Trifluralin
| Strukturformel | |||||||||||||||||||
|---|---|---|---|---|---|---|---|---|---|---|---|---|---|---|---|---|---|---|---|
| |||||||||||||||||||
| Allgemeines | |||||||||||||||||||
| Name | Trifluralin | ||||||||||||||||||
| Andere Namen |
α,α,α-Trifluor-2,6-dinitro-N,N-dipropyl-p-toluidin | ||||||||||||||||||
| Summenformel | C13H16F3N3O4 | ||||||||||||||||||
| Kurzbeschreibung |
gelb-oranger Feststoff mit aromatischem Geruch[1] | ||||||||||||||||||
| Externe Identifikatoren/Datenbanken | |||||||||||||||||||
| |||||||||||||||||||
| Eigenschaften | |||||||||||||||||||
| Molare Masse | 335,28 g·mol−1 | ||||||||||||||||||
| Aggregatzustand |
fest | ||||||||||||||||||
| Dichte |
1,36 g·cm−3[1] | ||||||||||||||||||
| Schmelzpunkt | |||||||||||||||||||
| Siedepunkt | |||||||||||||||||||
| Löslichkeit |
nahezu unlöslich in Wasser (<0,1 mg·l−1 bei 20 °C)[1] | ||||||||||||||||||
| Sicherheitshinweise | |||||||||||||||||||
| |||||||||||||||||||
| Toxikologische Daten | |||||||||||||||||||
| Wenn nicht anders vermerkt, gelten die angegebenen Daten bei Standardbedingungen (0 °C, 1000 hPa). | |||||||||||||||||||
Trifluralin ist ein Wirkstoff zum Pflanzenschutz und eine chemische Verbindung aus der Gruppe der aromatischen und fluorierten Aminoverbindungen und Nitroverbindungen.
Geschichte
Trifluralin wurde in den 1960er Jahren von Eli Lilly auf den Markt gebracht.[3] Es wurden bis 2006 etwa 6000 Tonnen pro Jahr in der EU produziert.[4]
Gewinnung und Darstellung
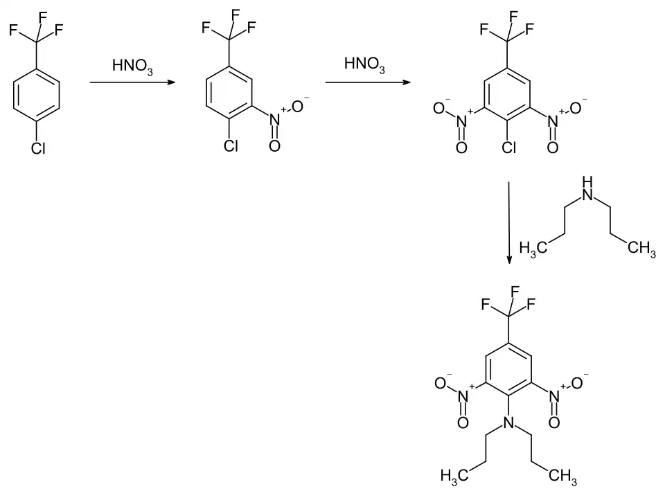
Trifluralin kann in einem mehrstufigen Prozess aus 4-Chlorbenzotrifluorid (durch Reaktion mit Salpetersäure) bzw. 4-Trifluormethyl-2,6-dinitrochlorbenzol und Dipropylamin gewonnen werden.[5][4]

Verwendung
Trifluralin wird als selektives Bodenherbizid verwendet. Es bestanden Zulassungen in Winter- und Sommerraps, Sonnenblumen, Stoppelrüben, Kohlarten und Kohlrüben. Dabei wurden Aufwandmengen von 960 bis 1440 g/ha eingesetzt. Das Mittel musste nach der Applikation in den Boden flach eingearbeitet werden. Damit konnte das Verdampfen des Wirkstoffs und der Abbau über Ultraviolettstrahlung großteils verhindert werden. Am 20. September 2007 wurde die Zulassung in der EU widerrufen.[6] In der Schweiz waren mehrere Trifluralin-Präparate für den Einsatz gegen ein- und zweikeimblättrige Unkräuter zugelassen.
In den EU-Staaten wie Deutschland und Österreich sowie in der Schweiz besteht heute keine Zulassung mehr.[7]
Sicherheitshinweise
Bei Trifluralin besteht der Verdacht auf eine krebserzeugende Wirkung. Es ist sehr toxisch für Wasserorganismen.[1]
Trifluralin ist als „prioritärer gefährlicher Stoff“ in Anhang X der europäischen Richtlinie 2000/60/EG (Wasserrahmenrichtlinie) aufgeführt.[8]
Einzelnachweise
- ↑ a b c d e f g h i j Eintrag zu Trifluralin in der GESTIS-Stoffdatenbank des IFA, abgerufen am 2. Januar 2024. (JavaScript erforderlich)
- ↑ Eintrag zu Trifluralin in der Datenbank ECHA CHEM der Europäischen Chemikalienagentur (ECHA), abgerufen am 1. Februar 2016. Hersteller bzw. Inverkehrbringer können die harmonisierte Einstufung und Kennzeichnung erweitern.
- ↑ Patent US3257190A: Method of eliminating weed grasses and broadleaf weeds. Angemeldet am 10. Dezember 1962, veröffentlicht am 21. Juni 1966, Anmelder: Eli Lilly Co, Erfinder: Quentin F. Soper.
- ↑ a b Emissionsminderung für prioritäre und prioritäre gefährliche Stoffe der Wasserrahmenrichtlinie – Stoffdatenblätter – Datenblatt Trifluralin, Texte 29/07, Umweltforschungsplan des Bundesministers für Umwelt, Naturschutz und Reaktorsicherheit, S. 479.
- ↑ Shreve, R. Norris, Chemical Process Industries, 4th Edition, 1977, S. 431–432, ISBN 0-07-057145-7.
- ↑ über die Nichtaufnahme von Trifluralin in Anhang I der Richtlinie 91/414/EWG des Rates und den Widerruf der Zulassungen für Pflanzenschutzmittel mit diesem Wirkstoff (PDF).
- ↑ Generaldirektion Gesundheit und Lebensmittelsicherheit der Europäischen Kommission: Eintrag zu Trifluralin in der EU-Pestiziddatenbank; Eintrag in den nationalen Pflanzenschutzmittelverzeichnissen der Schweiz, Österreichs und Deutschlands, abgerufen am 3. März 2016.
- ↑ Richtlinie 2000/60/EG des Europäischen Parlaments und des Rates vom 23. Oktober 2000 zur Schaffung eines Ordnungsrahmens für Maßnahmen der Gemeinschaft im Bereich der Wasserpolitik in der konsolidierten Fassung vom 20. November 2014, abgerufen am 28. Februar 2024. Anhang X.



