Sprachen und Schriften in Tolkiens Welt
J. R. R. Tolkien entwickelte für die von ihm geschaffene Mythologie zahlreiche teilweise fiktive, teilweise auch tatsächlich von ihm konstruierte Sprachen und Schriften.
Viele kennen Tolkien nur als Schriftsteller, jedoch war er vor allem Philologe und beschäftigte sich als solcher beruflich mit dem Ursprung von Sprachen und Wörtern (Etymologie). Er hatte Kenntnisse vieler Sprachen, von alten germanischen Sprachen wie Altisländisch und Gotisch bis zum nichtgermanischen Finnisch und entwickelte dabei etwas wie einen „Lautgeschmack“ (wörtliche Übersetzung des von ihm dafür genannten Quenya-Wortes lámatyávë), der ihn dazu veranlasste, Sprachen zu kreieren, die für ihn den perfekten Klang haben sollten. Nun war er aber als Philologe der Meinung, dass Sprache einen Ursprung und eine Geschichte braucht, und zu diesem grundlegenden Zwecke erfand er Arda und seine Geschichte. Wichtige Facetten dieser Welt wie einzelne Figuren, Gegenstände sowie Regionen und Orte werden in eigenen Artikeln beschrieben.
„Von seinem wissenschaftlichen Fachgebiet her war Tolkien Sprachhistoriker – das heißt, er beschäftigte sich mit der Geschichte von Worten, wobei Worte nicht isoliert, sondern immer in ihren kulturellen Zusammenhängen gesehen wurden. Und Worte, wie Tolkien selbst sagte, erzeugten in seinem Geist Geschichten.“
Die Schreibweise der Eigennamen und einiger anderer Zusammenhänge richtet sich bei Abweichungen zwischen den beiden deutschen Übersetzungen des Herrn der Ringe nach der älteren von Margaret Carroux, da diese noch in Zusammenarbeit mit Tolkien entstand. Die Unterschiede zur Übersetzung Wolfgang Kreges sind in manchen Fällen mit angegeben.
Sprachen
Es gibt in den Erzählungen über Mittelerde mehrere von J. R. R. Tolkien entwickelte Sprachen, die im Folgenden hier teilweise etwas genauer beschrieben werden. Zu diesen Sprachen zählen:
- das Valarin der Valar (Götterwesen)
- das Eldarin der Elben, die in Valinor lebten. Diese wird auch als Eldarissa ‚Sprache der Wissenschaft‘ bezeichnet. Es entwickelte sich weiter zu Vanyarin, Noldorin und Telerin.
- das Quendin, besser bekannt unter dem Namen Quenya, die ‚Sprache der Gelehrten‘, und wurde später ähnlich dem Griechischen oder dem Latein bei uns im Mittelalter verwendet.
- das Vanyarin oder Amanyarin der Vanyarelben, das nur in Valinor gesprochen wird.
- das Noldórin der Noldorelben, auch Noldorissa ‚Sprache der Erfinder‘ genannt. Noldo bedeutet klug oder geschickt.
- das Telerin der Telerielben, aus dem sich Sindarin, Nandorin und Lindarin entwickelten.
- das Sindarin der Sindarelben, welches zunächst besonders in Doriath, später aber in ganz Mittelerde von den Elben als Gemeinsprache benutzt wurde.
- das Avarin oder Umanyarin der Elben Mittelerdes, die nie nach Valinor gingen. Zu diesen zählt wahrscheinlich auch das Laiquendin der Waldelben.
- das Indya oder Irindya der Oberbegriff für die Sprachen der Menschen, mit Adûnaisch, Westron und Rohirrisch.
- das Khuzdul der Zwerge.
- das Orquin der Orks und Uruk-Hai.
- das Entisch, das möglicherweise Onodrin heißt, denn ein Onod ist ein Ent.
Darüber hinaus gab es auch die Parmalambië ‚Sprache der Bücher‘, also die Schriftsprache, eine Zeichensprache Matengwië ‚Sprache mit den Händen‘, die bei den Zwergen Iglishmêk heißt, und Geheimsprachen, wie z. B. die Schwarze Sprache Saurons oder eine Kommunikation im Bereich der Telepathie, wie sie beispielsweise Galadriel benutzt, um die Gedanken anderer zu lesen.
Elbensprachen
Entwicklung des Elbischen
Die wichtigsten Sprachen in Tolkiens Welt sind ohne Zweifel die Sprachen der Elben. Deren geschichtliche Entwicklung stellt sich wie folgt dar: Ursprünglich, als die Elben noch alle zusammenlebten, benutzten sie eine gemeinsame Sprache, die Tolkien schlicht Primitive Elvish (Ur-Elbisch) nannte. In dieser Sprache hätte der simple Satz „Der Mann spricht“ vermutlich (i) ndêro kwêtâ gelautet. Als ein großer Teil der Elben sich auf die Reise in den Westen begab, hatte sich jedoch die Sprache bereits weiterentwickelt, und man sprach das, was Tolkien Common Eldarin nannte (Gemein-Elbisch). Es gab mehrere Mundarten, so beispielsweise das Common Telerin oder das Common Enya; das Common Telerin wurde jedoch westlich des Meeres zum Amanya Telerin. In Mittelerde entwickelten sich daraus zum einen das Alt-Sindarin, zum anderen das Nandorin, das allerdings nicht gut genug überliefert ist, um den obigen Beispielsatz darin zu rekonstruieren. Als Beispiel dieser Sprache hier deshalb: golda dac yrc – „Ein Noldo tötet Orks“. Zum Vergleich: Im Sindarin hieße es golodh dâg yrch.
