Tramadol
| Strukturformel | ||||||||||||||||||||||
|---|---|---|---|---|---|---|---|---|---|---|---|---|---|---|---|---|---|---|---|---|---|---|
| ||||||||||||||||||||||
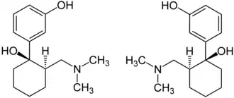
| 1:1-Gemisch aus (1R,2R)-Tramadol (links) und (1S,2S)-Tramadol (rechts) | ||||||||||||||||||||||
| Allgemeines | ||||||||||||||||||||||
| Freiname | Tramadol | |||||||||||||||||||||
| Andere Namen | ||||||||||||||||||||||
| Summenformel | C16H25NO2 | |||||||||||||||||||||
| Kurzbeschreibung |
weißes bis fast weißes, kristallines Pulver (Hydrochlorid)[1] | |||||||||||||||||||||
| Externe Identifikatoren/Datenbanken | ||||||||||||||||||||||
| ||||||||||||||||||||||
| Arzneistoffangaben | ||||||||||||||||||||||
| ATC-Code |
N02AX02 | |||||||||||||||||||||
| Wirkstoffklasse | ||||||||||||||||||||||
| Eigenschaften | ||||||||||||||||||||||
| Molare Masse | 263,38 g·mol−1 | |||||||||||||||||||||
| Schmelzpunkt | ||||||||||||||||||||||
| pKS-Wert |
9,41 (Hydrochlorid)[1] | |||||||||||||||||||||
| Löslichkeit |
leicht löslich in Wasser und Methanol, sehr schwer löslich in Aceton (Hydrochlorid)[1] | |||||||||||||||||||||
| Sicherheitshinweise | ||||||||||||||||||||||
| ||||||||||||||||||||||
| Toxikologische Daten | ||||||||||||||||||||||
| Wenn nicht anders vermerkt, gelten die angegebenen Daten bei Standardbedingungen (0 °C, 1000 hPa). | ||||||||||||||||||||||

Tramadol ist ein Arzneistoff aus der Gruppe der Opioide und wird zur Behandlung mäßig starker bis starker Schmerzen verwendet. Von Grünenthal wurde die Substanz synthetisch entwickelt und 1977 als Arzneimittel (Tramadol-HCl) unter dem Namen Tramal auf den Markt gebracht.
Geschichte
Die Firma Grünenthal in Stolberg beauftragte den damaligen Mitarbeiter Kurt Flick, einen neuen Hustenblocker (Antitussivum) zu entwickeln. 1962 synthetisierte er das isomere Gemisch „L/201“, das in der pharmakologischen Prüfung eine hohe schmerzstillende (analgetische) Wirkung aufwies und daraufhin zum Patent angemeldet wurde. Flicks Nachfolger Ernst Frankus (1928–1995) gelang es, durch isomere Trennung das Transisomer Tramadol zu isolieren, welches 1977 von Grünenthal patentiert wurde.[4][5][6]
Pharmakodynamik
Tramadol ist ein Agonist der μ-, δ- und κ-Opioidrezeptoren, an deren Strukturen im Nervengewebe er bindet. Die Affinität ist jedoch gering und zeigt auch keine besondere Spezifität zu den einzelnen Opioidrezeptoren. Die Dämpfung der Schmerzwahrnehmung wird daher auch durch andere Mechanismen vermittelt: durch Hemmung der Wiederaufnahme von Noradrenalin in das Neuron, zudem kommt es durch die serotoninfreisetzende Wirkung über die 5-HT2-Rezeptoren zu einem Anstieg der Serotonin-Konzentration im synaptischen Spalt durch das (−)-Enantiomer.[7][8] Dieser Wirkmechanismus erklärt auch die leicht antidepressive und anxiolytische (angstlösende und beruhigende) Wirkung. Das vermehrte Auftreten von Übelkeit als unerwünschte Wirkung wird auch durch die verstärkte Serotonin-Freisetzung erklärt.
Die analgetische Potenz beträgt ein Zehntel der von Morphin. Tramadol ist neben Meptazinol und Nalbuphin eines der drei zugelassenen injizierbaren Opioid-Analgetika, die in Deutschland nicht unter das Betäubungsmittelgesetz fallen.
