Romer-Modell

Das Romer-Modell ist eine 1990 von Paul Romer entwickelte mathematische Beschreibung (ökonomisches Modell) des Wachstums einer Volkswirtschaft. Es ist ein früher und bekannter Vertreter der endogenen Wachstumstheorie, die ab den 1980ern als Kritik an und Antwort auf die neoklassischen Wachstumsmodelle entstand.
Den neueren Wachstumstheorien ist gemein, dass der Wachstumsprozess aus den Präferenzen der Marktteilnehmer (und deren Spar-, Konsum- und Investitionsverhalten) abgeleitet und insofern „endogenisiert“ werden kann.[1] Als wesentliche Triebkraft des Wachstums wird der technische Fortschritt angenommen (Economics of Ideas). Forschung und Entwicklung resultieren immer in gänzlich neue Produktvarianten (Varietätenmodell), eine Verbesserung bestehender Produkte bzw. Kapitalgüter (Qualitätenmodell) ist nicht vorgesehen.
Später folgte eine Verallgemeinerung von Romers Arbeit durch Charles I. Jones im Jones-Modell (1995).
Das Modell
Modellannahmen
Im Romer-Modell ist technischer Fortschritt die entscheidende Größe hinter dem ökonomischen Wachstum. Technischer Fortschritt ist die Folge gewollter Handlungen von Marktteilnehmern, die auf Anreize reagieren, d. h., er resultiert aus Forschung von gewinnorientierten Unternehmen. Um Mittel in technischen Fortschritt zu investieren, verzichten sie auf Konsum und sparen, beziehungsweise investieren Erspartes. Je größer der Konsumverzicht, desto höher sind die für die Forschung der Unternehmen eingesetzten Mittel und desto größer die Menge der neuen Ideen. Konsumverzicht ist daher die eigentliche Grundlage allen technischen Fortschritts.
Die wichtigste Annahme von Romer ist die Charakterisierung der „Ideen“ im Sinne reinen Wissens als nicht-rivalisierendes Gut (siehe Rivalitätsgrad). Das heißt, eine einmal gemachte Entdeckung und daraus beispielsweise abgeleitete Konstruktionsanleitung kann von beliebig vielen Menschen gleichzeitig genutzt werden, ohne sich dabei gegenseitig zu behindern. Forschung dient so als Grundlage für weitere Forschung.
Die für das Wachstum entscheidenden Ideen sind teilweise ausschließbar, da sie über Patente und andere Schutzrechte gesichert werden können. Sie dürfen in der Güterherstellung nur vom jeweiligen Lizenznehmer oder Patenthalter verwendet werden, wodurch kurzfristig Marktmacht (Monopol) entsteht. Dadurch wird gewährleistet, dass die (oft hohen) Fixkosten in der Produktion einer Idee wieder eingespielt werden, es aber trotzdem zu positiven externen Effekten in Form von Wissens-Spillovern kommt.[2]
In der Tat stuft Romer Ideen in seinen Modellen weder als öffentliches Gut noch privates Gut ein:
„Externalities suggest incomplete control or appropriability, but they do not capture the absence of opportunity costs that is the key characteristic of an idea. The combination of some degree of private control and an absence of opportunity costs means that ideas are neither public goods nor private goods – nor a mixture of the two.“
Modellstruktur

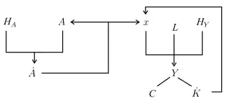
Im Modell werden drei Sektoren unterschieden:[4] ein Forschungs- und Entwicklungssektor (der neue Ideen entwickelt), ein Zwischenproduktsektor und ein Endproduktsektor, welcher die Konsumgüter produziert.
