Trifluperidol

Strukturformel
Struktur von Trifluperidol
Allgemeines
Name Trifluperidol
Andere Namen
  • 4′-Fluor-4-{4-hydroxy-4-[3-(trifluormethyl)phenyl]piperidino}butyrophenon
  • 1-(4-Fluorphenyl)-4-{4-hydroxy-4-[3-(trifluormethyl)phenyl]-1-piperidinyl}-1-butanon
Summenformel C22H23F4NO2
Externe Identifikatoren/Datenbanken
CAS-Nummer
PubChem 5567
ChemSpider 5366
DrugBank DB13552
Wikidata Q4463264
Arzneistoffangaben
ATC-Code

N05AD02

Wirkstoffklasse

Antipsychotikum

Eigenschaften
Molare Masse
  • 409,42 g·mol−1
  • 445,88 g·mol−1(Hydrochlorid)
Schmelzpunkt
  • 93–95 °C[1]
  • 200,5–201,3 °C (Hydrochlorid)[1]
Löslichkeit

löslich in Wasser (Hydrochlorid)[1]

Sicherheitshinweise
Bitte die Befreiung von der Kennzeichnungspflicht für Arzneimittel, Medizinprodukte, Kosmetika, Lebensmittel und Futtermittel beachten
GHS-Gefahrstoffkennzeichnung[2]

Achtung

H- und P-Sätze H: 302
P: keine P-Sätze[2]
Toxikologische Daten
Wenn nicht anders vermerkt, gelten die angegebenen Daten bei Standardbedingungen (0 °C, 1000 hPa).

Trifluperidol ist eine 1959 von Janssen Pharmaceutica entwickelte chemische Verbindung,[1][4] die als Antipsychotikum verwendet wurde. Sie zählt zu den Butyrophenonen.[4] Bis zum Ablauf seiner Zulassung unter dem Handelsnamen Triperidol® im Jahr 2005 war es das potenteste Neuroleptikum auf dem europäischen Markt.

Gewinnung und Darstellung

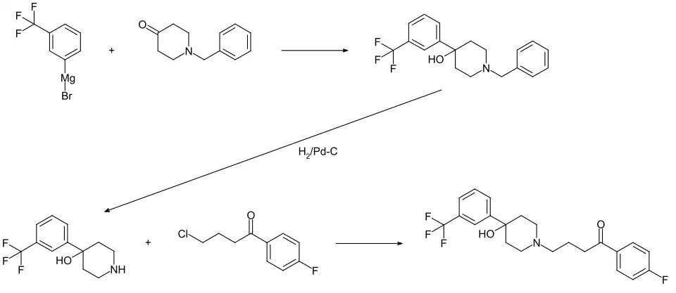
Die Synthese von Trifluperidol erfolgt in drei Schritten. Im ersten Schritt wird die Grignardverbindung von 3-Trifluormethylbrombenzol mit 1-Benzyl-4-piperidon umgesetzt. Die resultierende Zwischenverbindung wird danach reduktiv debenzyliert. Durch die Umsetzung des 4-Hydroxy-4-(3-trifluormethylphenyl)piperidins mit 4-Chlor-4′-fluorbutyrophenon ergibt sich im letzten Schritt die Zielverbindung.[3]

Synthese

In pharmazeutischen Formulierungen wird meist das Hydrochlorid verwendet.[1]

Geschichte

Trifluperidol wurde 1959 erstmals synthetisiert und 1961 unter dem Namen Triperidol® von Janssen Pharmaceutica vermarktet. Klinische Studien aus den Jahren 1960 und 1964, die das Psychopharmakon unter anderem mit Haloperidol verglichen, kamen zu dem Ergebnis, dass Haloperidol sich zur Behandlung der Schizophrenie wesentlich besser eignet. Trifluperidol hatte zu viele und schwerwiegende Nebenwirkungen und war besonders bei anergischen, zurückgezogenen und desinteressierten Patienten besonders ineffektiv.[5]

Anwendungsgebiete

Trifluperidol wurde bei schweren Formen von akuter und chronischer Schizophrenie angewandt.[6]

Literatur

  • D. M. Gallant, M. P. Bishop, E. Timmons, C. A. Steele: A Controlled Evaluation of Trifluperidol: a New Potent Psychopharmacologic Agent. In: Curr Ther Res Clin Exp. 27, Sep 1963, S. 463–471. PMID 14065098.
  • D. M. Gallant, M. P. Bishop, E. Timmons, C. A. Steele: Trifluperidol: a butyrophenone derivative. In: Am J Psychiatry. 120, Nov 1963, S. 485–487. doi:10.1176/ajp.120.5.485. PMID 14051242.
  • Wolfgang Gäbel, Gerd Laux: Biologische Psychiatrie Synopsis 1990/91

Einzelnachweise

  1. a b c d e f g h i Eintrag zu Trifluperidol. In: Römpp Online. Georg Thieme Verlag, abgerufen am 8. August 2017.
  2. a b Datenblatt Trifluperidol hydrochloride bei Sigma-Aldrich, abgerufen am 8. August 2017 (PDF).
  3. a b c d A. Kleemann, J. Engel, B. Kutscher, D. Reichert: Pharmaceutical Substances - Synthesis, Patents, Applications. 4. Auflage. Thieme-Verlag Stuttgart 2001, ISBN 1-58890-031-2.
  4. a b Trifluperidol: Medikamente, Wirkstoff, Anwendung, Nebenwirkungen, Risiken. In: symptomat.de. Abgerufen am 8. August 2017.
  5. W. R. Goodchild, B. C. Schiele, N. D. Vestre, L. M. Tredici, R. Zimmermann: A Double Blind Comparison of Trifluperidol and Trifluoperazine in Chronic Schizophrenic Patients. In: International Pharmacopsychiatry. Band 2, 1969, S. 185–196, doi:10.1159/000468852 (karger.com [abgerufen am 12. Juli 2020]).
  6. F. von Bruchhausen, G. Dannhardt, S. Ebel, A. W. Frahm, E. Hackenthal, R. Hänsel, U. Holzgrabe, K. Keller, E. Nürnberg, H. Rimpler, G. Schneider, P. Surmann, H. U. Wolf, G. Wurm (Hrsg.): Hagers Handbuch der Pharmazeutischen Praxis. 5. Auflage. Springer-Verlag, Berlin/ Heidelberg 2013, ISBN 978-3-642-57880-9, S. 1053 (eingeschränkte Vorschau in der Google-Buchsuche).