Das Alt-Sindarin hat im sich ständig wandelnden Mittelerde diverse Entwicklungsstufen in verschiedenen Dialekten durchgemacht; man unterscheidet im ersten Zeitalter mindestens zwischen den Dialekten der Küste, von Doriath, der Mithrim, der Noldor und der Edain (Menschen), die sich wiederum allesamt in ältere und modernere Formen unterteilen lassen (man könnte so z. B. von Mittel-Mithrim-Sindarin usw. sprechen). Ins zweite Zeitalter jedoch überlebt in erster Linie der Dialekt der Küste, auf den auch das allgemeinere Sindarin des dritten Zeitalters im größten Maße zurückgeht. Seit Beginn des dritten Zeitalters wird in Mittelerde aber vorwiegend „Neu-Sindarin“ gesprochen, das sich aus dem ursprünglichen „Alt-Sindarin“ heraus entwickelt hat und von den meisten der Eldar gesprochen wird, zumindest jenen, die bis ins vierte Zeitalter in Mittelerde zurückblieben.
Als Beispiel hier der Satz „der Mann spricht“:
| Primitives Elbisch | Gemein-Eldarin | Gemein-Enya | Quenya | Gemein-Telerin | Aman-Telerin | Alt-Sindarin | Gemein-Sindarin | Neu-Sindarin |
|---|---|---|---|---|---|---|---|---|
| (i) ndêro kwêtâ | i ndêr kwêtâ | i nér quéta | i nder queta | i ndêr pêtâ | i dēr pēta | i ndêr peta | i nîr pêd | i ner pēd |
Im Sindarin und Quenya werden in schriftlicher Form, anders als zum Beispiel im Deutschen, wo Buchstabenkombinationen verwendet werden, Lautzeichen benutzt. Diese setzt Tolkien u. a. deshalb ein, weil auch in Europa lange Zeit die Wörter so geschrieben wurden, wie sie sich anhören. Heute beobachtet man das häufig noch bei Schreibanfängern. So lässt sich auch erklären, dass beispielsweise der Name Meier (Maier, Mayer, Meyer, Meyr, Meijer …), trotz identischer Aussprache, in unterschiedlichen Schreibweisen existiert.
Quenya
Entstehung
Das Quenya war zwar nicht die erste Sprache, die Tolkien erfand (er hatte etwa bereits vorher eine Weiterentwicklung des Gotischen versucht), sie war aber die erste von denjenigen Sprachen, die er später in seine Mythologie integrierte. Im Jahre 1912 entdeckte Tolkien die finnische Sprache. Er war so beeindruckt von dem Erlebnis, das ihm das Lesen des finnischen Nationalepos Kalevala verschaffte, dass er beschloss, auf Grundlage der finnischen Phonetik, die er als besonders schön empfand, eine eigene Sprache zu erfinden. „Im Grunde“, schrieb Tolkien, „könnte man sagen, dass es auf einer lateinischen Basis komponiert ist, mit noch zwei weiteren (Haupt-)Ingredienzien, die mir nun einmal ein ‚phonästhetisches‘ Vergnügen bereiten: Finnisch und Griechisch.“[2]
Nach ISO 639-3 lautet das Sprachkürzel für Quenya qya.[3]
Sprachliche Entwicklung
Quenya ist die Sprache jener Elben, die in grauer Vorzeit in die Unsterblichen Lande (Valinor) gingen und von denen einige später nach Mittelerde zurückkehrten. Die Sprache ähnelt in Klang und Grammatik in mancher Hinsicht dem Finnischen, im Vokabular jedoch nicht. Tolkien hat das Quenya von allen seinen erfundenen Sprachen weitaus am besten dokumentiert, es ist daher relativ gut rekonstruierbar.
Im Dritten Zeitalter von Mittelerde hat Sindarin das Quenya als gesprochene Sprache fast völlig verdrängt; Quenya existiert praktisch nur noch in altem Schrifttum, ähnlich dem Latein in Europa oder dem Sanskrit in Indien. Die Bezeichnung „Hochelbisch“ für das Quenya bezieht sich auf dessen Status einer Gelehrtensprache.
Charakteristik
Im Gegensatz zu seinem Nachfolger Sindarin kann Quenya als eine flektierende Sprache bezeichnet werden, die vom Finnischen inspiriert ist. Es kennt zehn Kasus und vier Numeri und hat damit ausgeprägtere Deklinationen als die indogermanische Ursprache. Mit fünf Tempora, keinem distinkten Passiv sowie nur syntaktisch oder durch Partikel angezeigten Modus ist die Verbalmorphologie jedoch verglichen mit dem Indogermanischen stark eingeschränkt.
Sindarin

Sindarin war im ersten Zeitalter die Sprache der Sindar (Grauelben, Teleri) und breitete sich später auch unter den anderen Elben aus. Tolkien hat zum Sindarin weniger schriftliches Material hinterlassen als zum Quenya, daher lassen sich heute nur noch die Grundzüge des Sindarin klären.