Die beiden Enantiomere des Tramadols [(1R,2R)-Tramadol und (1S,2S)-Tramadol] und deren Metabolite, insbesondere die am Sauerstoff demethylierten Derivate (Nortramadole), besitzen unterschiedlich starke pharmakologische Wirkungen [μ-Opioid-Bindung Ki(μM)]:[9]
- (1R,2R)-Tramadol: 5,1
- (1S,2S)-Tramadol: 120
- (1R,2R)-Nortramadol: 0,02
- (1S,2S)-Nortramadol: 1,8
Pharmakokinetik
Tramadol wird bei oraler Gabe zu etwa 95 % resorbiert. Die orale Bioverfügbarkeit wird mit 30 % und die Plasmahalbwertszeit mit etwa 4 Stunden angegeben.[10]
Die analgetische Wirkdauer (einer Einzeldosis von 50 bis 100 mg) beträgt 2 bis 4, bei Retardpräparaten 8 bis 12 Stunden.[11]
Anwendungsgebiete
Tramadol ist angezeigt zur Behandlung von mäßig starken bis starken Schmerzen und kann peroral (als Kapsel à 50 mg, Tropfen (50 mg = 20 Tropfen) oder 50 bis 200 mg Wirkstoff enthaltende Retardtablette), rektal als Zäpfchen (100 mg) und intravenös (als Injektionslösung mit einer Konzentration von 50 mg/ml) verabreicht werden.
Außerhalb der zugelassenen Anwendungsgebiete wird Tramadol im sogenannten Off-Label-Use zur Behandlung des Restless-Legs-Syndroms verwendet.
Eine weitere Off-Label-Anwendung ist die Behandlung von ejaculatio praecox (vorzeitiger Samenerguss).[12][13]
In Deutschland sind Tramadoltropfen bei starken Schmerzen auch für Kinder ab einem Jahr zugelassen, wobei sich die Dosierung am Körpergewicht orientiert.[14] Die korrekte Dosierung gewährt die Tropfvorrichtung des Behältnisses.
In Australien ist dementgegen Tramadol in Form von Tropfen nicht für Kinder unter 12 Jahren zugelassen. In diesem Land fehlen zu dieser Patientengruppe die Hinweise zur Vorsicht und Dosierung. Da die Stärke des Medikaments mit zum Teil schwerwiegenden Folgen unterschätzt wurde, warnt die australische Arzneimittelbehörde Therapeutic Goods Administration (TGA) vor entsprechendem Off-Label-Use.[15]
Nebenwirkungen
Nebenwirkungen wie Schwitzen, Sedierung und Verwirrtheit können auftreten, ebenso wie Miktionsschwierigkeiten, Schläfrigkeit und verschwommene Sicht. In therapeutischer Dosierung hat Tramadol wegen seiner geringen μ-Selektivität keinen beachtenswerten Einfluss auf die Atmung und den Pulmonalarteriendruck. Häufig wird eine starke Übelkeit beobachtet, sowohl bei oraler Gabe als auch bei zu schneller Injektion. Blutdruck und Pulsfrequenz werden kaum beeinflusst. Von Krampfanfällen wurde berichtet, insbesondere bei Gabe von Dosen oberhalb der therapeutischen Dosis. Da Tramadol in die Muttermilch übergeht, wurde von der neuseeländischen Arzneimittelbehörde eine Warnung veröffentlicht, dass Säuglinge durch den Wirkstoff geschädigt werden könnten.[16] Das Pharmakovigilanzzentrum der Weltgesundheitsorganisation (WHO) berichtete 2020 über ein Risikosignal für Hyperakusis unter Tramadol. Drei Viertel der Betroffenen seien Frauen. Soweit angegeben, tritt die Überempfindlichkeit gegenüber Geräuschen normaler Lautstärke größtenteils innerhalb eines Tages nach Einnahme auf.[17]
Ebenso zeigen neuere Studien ein erhöhtes Risiko schwerer Hypoglykämien[18] und Hyponatriämien[19] mit teils tödlichem Ausgang.
