Hydrochlorid
- Tripelennamin-Maleat
- Tripelennamin-Citrat
Einzelnachweise
- ↑ a b c Eintrag zu Tripelennamin. In: Römpp Online. Georg Thieme Verlag, abgerufen am 12. November 2014.
- ↑ a b The Merck Index: An Encyclopedia of Chemicals, Drugs, and Biologicals. 14. Auflage Merck & Co., Whitehouse Station NJ 2006, ISBN 0-911910-00-X, S. 1672–1673.
- ↑ David R. Lide (Hrsg.): CRC Handbook of Chemistry and Physics. 90. Auflage. (Internet-Version: 2010), CRC Press / Taylor and Francis, Boca Raton FL, Physical Constants of Organic Compounds, S. 3-194.
- ↑ a b Datenblatt Tripelennamine hydrochloride bei Sigma-Aldrich, abgerufen am 16. Oktober 2016 (PDF).
- ↑ a b c d e f g A. Kleemann, J. Engel, B. Kutscher, D. Reichert: Pharmaceutical Substances – Synthesis, Patents, Applications. 4. Auflage. Thieme-Verlag, Stuttgart 2001, ISBN 1-58890-031-2.
- ↑ Paul Diepgen, Heinz Goerke: Aschoff/Diepgen/Goerke: Kurze Übersichtstabelle zur Geschichte der Medizin. 7., neubearbeitete Auflage. Springer, Berlin/Göttingen/Heidelberg 1960, S. 65.