Forschungssektor
Im Forschungssektor werden neue Designs (blueprints) für Zwischenprodukte entwickelt. Eine wesentliche Aufgabe besteht also in der Produktion neuen Wissens (und damit in einer Erhöhung des aktuellen Wissensstandes für die nächste Periode). Eine andere ist der Verkauf produzierter Designs, welche beispielsweise über Patente gesichert sind. Die durch die Patente geschaffene Ausschließbarkeit ist notwendig, um die Kosten der Wissensproduktion zu decken – was sonst unter vollkommener Konkurrenz nicht möglich wäre (siehe auch Ökonomische Analyse von Patenten). Aus Gründen der modelltechnischen Vereinfachung wird angenommen, dass sich jede Einheit technischen Wissens in genau einer Einheit eines Zwischengutes niederschlägt. Das technische Wissen lässt sich deshalb numerisch durch die Anzahl der Patente beschreiben.[5]
Um den Bestand an Designs bzw. Wissen zu mehren, stehen dem Forschungssektor Forscher bzw. deren Arbeit (Humankapital) mit einer bestimmten Produktivität sowie der aktuelle Stand des technischen Wissens (State of the Art) zur Verfügung. Dieser Sektor kann mittels einer Wissensproduktionsfunktion wie folgt modelliert werden:
Diese Modellierung hat zwei wesentliche Konsequenzen:
- Skaleneffekt: Die Rate, mit der neue Designs entwickelt werden, steigt mit zunehmendem Humankapitaleinsatz bzw. der Anzahl der tätigen Forscher. Das widerspricht vielen Beobachtungen in der Realität und wurde in vielen anderen Wachstums-Modellen zu vermeiden versucht (z. B. dem Jones-Modell).
- Giganteneffekt: Die Produktivität im Forschungssektor (bei konstantem Personaleinsatz) nimmt mit jeder neuen Erfindung dauerhaft zu. Diese Tendenz wird auch „shoulders on giants“-Effekt genannt (nach dem Gleichnis der Zwerge auf den Schultern von Riesen). Demgegenüber steht die Tendenz, dass künftige Erfindungen immer schwieriger zu machen sind, weil die relativ einfachen zuerst getätigt wurden („fishing out“-Problem). Auch dieser Effekt wird im Jones-Modell genauer modelliert und relativiert.
Zwischenproduktsektor
Der Zwischenproduktsektor benötigt für seine Produktion eine bestimmte Anzahl von Konsumgütern. Für die Produktion von Zwischengütern wird also auf eine gewisse Anzahl an Endprodukten verzichtet. Darüber hinaus benötigt dieser Sektor (wie auch der Endproduktsektor) Arbeit und Humankapital und zusätzlich Patente aus dem Forschungssektor. Die Zwischenprodukte können auch als Kapitalgüter angesehen werden.
Die Unternehmen hier erwerben die Patente unendlich langer Dauer höchstbietend zu einem Preis , sodass jedes Kapitalgut nur von einem Unternehmen hergestellt wird (Monopol).[6]
Ihre Produktionstechnologie ist sehr einfach: Aus einer konstanten Menge an Rohkapital wird ohne weiteren Faktoreinsatz eine Einheit des Kapitalgutes – manchmal wird soweit vereinfacht, dass genau eine Einheit Rohkapital in eine Einheit des Kapitalgutes umgewandelt wird. Diese Technologie sei zur Vereinfachung für alle Varietäten gleich. Außerdem unterliegen die Kapitalgüter keiner Abschreibung.[2]
Der Kapitalstock der hier produzierten dauerhaften Kapitalgüter ergibt sich danach wie folgt:
- .
Der positive Parameter beschreibt, wie viele Einheiten an Konsumgütern man aufgeben muss, um ein Kapitalgut herzustellen. Für den Fall bedeutet dies, dass durch den Verzicht auf eine Einheit des Konsumgutes genau eine Einheit einer neuen Maschine erstellt werden, die zum Kapitalstock wird. In diesem Sinne findet die Kapitalakkumulation als nicht konsumierter Anteil von Endprodukten statt:
Genauer heißt das, dass dieser Anteil nicht konsumierter Endprodukte gar nicht erst hergestellt wird. Die Ressourcen, die es gebraucht hätte, den Anteil Endprodukte herzustellen, werden stattdessen genutzt, um Kapitalgüter zu erzeugen.[7]
Endproduktsektor
Der Endproduktsektor besteht aus einer Vielzahl kompetitiver Unternehmen (vollkommener Wettbewerb), die aber alle eine identische Produktionstechnologie nutzen, um homogene Konsumgüter (Endprodukte) zu produzieren. Ein Teil der Konsumgüter wird konsumiert, während der andere gespart wird und zur Kapitalakkumulation führt.
In diesem Sektor werden (ungelernte) Arbeit , Humankapital (wie gelernte Arbeit) und Zwischenprodukte benötigt. Die vorliegende Technologie weist konstante Skalenerträge auf (d. h. alle Exponenten addieren sich zu Eins). Der Endproduktsektor kann wie folgt modelliert werden:
- ,
wobei für einen speziellen Zeitpunkt t die obere Integrationsgrenze auch einen konkreten Wert annehmen kann. Dies ist die endliche Anzahl der zum gegebenen Zeitpunkt realisierten Zwischenprodukte, die nach den aktuell vorhandenen Bauplänen (Ideen) entwickelt wurden, obwohl diese Baupläne oder Ideen potentiell unendlich sind.