Wie auch bei einigen anderen Opioiden kann Tramadol Xerostomie (Mundtrockenheit) verursachen.[20]
Analytik
Die zuverlässige Bestimmung von Tramadol in unterschiedlichem Untersuchungsmaterial wie Blutserum, Blutplasma, Urin oder Haaren gelingt nach angemessener Probenvorbereitung durch Kopplung der Gaschromatographie oder HPLC mit Massenspektrometrie.[21][22][23][24]
Wechselwirkungen mit anderen Arzneistoffen
Pharmakologische
Tramadol kann bei Verwendung zusammen mit Bupropion und MAO-Hemmern schwerwiegende Nebenwirkungen entwickeln.
Wechselwirkungen treten auch auf mit oralen Antikoagulantien,[25] Alkohol, Benzodiazepinen (Dämpfung des Atemzentrums bis hin zum möglichen Atemstillstand) und serotoninergen Stoffen (Gefahr des Serotonin-Syndroms[26][27]). Zu serotoninergen Stoffen zählen SSRI-Antidepressiva wie z. B. Fluoxetin und Citalopram und auch illegale Drogen wie Ecstasy und Kokain. Auch rezeptfreie Zubereitungen aus Johanniskraut (Johanniskrauttee, Johanniskrautextrakt in Kapseln usw.) können ein Serotonin-Syndrom auslösen.
Chemisch-physikalische
Tramadol-Injektionslösungen sind mit parenteralen Darreichungsformen von Diazepam, Diclofenac, Flunitrazepam, Glyceroltrinitrat, Indometacin, DL-Lysinmonoacetylsalicylat, Midazolam, Piroxicam und Phenylbutazon unverträglich, wenn sie in der gleichen Spritze aufgezogen werden; es kommt zur Ausflockung.[28]
Gewöhnung und Abhängigkeitspotential
Als Agonist (u. a.) des μ-Opioidrezeptors besteht grundsätzlich ein Abhängigkeitspotential, besonders bei nicht bestimmungsgemäßem Gebrauch. Generell sollte die Dosis nach dem Grundsatz „so wenig wie möglich, so viel wie nötig“ gegen den Schmerz titriert werden.
Herstellung
Tramadol wird industriell synthetisch hergestellt.[9] Die zweistufige chemische Synthese geht vom 3-Bromanisol aus, aus deren Grignard-Verbindung durch die Umsetzung mit racemischen 2-Dimethylaminomethylcyclohexanon die Zielverbindung resultiert:[29]
Isomerie
Tramadol [2-(Dimethylaminomethyl)-1-(3-methoxyphenyl)cyclohexanol] besitzt zwei stereogene Zentren am Cyclohexanring. Von 2-(Dimethylaminomethyl)-1-(3-methoxyphenyl)cyclohexanol gibt es also vier Konfigurationsisomere:
- (1R,2R)-Form,
- (1S,2S)-Form,
- (1R,2S)-Form und die
- (1S,2R)-Form.
Bei der Synthese entstehen die (1R,2R)-Form und die (1S,2S)-Form als Hauptprodukt in gleicher Menge. In geringerer Menge wird bei der Synthese das Racemat aus der (1R,2S)-Form und der (1S,2R)-Form gebildet. Die Isolation der (1R,2R)-Form und (1S,2S)-Form und somit die Abtrennung des Nebenprodukt-Racemates aus (1R,2S)-Form und der (1S,2R)-Form gelingt über die fraktionierende Kristallisation der Hydrochloride. Arzneilich verwendet wird Tramadol als Racemat aus der (1R,2R)-Form und der (1S,2S)-Form in Form seines Hydrochlorids. Die (1R,2R)-Form wird auch (+)-Tramadol, die (1S,2S)-Form (−)-Tramadol genannt.
Die Trennung des Racemates aus der (1R,2R)-Form und der (1S,2S)-Form mit (R)- oder (S)-Mandelsäure ist in der Literatur[30] beschrieben, findet jedoch keine industrielle Anwendung, da Tramadol als Enantiomerengemisch benutzt wird, obwohl die unterschiedliche physiologische Wirkung der (1R,2R)- und (1S,2S)-Enantiomere belegt[31] ist.