Nach ISO 639-3 lautet das Sprachkürzel für Sindarin sjn.[4]
Sprachgeschichte
Sindarin ist mit Quenya verwandt, aber kein direkter Abkömmling dieser Sprache. Es entwickelte sich aus der Sprache derjenigen Teleri, die bei der Großen Wanderung der Eldar nach Westen in Beleriand zurückblieben. Die Sprache wurde, weil Elu Thingol (König von Beleriand) das (von den anderen gesprochene) Quenya aufgrund der Bluttaten der „Einwanderer“ an ihren Verwandten verbot, später auch von den nach Mittelerde zurückgekehrten Noldor sowie einigen Menschenstämmen angenommen.
Geschichte (extern)
J. R. R. Tolkien mochte die Walisische Sprache. Einige grammatische und vor allem phonologische Grundzüge von Sindarin sind auf Walisisch zurückzuführen. So beispielsweise die Anlautmutationen, die eine Innovation der inselkeltischen Sprachen innerhalb der indogermanischen Sprachfamilie darstellen. Die Sprache lässt sich allerdings durchaus als „real“ bezeichnen, da das Sindarin ja auch eine Vorgängersprache hat, von der sich all seine Wurzeln ableiten lassen.
Menschensprachen
Adûnaisch
Adûnaisch war die Sprache derjenigen Menschen, die im ersten Zeitalter nach Beleriand kamen und sich nicht mit Melkor (dunkler Herrscher) verbündeten. Nach dem ersten Zeitalter wurden diese Menschen (die Dunedain = Westmenschen) von den Valar als Belohnung mit einer Insel beschenkt: Númenor. Dort blieb das Adûnaische weiter die Muttersprache der meisten Menschen, und gegen Ende von Númenor wurde es wieder zur ersten und einzigen Sprache erklärt; auch die Könige bekamen wieder adûnaische Namen, nachdem sie vorher Quenya-Namen gehabt hatten. Das Adûnaische leitet sich vom Quenya ab, basiert aber wie das Khuzdul (und die semitischen Sprachen) auf Drei-Konsonanten-Wortwurzeln. Zu diesen gehört jedoch noch ein „charakteristischer Vokal“, welcher im Allgemeinen zwischen dem ersten und zweiten Konsonanten steht: z. B.g-m-l +i für mit „Stern“ verwandte Begriffe; demzufolge lauten Entsprechungen zu „Stern“ in verschiedenen Kasus und Numeri gimli, gimlê, gimlîya. Bei verwandten Wörtern kann der Vokal aber auch z. B. vor die Konsonantengruppe wandern: So steht igmil für „sternförmig“. Gleichzeitig bleibt Adûnaisch eine flektierende Sprache. Von Adûnaisch existiert ein Wortschatz von etwa zwanzig Vokabeln.[5] Laut dem Silmarillion zeigt ein Zirkumflex (^) im Adûnaischen einen langen Vokal an.[6][7]
Westron
Das Westron war im dritten Zeitalter von Mittelerde die allgemein anerkannte Verkehrssprache. Es wurde von fast allen Völkern gesprochen, von vielen auch als Muttersprache. Im Herrn der Ringe wird diese Sprache in der Fiktion Tolkiens als Englisch wiedergegeben. Die einzigen Sprachzeugnisse finden sich im Anhang zum Herrn der Ringe, in welchem der Erzähler erklärt, dass er aus erzählerischen Gründen Personen- und Ortsnamen mit Mitteln der englischen Sprache nachgebildet habe, sodass etwa Meriadoc Brandybocks eigentlicher Name Kalimac Brandagamba gelautet habe. Fraglich und nicht zu klären ist, ob Tolkien diese „Originale“ erst nachträglich aus Gründen der Vollständigkeit gebildet hat. Von Westron existiert ein Vokabular von rund 200 Wörtern.
Entwicklung
Einer der vielen von den Númenórern in Mittelerde unterhaltenen Häfen war Pelargir, das später zu Gondor gehörte. Indem viele Elemente der einheimischen Sprachen aufgenommen worden waren, hatte sich dort ein starker adûnaischer Dialekt gebildet. Dies war schon ein frühes Westron, das aber später noch von den Númenorern, die im Gefolge von Elendil und seinen Söhnen kamen, um viele elbische Elemente erweitert wurde. Die Sprache breitete sich zuerst entlang der Küsten und später mit der Expansion Gondors und Arnors sehr weit aus, so dass sie zur Gemeinsprache werden konnte.
Sprache der Rohirrim
Die Sprache des Volkes von Rohan, der Rohirrim, war noch mit dem Adûnaischen und damit auch mit dem Westron verwandt, da das Volk der Edain mit dem der Rohirrim verwandt gewesen war. Tolkien gibt diese Sprache mit dem Altenglischen wieder, damit die Verwandtschaft mit dem Westron (das als Englisch wiedergegeben wird) erkennbar ist. Obwohl die Hobbits ihre eigene, ursprüngliche Sprache aufgegeben und Westron als Umgangssprache angenommen haben, existieren zahlreiche alte Begriffe, die eine sehr nahe Verwandtschaft mit der Sprache der Rohirrim aufweisen.