Alle bisher existierenden Zwischenprodukte (Rohkapital) fließen mit einem gewissen Anteil in die Produktion ein, wobei diese keine perfekten Substitute sind, d. h., zwei Maschinen verschiedenen Typs erzielen mehr Output als zwei Maschinen desselben Typs. Die Folge ist eine zunehmende Spezialisierung.
Langfristiges Gleichgewicht und Wachstumsrate
Ein Wachstumsgleichgewicht wird erreicht, wenn die Wachstumsrate der Produktion der des Konsums entspricht, also Angebot und Nachfrage im Gleichgewicht und die Faktormärkte geräumt sind. Die intertemporalen Nutzenpräferenzen werden durch den Zins ins Gleichgewicht gebracht.
Wirtschaftliches Wachstum entsteht im Romer-Modell wie folgt:
- Konsumverzicht führt über Kapitalakkumulation zu einem Zuwachs an Produktivität und damit zu Wachstum.
- Bei Konsumverzicht (d. h. bei einer niedrigen Zeitpräferenzrate der Haushalte) kann ein Teil des Humankapitals im Forschungs-, statt im Konsumgüterbereich eingesetzt werden. Die aktuelle Produktion fällt dann zwar niedriger aus, es werden aber stattdessen neue Produkte entwickelt und die Technologie verbessert sich. Dadurch entsteht Wachstum sowie mehr Möglichkeiten für Produktion und Konsum in der Zukunft.
- Dieser Effekt hängt eng mit den Externalitäten im Forschungsbereich zusammen: Auch das allen anderen Forschern zur Verfügung stehende Wissen wird erhöht und damit die Produktivität aller weiteren Forschungsaktivitäten. Der Wachstumsprozess kommt also nicht zum Stillstand.
- Nachfrage nach Kapitalgütern
Die Nachfrage nach Kapitalgütern (Maschinen) im Endproduktsektor ergibt sich durch die Gewinnmaximierung der Hersteller dort. Die Gewinnfunktion
führt zu der inversen Nachfragefunktion
- Gewinnmaximierung im Zwischenproduktsektor
Die Hersteller im Zwischenproduktsektor, der monopolistischer Konkurrenz unterliegt, maximieren ihren Gewinn unter Berücksichtigung dieser Nachfrage nach ihren Gütern. Somit sieht ihre Gewinnfunktion wie folgt aus:
Hierin stehen die Mieteinnahmen () den Zinskosten gegenüber, derer es bedarf, um die benötigten Kapitalgüter zu erstellen. Der gewinnmaximierende Preis ergibt sich zu:
Der Zähler des Bruches enthält die Grenzkosten (). Da der Nenner kleiner Eins ist, liegt der Preis insgesamt über diesen Grenzkosten, was als mark-up (Aufschlag) bezeichnet wird. Der Aufschlag zu den Grenzkosten ergibt sich auch durch die Elastizität der Nachfrage (Chamberlin’s Mark-Up). - Gewinnmaximierung im Forschungssektor
Hier herrscht perfekter Wettbewerb durch die Annahme freien Markteintritts. Der Wert bzw. Preis eines Patents muss dem Barwert der Profite entsprechen bzw. den diskontierten zukünftigen Gewinnen aus der Zwischenproduktherstellung:
Es liegt eine intertemporale no-profit-Bedingung vor: Die aktuellen Gewinne eines Kapitalguthersteller sind gerade genug, um die Kosten der Zinsrate der anfänglichen Investition in das Patent zu decken. - Konsumoptimierung der Haushalte
In der Ökonomie gibt es eine konstante Anzahl an Haushalten. Die Haushalte maximieren ihre intertemporale Nutzenfunktion:
unter der Nebenbedingung:
Dies führt schließlich zur Keynes-Ramsey-Regel:
. - Gleichgewichtiger Wachstumspfad
Entlang des gleichgewichtigen Wachstumpfades (balanced growth path) müssen Konsum, Output und Innovationen mit gleicher und konstanter Rate g wachsen, sodass:
- Optimale Wachstumsrate
Durch weitere Umformungen ergibt sich die Wachstumsrate zu:
Wohlfahrtsmaximierung
Die als optimal berechnete Wachstumsrate ist nicht notwendigerweise sozial wünschenswert. Überließe man einem sozialen Planer volle Entscheidungsgewalt über die Ökonomie und würde dieser die intertemporale Nutzenfunktion der Haushalte seiner Entscheidung zugrunde legen, ergäbe sich die sozial optimale Wachstumsrate zu:
Wobei gilt. Das liegt daran, dass die Forschung die Produktivität von Forschern in der Zukunft erhöht, sich diese intertemporale Externalität aber nicht in Preis der Patente widerspiegelt und die Nachfrage nach Maschinen wegen der monopolistischen Verzerrung geringer ausfällt als bei vollständiger Konkurrenz.