Das Hydrochlorid des Racemates aus der (1R,2R)-Form und der (1S,2S)-Form, das Grünenthal in Deutschland als Arzneistoff entwickelte, wurde im ursprünglichen Patent[32] und in den allermeisten Veröffentlichungen[33] fälschlicherweise als (±)-trans-Tramadol beschrieben. Im Zuge des Zulassungsverfahrens in den Vereinigten Staaten wurde der Name in (±)-cis-Tramadol geändert.[34] Alternativ kann der racemische Arzneistoff (±)-cis-Tramadol auch als (±)-(1R*,2R*)-Tramadol bezeichnet werden, wobei mit (1R*,2R*) die relative Stereochemie angegeben ist, es sich also um ein 1:1-Gemisch der (1R,2R)-Form und der (1S,2S)-Form handelt.
Tramadol als scheinbarer Naturstoff
2013 veröffentlichten Wissenschaftler aus Frankreich, der Schweiz und Kamerun die Entdeckung, dass Tramadol in der Wurzelrinde der afrikanischen Arzneipflanze Nauclea latifolia enthalten ist.[35] Weitere Untersuchungen im Jahr 2014 durch deutsche und kamerunische Wissenschaftler ergaben jedoch, dass das Vorkommen von Tramadol in Nauclea latifolia eine Folge davon ist, dass in der betreffenden Region Rinder regelmäßig mit dem Wirkstoff behandelt werden, es so zu einer Kreuzkontamination des Bodens durch Urin und Fäkalien der Tiere kommt und die Pflanze das Tramadol hieraus aufnimmt und anreichert.[36]
Handelsnamen
Tramadol ist sowohl als Monopräparat wie auch als Kombinationspräparat erhältlich:
Monopräparate
Adamon (A), Amadol (D), Contramal (A), Cromatodol (A), Ecodolor (CH), Jutadol (D), Lanalget (A), Noax (A), Nobligan (A), Tramabene (CZ), Tramal-long (D), Tradolan (A,S), Tradonal (CH), Tramagit (D), Tramal (D, A, CZ), Tramundin und Tramundin retard (D, CH), Travex (D), Ultram, Tramal Retard (CZ), zahlreiche Generika (D, A, CH)
Kombinationspräparate
Mit Paracetamol: Dolevar (D), Zaldiar (D, A, CH, B), sowie Generika von z. B. TAD, Stada und Hexal
Verbreitung und Missbrauch
In West- und Nordafrika ist die Verwendung von Tramadol als Droge verbreitet.[37] Es stammt hauptsächlich von indischen Generika-Herstellern. Einem Bericht aus dem April 2018 zufolge wurden in den vergangenen fünf Jahren in Afrika südlich der Sahara etwa drei Tonnen Tramadol beschlagnahmt. Der Handel mit Tramadol dient auch Terrorgruppen wie Boko Haram oder dem Islamischen Staat als Finanzierungsquelle.[38]
Siehe auch
Weblinks
Einzelnachweise
- ↑ a b c The Merck Index: An Encyclopedia of Chemicals, Drugs, and Biologicals. 14. Auflage. Merck & Co., Whitehouse Station NJ 2006, ISBN 978-0-911910-00-1.
- ↑ a b c Datenblatt Tramadol hydrochloride bei Sigma-Aldrich, abgerufen am 17. Februar 2025 (PDF).
- ↑ Eintrag zu Tramadol in der ChemIDplus-Datenbank der United States National Library of Medicine (NLM), abgerufen am 25. März 2021. (Seite nicht mehr abrufbar)
- ↑ a b c Römpp Lexikon Chemie, Georg Thieme Verlag, Stuttgart - New York, 10. Auflage, 1999, S. 4601.
- ↑ Franz Gerstheimer: Der unvorhergesehene Erfolg des Schmerzmittels TRAMAL. Weltweite Wirkung aus den Forschungslaboratorien. In: die waage. Zeitschrift der Grünenthal GmbH, Aachen. Band 35, 1996, Nr. 2, S. 72–80.
- ↑ Wolf-Dieter Müller-Jahncke, Christoph Friedrich, Ulrich Meyer: Arzneimittelgeschichte. 2., überarbeitete und erweiterte Auflage. Wissenschaftliche Verlagsgesellschaft, Stuttgart 2005, ISBN 3-8047-2113-3, S. 133.