Andere Sprachen
Khuzdul (Zwergisch)
Khuzdul ist die Sprache der Zwerge, die in der Runenschrift Angerthas geschrieben wird. Sie scheint – den semitischen Sprachen ähnlich – um aus drei Konsonanten bestehende Wortwurzeln herum aufgebaut zu sein: kh-z-d, b-n-d, z-g-l. Viel ist nicht über diese Sprache bekannt, da die Zwerge sie für sich behielten, mit Ausnahme einiger Namen und ihres Schlachtrufs Baruk Khazâd! Khazâd ai-mênu!, was so viel wie „Äxte der Zwerge! Zwerge über euch!“ bedeutet.[8]
Unter den Sprachen von Mittelerde ist Khuzdul insofern einzigartig, als es in einen eigenständigen Sprachstamm gehört und mit den Elbensprachen nicht verwandt ist. Dennoch finden sich etliche Ähnlichkeiten zwischen Khuzdul und den ursprünglichen Sprachen der Menschen, wie zum Beispiel Taliska, der Sprache des ersten und des dritten Hauses der Edain, was dem Umstand zu verdanken ist, dass sie in den frühen Tagen Mittelerdes, noch bevor die Menschen über die Gebirge nach Beleriand zogen, Kontakt zu den Zwergen der Blauen Berge und weiter im Osten unterhielten. Taliska ging somit dem Adûnaischen, der Sprache der Númenorer, und der direkt abstammenden Gemeinsprache Westron voraus.
Die Zwergensprache klingt dem Hebräischen sehr ähnlich. Tatsächlich hat Tolkien ein paar Ähnlichkeiten zwischen Zwergen und Juden angemerkt: Beide waren „zugleich einheimisch und fremd in ihrem Lebensraum, sprechen zwar die Sprachen des jeweiligen Landes, aber mit Akzent, da sie ihre eigene Sprache pflegen“.[9] Die Wahl fiel weiter auf das Hebräische als Basis für Khuzdul, da es den europäischen Sprachen unähnlich und fremd genug ist, westlichen Ohren aufzuzeigen, wie andersartig die Zwergensprache im Vergleich mit den Elbensprachen ist.
Im Silmarillion wird festgehalten, dass die Zwerge ihre Sprache von Aulë, deren Erschaffer, lernten, und dass jener das Khuzdul erdacht hatte, was impliziert, dass Khuzdul technisch, in Wirklichkeit und Fiktion, eine konstruierte Sprache darstellt.
Für die Filmtrilogie Der Herr der Ringe verwendete der Linguist David Salo das wenige, das über das Khuzdul bekannt war, um eine für die Verfilmung ausreichende Sprache zu erschaffen. Es scheint sich dafür im Kreise von Tolkienfans die Bezeichnung Neo-Khuzdul einzubürgern.
Entisch
Nachdem sie von den Elben sprechen gelernt hatten, erfanden die Ents auch eine eigene Sprache. Diese ist wie die Ents selbst sehr langsam und klangvoll mit ständigen Wortwiederholungen und kann von keinem anderen Volk als den Ents gelernt werden, da sie sehr kompliziert und zeitaufwendig ist. a-lalla-lalla-rumba-kamanda-lindor-burúme ist wohl der einzige Versuch, einen Teil eines entischen Satzes aufzuschreiben.[10] Baumbart, der älteste Ent, sagt in Die zwei Türme, dass das Entische in der Regel nicht nur eine Beschreibung, sondern auch die Geschichte eines Gegenstandes oder Wesens erzählt und die Wörter deshalb so lang seien. Aus diesem Grund werden einfache Etikett-Begriffe wie Berg von den Ents in ihrer Redeweise als hastig empfunden.
Es gibt zwei Beispiele für eine verkürzte entische Ortsbezeichnung, die der Ent Baumbart benutzt. Einmal für Lothlórien ‚Laurelindórenan lindelorendor malinornélion ornemalin‘, was „Goldenliedlandtal Liedträumendland der Goldenbäume so baumgolden“ heißt, und für den Fangornwald ‚Taurelilómea-tumbalemorna Tumbaletaurea Lómeanor‘, was „Waldvielbeschattetes tieftalschwarzes tieftalbewaldetes Dunkelland“ bedeutet.[11] Dies ist aber kein entisch, sondern eine Übersetzung ins Quenya.
Schwarze Sprache/Orkisch
Die Schwarze Sprache existiert bis auf wenige einzelne Wörter (wie ghash = Feuer, sharku = alter Mann) sowie mehrere Eigennamen fast nur in der Ringinschrift.
Entstehung der „Schwarzen Sprache“
Als Sauron zum ersten Mal an der Macht war, erfand er für alle seine Untertanen die Schwarze Sprache. Doch Sauron wurde besiegt und die Sprache geriet auch unter den Orks in Vergessenheit, obwohl sich noch viele orkische Wörter aus ihr ableiteten. Als Sauron wieder an die Macht kam, wurde sie erneut die Sprache von Mordor.
Nachdem die Orks von Melkor, dem ersten bösen Herrscher, aus den Elben erschaffen worden waren, schnappten sie Wörter aus verschiedenen Sprachen auf und verunstalteten sie so, dass aus ihnen die Orkische Sprache wurde. Diese war aber so primitiv, dass sie außer zum Schimpfen und Beleidigen nicht viel nutzte.