Implikationen
Externe Effekte
Im Gleichgewicht des Romer-Modells existieren externe Effekte. Externalitäten tauchen bei Gütern auf, deren Grad an Ausschließbarkeit niedrig ist (trifft auf Ideen zu). Güter mit positiven (negativen) Externalitäten werden am Markt regelmäßig zu wenig (zu viel) bereitgestellt.
- Negativer externer Effekt: monopolistische Konkurrenz
Der Zwischenproduktmarkt (Kapitalgütermarkt) ist durch monopolistische Konkurrenz gekennzeichnet, da der Erwerb eines Patentes dem Inhaber die alleinige Verfügung über das entsprechende Design sichert. Ein sozialer Planer würde versuchen, mehr Wettbewerb herzustellen, durch Senkung des Preises auf Grenzkosten. Durch die steigende Nachfrage würde Humankapital in der Produktion frei werden, das z. B. in der Forschung eingesetzt werden kann. - Positiver externer Effekt:
Der Forschungssektor wird für die Mehrung des Wissens nicht entlohnt, sondern nur für das verkaufte Patent. Das produzierte Wissen wiederum steht allen zur Verfügung. Innovationen erhöhen also die heutige und zukünftige Produktivität der Forscher (und damit die zukünftige Entlohnung). Dies wird jedoch nicht berücksichtigt, könnte aber durch höhere Löhne kompensiert werden.
Skaleneffekt
Die Kritik am Skaleneffekt initiierte eine Entwicklung einer ganzen Klasse von Wachstumsmodellen, die diesen Effekt vermeiden. Einen guten Überblick über diese Literatur liefern Dinopoulos und Thompson (1999).[8]
Innovationsprozess
Romers Modellierung des Forschungssektors vernachlässigt wesentliche Kennzeichen des realwirtschaftlichen Innovationsprozesses.
- Varietätenmodell (ausschließlich horizontale Innovation)
Zum einen nimmt bei Romer die Produktvielfalt ständig zu, da alle jemals entworfenen Varianten für immer in der Produktpalette enthalten bleiben. Es findet sich aber auch der Fall einer Verdrängung alter Produkte, eine Beobachtung, die schon 1942 von Joseph Schumpeter gemacht wurde (siehe Schöpferische Zerstörung). Hierzu gibt es auch eine Reihe von Modellen, die sich auf den Aspekt der Produktqualität konzentrieren, beispielsweise Grossman und Helpman (1991) oder Aghion und Howitt (1992).[9]
Ein auch mathematischer Nachteil der Varietätenmodelle ist, dass die eingesetzte Arbeit pro Produktlinie exponentiell sinkt (da die Bevölkerung als konstant angenommen wird).[2] - Sicherheit des Forschungsergebnisses
Zum anderen besteht in Romers Formulierung absolute Gewissheit über das Forschungsergebnis. Hat man hinreichend viele Forscher entsprechender Produktivität, so werden diese stets zu neuen Ideen kommen. Dies vernachlässigt die Tatsache, dass der Forschungsprozess prinzipiell unsicher (stochastisch) ist. Es ist meist unklar, ob die Ausgaben für Forschung tatsächlich zur Erfindung neuer, verbesserter Produktvarianten führen (und wie lange dies dauert), ob der spätere, zu diskontierende Ertrag aus dem Verkauf der Produktvariante die heute anfallenden Forschungskosten übersteigt, und wie lange die Qualitätsführerschaft nach erfolgreicher Innovation in der jeweiligen Industrie andauert.