- ↑ Hans Walter Striebel: Therapie chronischer Schmerzen: Ein praktischer Leitfaden. 4. Ausgabe. Schattauer Verlag, 2001, ISBN 978-3-7945-2146-3, S. 24.
- ↑ R. B. Raffa, E. Friderichs, W. Reimann, R. P. Shank, E. E. Codd, J. L. Vaught: Opioid and nonopioid components independently contribute to the mechanism of action of tramadol, an „atypical“ opioid analgesic. In: J Pharmacol Exp Ther., Band 260, 1992, S. 275–285.
- ↑ a b Bernd Schäfer: Naturstoffe der chemischen Industrie, Elsevier, 2007, S. 255, 256, ISBN 978-3-8274-1614-8.
- ↑ Michael Freissmuth, Stefan Offermanns, Stefan Böhm: Pharmakologie und Toxikologie: Von den molekularen Grundlagen zur Pharmakotherapie. 3., überarbeitete Auflage. Springer, Berlin / Heidelberg 2020, ISBN 978-3-662-58303-6, doi:10.1007/978-3-662-58304-3 (springer.com [abgerufen am 12. November 2020]).
- ↑ Eberhard Klaschik: Schmerztherapie und Symptomkontrolle in der Palliativmedizin. In: Stein Husebø, Eberhard Klaschik (Hrsg.): Palliativmedizin. 5. Auflage, Springer, Heidelberg 2009, ISBN 3-642-01548-4, S. 207–313, hier: S. 234.
- ↑ Mohammad Reza Safarinejad, Seyyed Yoosof Hosseini: Safety and Efficacy of Tramadol in the Treatment of Premature Ejaculation: A Double-blind, Placebo-Controlled, Fixed-Dose, Randomized Study. In: Journal of Clinical Psychopharmacology, 2006, 26: 27–31.
- ↑ Salem, E. A., Wilson, S. K., Bissada, N. K., Delk, J. R., Hellstrom, W. J. and Cleves, M. A. (2008): Tramadol HCL has Promise in On-Demand Use to Treat Premature Ejaculation. In: The Journal of Sexual Medicine, 5, S. 188–193, doi:10.1111/j.1743-6109.2006.00424.x.
- ↑ Muster-Fachinformation des BfArM zu Tramadolhydrochlorid. Stand Juni 2016.
- ↑ Tramadol drops not for children under the age of 12 years.
- ↑ medsafe.govt.nz Tramadol Safety Communication
- ↑ Hyperakusis unter Tramadol (Tramal, Generika). In: arznei-telegramm. Abgerufen am 3. Juli 2020.
- ↑ L.S. Nelson, D. Juurlink: Tramadol and Hypoglycemia: One More Thing to Worry About. In: JAMA Internal Medicine, 2015, 175(2), S. 194–195, doi:10.1001/jamainternmed.2014.5260
- ↑ J.P. Fournier, H. Yin, J.-L Montastruc, L. Azoulay: Tramadol for Noncancer Pain and the Risk of Hyponatremia. In: The American Journal of Medicine, 2015, 128(4), S. 418–425; doi:10.1016/j.amjmed.2014.10.046
- ↑ Gelbe Liste: Tramadol - Nebenwirkungen. Abgerufen am 9. Mai 2024.
- ↑ B Yılmaz, AF Erdem: Simultaneous Determination of Tramadol and its Metabolite in Human Plasma by GC/MS. In: J AOAC Int., 2015 Jan-Feb, 98(1), S. 56–61; PMID 25857879
- ↑ H. Yu, S. Hong, CH. Jeong, JW. Bae, S. Lee: Development of a linear dual column HPLC-MS/MS method and clinical genetic evaluation for tramadol and its phase I and II metabolites in oral fluid. Arch Pharm Res. 2018 Mar, 41(3), S. 288–298; PMID 29196917
- ↑ B Yılmaz, AF Erdem: Simultaneous Determination of Tramadol and Its Metabolite in Human Urine by the Gas Chromatography-Mass Spectrometry Method. In: J Chromatogr Sci., 2015 Aug, 53(7), S. 1037–1043; PMID 25616987
- ↑ P. Verri, C. Rustichelli, F. Palazzoli, D. Vandelli, F. Marchesi, A. Ferrari, M. Licata: Tramadol chronic abuse: an evidence from hair analysis by LC tandem MS. In: J Pharm Biomed Anal., 2015 Jan, 102, S. 450–458; PMID 25459945
- ↑ Scher ML et al.: Potential interaction between tramadol and warfarin. In: Ann Pharmacother 1997; 31: 646–647.