Unter den vielen orkischen Stämmen entstanden bald so viele verschiedene Dialekte, dass die Orks sich nicht mehr mit anderen Stämmen verständigen konnten. Aus diesen Gründen erlernten viele Orks Westron, und bei einigen Stämmen wurde es zur Muttersprache. Orkisch war also am Ende des Dritten Zeitalters (also im Herrn der Ringe) eine aussterbende Sprache.[12]
Sprachbeispiele
Anders als im Falle der Elbensprachen existieren von der Schwarzen Sprache nur wenige Fragmente. Das bekannteste und vollständigste ist die Inschrift des Einen Rings.
| Schwarze Sprache | Deutsche Übersetzung | Darstellung in Tengwarschriftzeichen |
|---|---|---|
– J. R. R. Tolkien |
|
![]() |
| Schwarze Sprache | Deutsch | Anmerkung |
|---|---|---|
| agh | und | Bindewort |
| ash | ein, eine | Zahlwort |
| -at | etwas zu tun, etwas machend | Zuweisung einer Eigenschaft (suchend, findend, herrschend …) |
| -atulûk | zu … sie alle | sinngemäß – mit einer Macht oder Eigenschaft ausgestattet, die sich auf alle gleichermaßen auswirkt |
| búrz | dunkel, finster | Substantiv: burzum – Dunkelheit, Finsternis, das Dunkel |
| durb- | zwingen, beherrschen | durbatulûk – sinngemäß – zu bezwingen sie alle, sie alle beherrschend |
| gimb- | entdecken, herausfinden | gimbatul – sinngemäß – zu entdecken sie, sie findend |
| ishi | in, innerhalb | Präposition: burzum-ishi – in der Dunkelheit |
| krimp- | binden | krimpatul – sinngemäß – zu binden sie, sie bindend |
| nazg | Ring | Nomen |
| thrak- | gewaltsam herbeischaffen, heranschleifen | thrakatulûk – sinngemäß – zu beschaffen sie alle, sie alle herbeischaffend (vergleichbar mit der anziehenden Wirkung eines Magneten auf Eisen) |
| -ûk | das Ganze, alle | Adjektiv |
| -ul | sie | Pronomen: 3. Plural |
| -um | -heit, -keit, -nis, -ung | Suffix zur Substantivierung |
|
| |||||||||||||||||||||||||||||||||||||||||||||||||||||||||||||||||||||||||||||||||||||||||||||||
Weitere Sprachzeugnisse stellen Orts- und Personennamen dar, wie etwa Lugbúrz, die Bezeichnung des Dunklen Turms in der Schwarzen Sprache.
Trotz des äußerst begrenzten Sprachmaterials lassen sich einige plausible Aussagen zu Grundzügen der Schwarzen Sprache treffen. So folgt sie dem Prinzip des agglutinierenden Sprachbaus, wodurch sie sich fundamental von den Elbensprachen unterscheidet, die auf dem flektierenden Sprachbau basieren. Grundeinheiten der schwarzen Sprache sind fast ausschließlich einsilbige Wortstämme,[14] wie durb, nazg, gimb, burz. Diese werden durch ein oder mehrere Suffixe in ihrer Bedeutung modifiziert. Im Falle von durb-at-ul-ûk etwa sind es drei Suffixe: -at kennzeichnet Absicht („um zu“), -ul kennzeichnet das Objekt der Handlung („sie“) und -ûk kennzeichnet Vollständigkeit bzw. Vollendung einer Handlung. Besonders der Umstand, dass das Objekt der transitiven Handlung durch ein Verbalsuffix ausgedrückt wird, hat zu der Spekulation Anlass gegeben, Tolkien hätte sich von der Hurritischen Sprache inspirieren lassen. Dagegen wurde eingewandt, dass es sich möglicherweise nicht um echte Suffixe handelt, sondern um eigenständige Wörter, die lediglich zusammengeschrieben wurden. Zusätzlich weist die Lexik auffällige Ähnlichkeiten zur Hurritischen Sprache auf.
Neben der Suffigierung erscheint die Bildung von Komposita aus zwei Wortstämmen als häufigste Methode der Wortbildung: Lug-burz (wörtlich: Turm-dunkel), Bezeichnung von Barad-dûr in der Schwarzen Sprache.
Auffälliges Merkmal der Sprache ist auch das Fehlen von Artikeln sowie einer grammatikalischen Kennzeichnung des Numerus mittels Suffixen. So tritt nazgûl stets in derselben Form auf, unabhängig ob von einem oder mehreren Ringgeistern die Rede ist.
Der einzige vollständige Satz im Werk Tolkiens ist ein Fluch des Ork-Hauptmanns Grishnakh gegen seinen in Sarumans Diensten stehenden Konkurrenten Uglúk:
„Uglúk u bagronk sha pushdug Saruman-glob búbhosh skai“
Tolkien selbst gibt zwei Übersetzungsvarianten:
„Uglúk in die Jauchegrube, sha! der Mist-Dreck; der große Saruman-Idiot, skai!“
„Uglúk in die Mistgrube mit dem stinkenden Saruman-Dreck, Schweinegedärm, gah!“[15]
Linguistische Arbeiten haben die Schwarze Sprache und die Orksprache zumeist als eine Sprache aufgefasst.
