Rimantadin
| Strukturformel | ||||||||||||||||
|---|---|---|---|---|---|---|---|---|---|---|---|---|---|---|---|---|
| ||||||||||||||||
| Allgemeines | ||||||||||||||||
| Freiname | Rimantadin | |||||||||||||||
| Andere Namen | ||||||||||||||||
| Summenformel |
| |||||||||||||||
| Externe Identifikatoren/Datenbanken | ||||||||||||||||
| ||||||||||||||||
| Arzneistoffangaben | ||||||||||||||||
| ATC-Code |
J05AC02 | |||||||||||||||
| Wirkstoffklasse | ||||||||||||||||
| Eigenschaften | ||||||||||||||||
| Molare Masse | ||||||||||||||||
| Schmelzpunkt |
| |||||||||||||||
| Sicherheitshinweise | ||||||||||||||||
| ||||||||||||||||
| Toxikologische Daten | ||||||||||||||||
| Wenn nicht anders vermerkt, gelten die angegebenen Daten bei Standardbedingungen (0 °C, 1000 hPa). | ||||||||||||||||
Rimantadin (Handelsname in den USA: Flumadine®) ist ein Wirkstoff zur Behandlung und seltener auch Vorbeugung gegen Influenza des Typs A und wurde von der FDA im Jahre 1993 zugelassen.[4]
Die Centers for Disease Control and Prevention empfahlen im Januar 2006, Rimantadin und Oseltamivir beim Influenza-Typ H3N2 nicht mehr zu verschreiben, nachdem ein Anstieg der Resistenz von 2 % im Jahre 2004 über 11 % im Jahre 2005 auf 91 % beobachtet worden war.[5]
Es handelt sich um ein Derivat von Adamantan.
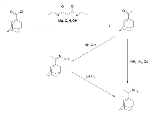
Synthese
Die Synthese von racemischen Rimantadin geht vom 1-Adamantoylchlorid aus, wobei im ersten Schritt mit Malonsäurediethylester und Magnesium das 1-Acetyladamantan gebildet wird.[6][7] Dieses kann über das Oxim mit anschließender Reduktion mittels Lithiumaluminiumhydrid[6] oder direkt durch eine reduktive Aminierung in Gegenwart von Cobaltkatalysatoren zur Zielverbindung umgesetzt werden.[7][3]
Die Racematspaltung kann mit enantiomerenreinen Tartranil erfolgen.[1]
Einzelnachweise
- ↑ a b c P.E. Aldrich, E.C. Hermann, W.E. Meier, M. Paulshock, W.W. Prichard, J.A. Synder, J.C. Watts: Antiviral agents. 2. Structure-activity relations of compounds related to 1-adamantanamine in J. Med. Chem. 14 (1971) 535–543, doi:10.1021/jm00288a019.
- ↑ a b Datenblatt 1-(1-Adamantyl)ethylamine hydrochloride bei Sigma-Aldrich, abgerufen am 18. Januar 2023 (PDF).
- ↑ a b A. Kleemann, J. Engel, B. Kutscher, D. Reichert: Pharmaceutical Substances - Synthesis, Patents, Applications, 4. Auflage (2001) Thieme-Verlag Stuttgart, ISBN 978-1-58890-031-9.
- ↑ FDA APPROVES NEW ORAL FLU DRUG, 17. September 1993.
- ↑ Grippe: Diesjährige Influenzaviren resistent gegen Medikamente. In: Deutsches Ärzteblatt, 16. Januar 2006.
- ↑ a b Deutsches Patent 1 468 769 (DuPont, Prioritätsdatum: 18. Juli 1964).
- ↑ a b Europäisches Patent 178 668 (DuPont, Prioritätsdatum: 17. Oktober 1985).
-Rimantadine_enantiomers_structural_formulae.png)