- ↑ Woggon, Brigitte (2005) Behandlung mit Psychopharmaka (2. Auflage). Bern: Hans Huber. ISBN 3-456-83538-8.
- ↑ Serotonin-Syndrom unter Analgetikum Tramadol (Tramal u. a.). arznei-telegramm (1/2002)
- ↑ Abanmy NO et al. Compatibility of tramadol hydrochloride injection with selected drugs and solutions. In: Am J Health Syst Pharm 2005; 62: 1299–1302.
- ↑ A. Kleemann, J. Engel, B. Kutscher, D. Reichert: Pharmaceutical Substances - Synthesis, Patents, Applications. 4. Auflage. Thieme-Verlag, Stuttgart 2001, ISBN 978-1-58890-031-9, S. 2085.
- ↑ Zynovy Itov und Harold Meckler: A Practical Procedure for the Resolution of (+)- and (−)-Tramadol. In: Organic Process Research & Development 2000, 291–294.
- ↑ D. Burke und D. J. Henderson: Chirality: a blueprint for the future, British Journal of Anaesthesia 88 (2002), 563–576.
- ↑ (a) K. Flick und E. v. Frankus, U.S. Patent 3 652 589 (Grünenthal GmbH) 28. März 1972. In: Chemical Abstracts, 1972, 76, S. 153321. (b) K. Flick und E. Frankus, U.S. Patent 3 830 934 (Grünenthal GmbH) 20. August 1974. In: Chemical Abstracts, 1974, 82, S. 21817.
- ↑ Beispiele: E. v. Frankus, E. Friedrichs, S. M. Kim, G. Osterloh. In: Arzneimittel-Forschung / Drug Research, 1978, 28, S. 114–121. (b) K. Flick, E. v. Frankus, E. Friedrichs. In: Arzneimittel-Forschung / Drug Research, 1978, 28, S. 107–113. (c) Y. A. Ardakani, M.-R. Rouini. In: Journal of Pharmaceutical and Biomedical Analysis, 2007, 44, S. 1168–1173.
- ↑ Physicians Desk Reference. In: Medical Economics Data, Oradell NJ 2000, 54, S. 2218–2219.
- ↑ A. Boumendjel, G. Sotoing Taïwe, E. Ngo Bum, T. Chabrol, C. Beney, V. Sinniger, R. Haudecoeur, L. Marcourt, S. Challal, E. Ferreira Queiroz, F. Souard, M. Le Borgne, T. Lomberget, A. Depaulis, C. Lavaud, R. Robins, JL. Wolfender, B. Bonaz, M. De Waard: Occurrence of the Synthetic Analgesic Tramadol in an African Medicinal Plant. In: Angewandte Chemie International Edition. 52. Jahrgang, Nr. 45, November 2013, S. 11780–11784, doi:10.1002/anie.201305697.
- ↑ Souvik Kusari, Simplice Joel N. Tatsimo, Sebastian Zühlke, Ferdinand M. Talontsi, Simeon Fogue Kouam, Michael Spiteller: Tramadol—A True Natural Product? In: Angewandte Chemie International Edition. September 2014, doi:10.1002/anie.201406639.
- ↑ UN warnen vor Folgen von Cannabiskonsum für Gesundheitssysteme. tagesschau.de, 27. Juni 2022, abgerufen am 4. Juli 2022.
- ↑ Laura Salm-Reifferscheidt: Westafrika wird von Opioiden überschwemmt. Deutschlandfunk Kultur, 22. April 2018; abgerufen am 22. April 2018.
-Tramadol.svg.png)
-Tramadol_gespiegelt.svg.png)