Schriften
Die Schriften in J. R. R. Tolkiens Erzählungen über Mittelerde basieren zunächst auf der Runenschrift der Germanen – diese wird als Futhark bezeichnet. Die im Buch Der Hobbit vorkommenden Schriftzeichen sind diesen Runen noch sehr ähnlich. Dort werden sie in dieser Form nur noch von den Zwergen benutzt und daher als Zwergenrunen bezeichnet. Diese werden manchmal auch Mondrunen genannt, wenn sie auf magische Weise unsichtbar gemacht wurden. So kann man die versteckten Runen auf der Karte Thorin Eichenschilds beispielsweise nur an einem bestimmten Tag und im Licht eines Mondes lesen, der dieselbe Form hat wie an dem Tage, als sie geschrieben wurden. Von diesen Zwergenrunen unterscheiden sich die Runenreihen des Cirth jedoch deutlich. Zwar sehen sie noch aus wie Runen, aber sie stellen ein von Tolkien selbst entwickeltes Schriftsystem dar.[16]
Cirth

Die Cirth ‚Kerbzeichen‘ ähneln äußerlich noch immer den germanischen Runen, aber nur noch wenige entsprechen ihnen tatsächlich noch. So wie bei den germanischen Schriftzeichen hat sich also auch die Schrift in Mittelerde weiterentwickelt. Hierbei hat sich Tolkien eng an die wissenschaftlichen Fakten in der Geschichte der germanischen Runenschrift angelehnt.
Die Cirth wurden von den Sindar von Doriath im Ersten Zeitalter entwickelt. Ebenso wie die Runen waren sie für Inschriften in Holz, Stein oder Metall gedacht.
Die ältesten Zeichen bestehen aus einem „Stamm“ und einem „Zweig“. Die Zweige werden an den Stamm angesetzt. Wenn es nur an einer Seite des Stamms Zweige gab, dann meistens an der rechten. Es kam aber auch nicht selten vor, dass der Zweig auf der anderen Seite angebracht wurde. Dies hatte aber keine phonetische Bedeutung.
Daeron, der Spielmann und Gelehrte König Thingols, fasste die Buchstaben vermutlich unter Eindruck der Tengwar zusammen und ordnete sie in Reihen, die Angerthas genannt wurden. Die Grundzeichen bestehen aus einem Stamm und einem rechts angesetzten Zweig. Sie stehen für stimmlose Laute. Wird auf dieser Seite ein weiterer Zweig angesetzt, steht die Rune für den entsprechenden stimmhaften Konsonanten. Umkehrung des Cirth nach links bedeutet Öffnung zu einem Reibelaut. Trägt der Stamm den Zweig auf beiden Seiten, so steht dieses Zeichen für den stimmhaften Nasal. In dieser Form wurde die Cirth von den Sindar in Beleriand verwendet.
Später fügten die Noldor von Eregion dem Runenalphabet einige neue Zeichen hinzu, um Laute darzustellen, die in der Sprache der Grauelben nicht vorkamen. Das Ergebnis dieser Neuordnung wurde Angerthas Daeron genannt.
Als die Zwerge in Eregion dieses Alphabet kennenlernten, übernahmen sie es und entwickelten es weiter, um es an ihre Sprache Khuzdul anzupassen. Sie brachten dieses System nach Moria, weshalb es auch Angerthas Moria genannt wurde. Die Zwerge verbreiteten die Runen weiter und entwickelten sogar eine Form, die für das Schreiben mit der Feder geeignet war. Beispiele für den Gebrauch dieser Schrift finden sich sowohl auf dem Grabstein Balins, als auch in den Aufzeichnungen in der großen Bücherhalle ‚Mazarbul‘ in Moria.
Bei den Zwergen vom Erebor war eine weitere Abwandlung der Cirth in Gebrauch.
Tolkien verwandte die Cirth auf dem Buchdeckel des Herren der Ringe, um den englischen Satz „The Lord of the Rings translated from the Red Book“ zu schreiben.
Tengwar

Die Tengwar ‚Schriftzeichen‘ können wie ein Alphabet im engeren Sinne verwendet werden, aber auch eine Verwendung als Konsonantenschrift ist möglich. In ihrem regelhaften Aufbau ähneln sie der koreanischen Hangeulschrift, in ihrer Form ähneln sie hingegen den insularen Minuskelschriften.
In Tolkiens Werken sind sie von Feanor auf der Grundlage von Rúmils Sarati erfunden worden. Eine Reihe von Sprachen aus Tolkiens Welt wird mit ihnen geschrieben, darunter Quenya und Sindarin. J. R. R. Tolkien hat sie jedoch meistens für die Wiedergabe von Englisch verwendet.
Das Wort tengwar bedeutet in Tolkiens Elbensprache Quenya „Buchstaben“ oder „Zeichen“. Genau genommen leitet sich das Wort von den Wurzeln TEK = Zeichen machen und GWARA = bewahren, schützen ab. Somit beschreibt es auch eine Schutz- und Abwehrfunktion der Zeichen, ähnlich den Symbol- oder Zauberrunen der Germanen. Sowohl Gandalf, als auch Thorin benutzen beispielsweise in Briefen ein einzelnes Zeichen als Kürzel für ihren Namen. (G-Rune, Th-Rune).