Rezeption
Romers Arbeiten zum endogenen Wachstum wurden vielfältig rezipiert und in der Fachwelt aufgegriffen. In der Research-Papers-in-Economics-Datenbank (RePEc) belegt sein 1990 erschienener Aufsatz Endogenous Technological Change[7] den 14. Rang; der vier Jahre zuvor erschienene Aufsatz Increasing Returns and Long-run Growth sogar den 9. Rang (Stand November 2015).[10]
Romer und sein endogenes Wachstumsmodell wurden in den 2010ern immer wieder als Kandidaten des Alfred-Nobel-Gedächtnispreis für Wirtschaftswissenschaften diskutiert. Romer wurde dieser Preis schließlich 2018 verliehen, zusammen mit William D. Nordhaus. Der letzte Wachstumstheoretiker, der diesen Preis vor ihm gewann, war Robert Solow 1987.[11] Neben Romer wird als weiterer Wachstumstheoretiker oft Robert J. Barro genannt.[12]
Literatur
Originalliteratur
- Paul M. Romer: Endogenous Technological Change. In: Journal of Political Economy. Band 98, Nr. 5, 1990, S. 71–102, JSTOR:2937632.
- Paul M. Romer: Increasing Returns and Long-run Growth. In: Journal of Political Economy. Band 94, Nr. 5, 1986, S. 1002–1037, JSTOR:1833190.
Lehrbücher
- Charles I. Jones: Introduction to Economic Growth. 3rd edition. Norton, 2013, ISBN 978-0-393-92078-9. Kapitel 4 und 5.
- Xavier Sala-I Martin, Robert J. Barro: Economic Growth. Second Edition. MIT Press, 2003, ISBN 978-0-262-02553-9. Kapitel 6.3.
- Lutz Arnold: Wachstumstheorie. Vahlen, München 1997, ISBN 3-8006-2242-4.
- Michael Frenkel, Hans-Rimbert Hemmer: Grundlagen der Wachstumstheorie. Vahlen, München 1999, ISBN 3-8006-2396-X.
Andere Sekundärliteratur
- Thomas Trauth: Innovation und Außenhandel. Ein Beitrag zur Theorie des endogenen Wachstums in interdependenten Volkswirtschaften (= Wirtschaftswissenschaftliche Beiträge. Band 145). Physica-Verlag, Heidelberg 1997, ISBN 3-7908-1019-3 (zugleich: Mainz, Universität, Dissertation, 1996).
- Wolfgang Kornprobst: Innovationsbasierte Wachstumstheorie. Diss. 2008.
Weblinks
Einzelnachweise
- ↑ Malcolm H. Dunn: Wachstum und endogener technologischer Wandel-Eine Kritik des Wachstumsmodells von Paul Romer aus der Perspektive der Evolutorischen Ökonomik. In: ORDO Jahrbuch für die Ordnung von Wirtschaft und Gesellschaft, Stuttgart, 51, 2000, S. 282–283, hier S. 282.
- ↑ a b c Kornprobst (2008): Innovationsbasierte Wachstumstheorie.
- ↑ Paul M. Romer: Two Strategies for Economic Development: Using Ideas and Producing Ideas. In: Proceedings of the World Bank Annual Conference on Development Economics, 1992. World Bank, Washington DC 1993, S. 63–91, here: S. 64.
- ↑ Alfred Maussner: Wachstumstheorie. Springer; Auflage: 1996 (4. Oktober 2013), ISBN 978-3-540-61501-9. S. 256ff.
- ↑ Malcolm H. Dunn: Wachstum und endogener technologischer Wandel-Eine Kritik des Wachstumsmodells von Paul Romer aus der Perspektive der Evolutorischen Ökonomik. In: ORDO Jahrbuch für die Ordnung von Wirtschaft und Gesellschaft, Stuttgart, 51, 2000, S. 282–283, hier S. 287.
- ↑ Jones: Introduction to Economic Growth. 2013
- ↑ a b Romer: Endogenous Technological Change. 1990
- ↑ Elias Dinopoulos, Peter Thompson: Scale effects in Schumpeterian models of economic growth. In: Journal of Evolutionary Economics, 9(2), 1999, S. 157–185.
- ↑ Fritz Söllner: Die Geschichte des Ökonomischen Denkens. 3. Auflage. Springer, 2012, ISBN 978-3-642-28177-8. S. 205.
- ↑ Top 1‰ Research Items by Number of Citations. ideas.repec.org (Research Papers in Economics), abgerufen am 13. November 2015 (englisch).
- ↑ Unsere Favoriten für den Wirtschaftsnobelpreis. In: FAZ, 14. Oktober 2012; Überblicksartikel, abgerufen am 5. April 2014.
- ↑ Wer gewinnt den Wirtschaftsnobelpreis? In: Handelsblatt, 11. Oktober 2013; abgerufen am 5. April 2014.