Das Zahlensystem der Tengwar ist überliefert. Dagegen sind von den Angerthas nur die Zahlen 1 und 3 bis 6 bekannt. Diese tauchen im Buch von Mazarbul auf.
Modi
Um eine spezifische Sprache mit den Tengwar zu schreiben, braucht es – genau wie bei jeder anderen Schrift – eine spezifische Orthographie, die von der Phonologie der jeweiligen Sprache abhängt. Im Falle der Tengwar heißen solche Orthographien üblicherweise Modi.
In einigen Modi, den Tehtar-Modi, werden die Vokale mit Diakritika (Tehtar genannt) wiedergegeben; in anderen Modi hingegen, den Vollschrift-Modi, mit normalen Buchstaben. In einigen Modi stehen die ersten vier Buchstaben für /t/, /p/, /k/ und //, in anderen hingegen für /t/, /p/, /tʃ/ und /k/. Einige Modi orientieren sich eher an der Aussprache, andere hingegen eher an der traditionellen Orthographie.
Seit der Veröffentlichung der ersten offiziellen Beschreibung der Tengwar im Herrn der Ringe sind von anderen Leuten zahlreiche Tengwar-Modi geschaffen worden für Sprachen wie Spanisch, Deutsch, Esperanto oder Lojban.
Zeichen / Schreibweise
Die charakteristischste Eigenart der Tengwar ist die gegenseitige Entsprechung von Merkmalen der Form einerseits und Merkmalen der wiedergegebenen Laute andererseits.
Die 24 Primärbuchstaben bestehen aus einer Kombination dreier verschiedener Formen: aus einem Stamm (telco) (kurz, Überlänge oder Unterlänge), einem Bogen (lúva) (links oder rechts vom Stamm, einfach oder verdoppelt) und einem waagerechten Strich (hwarma), der den Bogen schließen konnte.
Die Primärbuchstaben sind in vier Spalten angeordnet, die den wichtigsten Artikulationsorten entsprechen, und in sechs Zeilen, die den wichtigsten Artikulationsarten entsprechen. Beide variieren je nach Modus.
Die ersten vier Buchstaben, d. h., die obersten aus jeder Spalte, bestehen aus einem normalen (d. h. nach unten verlängerten) Stamm und aus einem einfachen Bogen. Sie bezeichnen den stimmlosen Verschlusslaut der jeweiligen Spalte. Im klassischen Quenya-Modus sind es t, p, c, qu. Daher heißen die vier Spalten tincotéma, parmatéma, calmatéma und quessetéma (téma heißt „Spalte/Reihe“ auf Quenya).
In den Spalten des „general-use“-Modus bestehen die folgenden Entsprechungen zwischen Form- und Lautmerkmalen:
- Eine Verdoppelung des Bogens bildet einen stimmhaften Laut.
- Eine Anhebung des Stamms (d. h. Verschiebung nach oben) bildet einen Frikativ.
- Eine Verkürzung des Stamms bildet einen Nasal. Tengwar mit verkürztem Stamm und einfachem Bogen stehen allerdings in den meisten Modi nicht für stimmlose Nasale, sondern für Approximanten.

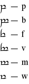
Hier als ein Beispiel die parmatéma (diejenigen Zeichen mit geschlossenem Bogen rechts) im „general use“:
- Der Buchstabe mit einfachem Bogen und normalem (d. h. nach unten verlängertem) Stamm steht für [p].
- Mit verdoppeltem Bogen steht er für [b].
- Mit angehobenem (d. h. nach oben verschobenem) Stamm für [f].
- Mit angehobenem Stamm und verdoppeltem Bogen für [v] (deutsches w).
- Mit verkürztem Stamm und verdoppeltem Bogen für [m].
- Mit verkürztem Stamm und einfachem Bogen für [w] (konsonantisches u wie in Bauer).
Im klassischen Quenya-Modus werden einige Zeilen anders belegt:
- Der Buchstabe mit normalem Stamm und verdoppeltem Bogen steht für [].
- Mit angehobenem Stamm und verdoppeltem Bogen für [].
Zusätzlich können Buchstaben mit erweitertem (d. h. nach unten und oben verlängertem) Stamm auftreten. Außerdem gibt es neben den Primärbuchstaben solche, die keine regelhaften Formen haben. Sie bezeichnen z. B. die Laute /r/, /l/ und /h/. Der Gebrauch der zusätzlichen Buchstaben variiert stark von Modus zu Modus.
Werden tehtar (s. o.) für die Wiedergabe von Vokalen verwendet, so stehen diese bei Sprachen, in denen die Wörter überwiegend auf Vokalen enden (wie z. B. Quenya), über dem vorhergehenden Konsonantenbuchstaben, bei Sprachen, in denen die Wörter überwiegend auf Konsonanten enden (wie z. B. Sindarin und Deutsch) jedoch über dem nachfolgenden. Hierbei wird a meist dargestellt durch drei Punkte bzw. einen Zirkumflex, e durch einen Akut, i durch einen Punkt, o durch einen nach rechts offenen und u durch einen nach links offenen Kringel.
Unicode
Es sind offizielle Vorschläge zur Aufnahme der Tengwar und Cirth in den Unicode-Standard gemacht worden.
Computerdarstellung
Eine Computerschriftart, mit der die Tengwar inklusive tehtar wiedergegeben werden kann, heißt Tengwar Parmaite.
Für TeX und LaTeX gibt es auf CTAN freie Schriftpakete, mit denen sowohl Tengwar als auch Cirth gesetzt werden können.
Quellen
- J. R. R. Tolkien: Briefe. Herausgegeben von Humphrey Carpenter. Klett-Cotta, Stuttgart 1991, ISBN 3-608-93650-5.
Literatur
- Humphrey Carpenter: J. R. R. Tolkien. Eine Biographie. 2. Auflage. Klett-Cotta, Stuttgart 2001, ISBN 3-608-93431-6.
- Helmut W. Pesch: Elbisch. Grammatik, Schrift und Wörterbuch der Elben-Sprache von J. R. R. Tolkien. Bastei Lübbe, Bergisch Gladbach 2003, ISBN 3-404-20476-X.
- Helmut W. Pesch: Elbisch Lern- und Übungsbuch der Elben-Sprachen von J. R. R. Tolkien. Bastei Lübbe, 2004, ISBN 3-404-20498-0.
- Rudolf Simek: Mittelerde – Tolkien und die germanische Mythologie. Verlag C.H.Beck, München 2005, ISBN 3-406-52837-6.
- Helmut W. Pesch: Das große Elbischbuch – Grammatik, Schrift und Wörterbuch der Elben-Sprache J.R.R. Tolkiens mit Anhängen zu den Sprachen der Zwerge und Orks. Bastei-Lübbe, Bergisch Gladbach 2009, ISBN 978-3-404-28524-2.
Einzelnachweise/Anmerkungen
- ↑ Die Gestalt von Arda (S. 2 oben; PDF; 432 kB) auf helmutwpesch.de
- ↑ Zit. nach J. R. R. Tolkien, Briefe. S. 233 (Nr. 144 An Naomi Mitchison). Zum Ursprung des Quenya vergleiche auch Carpenter, J. R. R. Tolkien. S. 74 f.
- ↑ ISO 639 code sets – qya auf sil.org
- ↑ ISO 639 code sets – sjn auf sil.org
- ↑ Nachrichten aus Mittelerde – Eine Beschreibung der Insel Númenor.
- ↑ Silmarillion, Anhang: Aussprache der Elbennamen.
- ↑ J. R. R. Tolkien: Lowdham’s Report. In: Christopher Tolkien (Hrsg.): Sauron Defeated (The History of Middle-earth. Band 9).
- ↑ J. R. R. Tolkien: Der Herr der Ringe. Anhänge und Register. Anhang F, I: Die Sprachen und Völker des Dritten Zeitalters. Darin: Zwerge. S. 141.
- ↑ J. R. R. Tolkien: Briefe.
- ↑ Der Herr der Ringe Anhänge; F; Von den Ents.
- ↑ Helmut W. Pesch: Das große Elbischbuch. S. 62.
- ↑ Der Herr der Ringe Anhänge, F: Orks und die dunkle Sprache.
- ↑ a b c Helmut W. Pesch: Das große Elbischbuch – Grammatik, Schrift und Wörterbuch der Elben-Sprache J.R.R. Tolkiens mit Anhängen zu den Sprachen der Zwerge und Orks. Bastei-Lübbe, Bergisch Gladbach 2009, ISBN 978-3-404-28524-2, S. 869–880.
- ↑ Die einzige Ausnahme ist das Wort ishi, das sich im Kontext der Ringinschrift nicht sinnvoll in sinntragende Silben zerlegen lässt.
- ↑ Orkish and the Black Speech – base language for base purposes.
H. K. Fauskanger: A Second Opinion on the Black Speech. - ↑ Rudolf Simek: Mittelerde – Tolkien und die germanische Mythologie. – Kapitel 9.
Weblinks
- Thror.de – Runen in den Werken von J.R.R. Tolkien
- mazarbul.de – Runen, Tengwar, fremde Zeichen ( vom 22. April 2009 im Internet Archive)
- Ardalambion (englisch) beschäftigt sich mit allen Sprachschöpfungen Tolkiens
- Deutsche Seite, die sich umfassend mit dem Thema Quenya beschäftigt (enthält u. a. einen Quenyakurs zum Selbststudium und eine Deutsch-Quenya-Wortliste)
- Wortliste und Grammatik auf sindarin.de
- Kleines Lexikon der Elbensprache ( vom 7. Januar 2010 im Internet Archive)
- Runen-Generator für Cirth und Tengwar auf derhobbit-film.de
- Gernot Katzer: Detaillierte Seite über Tengwar
- Sindarin-Wortliste und Grammatik auf sindarlambion.net
- Christian Thalmann: Eine Anleitung zum Schreiben von Deutschen Texten mit den Tengwar auf cinga.ch
- Tengwar im (neuen) Sindarin Modus von Beleriand (Graphik, kann auf das Deutsche übertragen werden)
- Tengwar Parmaite TrueType-Font für Windows.
- Elbenschrift auf dem Computer – TrueType Tengwar auf helmutwpesch.de
- Übersetzungshilfe ins Elbische
