Pyritinol

Strukturformel
Strukturformel von Pyritinol
Allgemeines
Freiname Pyritinol
Andere Namen
  • 1,2-bis(3-Hydroxy-4-hydroxymethyl-2-methylpyridin-5-ylmethyl)disulfan
  • Pyrithioxin[1]
Summenformel C16H20N2O4S2
Externe Identifikatoren/Datenbanken
CAS-Nummer
EG-Nummer 214-150-1
ECHA-InfoCard 100.012.864
PubChem 14190
ChemSpider 13561
DrugBank DB13084
Wikidata Q416361
Arzneistoffangaben
ATC-Code

N06BX02

Wirkstoffklasse

Antidementivum

Eigenschaften
Molare Masse 368,47 g·mol−1
Aggregatzustand

fest

Schmelzpunkt

216–217 °C[2]

Sicherheitshinweise
Bitte die Befreiung von der Kennzeichnungspflicht für Arzneimittel, Medizinprodukte, Kosmetika, Lebensmittel und Futtermittel beachten
GHS-Gefahrstoffkennzeichnung[3]

Gefahr

H- und P-Sätze H: 315​‐​318​‐​335
P: 261​‐​380​‐​305+351+338[3]
Toxikologische Daten
Wenn nicht anders vermerkt, gelten die angegebenen Daten bei Standardbedingungen (0 °C, 1000 hPa).

Pyritinol (Handelsname: Encephabol, Hersteller: Merck KGaA) ist ein Arzneistoff, der als Antidementivum zur Behandlung der senilen Demenz verwendet wird.

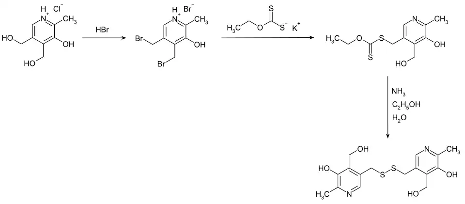
Synthese

Die Verbindung kann in einer dreistufigen Synthese aus Pyridoxin hergestellt werden.[4] Im ersten Schritt erfolgt die Umwandlung von Pyridoxinhydrochlorid in konzentrierter Bromwasserstoffsäure zur entsprechenden Bromverbindung.[5] Diese wird dann mit Kaliumethylxanthogenat umgesetzt. Die Zielverbindung entsteht durch die Dimerisierung des erhaltenen Xanthogenats in Gegenwart von Ammoniak.[6]

Pharmakokinetik

Pharmakologisch wirksam sind die aus der Spaltung an der Disulfidbrücke hervorgehenden Pyridoxin-Reste (Vitamin B6). Die Eliminationshalbwertzeit beträgt ungefähr 6 Stunden, bei einer Bandbreite von 2,5 bis 8 Stunden. Die Verfügbarkeit liegt bei über 80 %. Nach oraler Gabe (in Tablettenform) stellt sich das Wirkungsmaximum nach ca. 30 bis 60 min ein. Der Wirkstoff passiert die Blut-Hirn-Schranke und reichert sich in der grauen Substanz an. Der Wirkstoff und die ebenfalls pharmakologisch wirksamen Metaboliten und ihre Konjugate werden innerhalb von 24 Stunden zu über 70 % über die Nieren ausgeschieden, zu 5 % mit dem Fäzes. Es wurde keine Anreicherung von Pyritinol im Organismus beobachtet.

Geschichte

Das Medikament Encephabol der Firma Merck mit dem Wirkstoff Pyritinol wurde in Deutschland am 15. Mai 1963 in den Handel gebracht. Es wurde für die Behandlung hirnorganischer Schäden von Kindern empfohlen. Bereits Jahre vor der Zulassung wurde es an Kindern getestet, insbesondere an Heimkindern.[7][8] Der Vertrieb von Encephabol wurde am 1. Februar 2023 eingestellt.

  • Pharmainformation. Pyritinol. Universität Innsbruck, 27. November 1996;.

Einzelnachweise

  1. G. Quadbeck, H.R. Landmann, W. Sachsse, I. Schmidt: Der Einfluß von Pyrithioxin auf die Blut-Hirnschranke. In: Pharmacology. Band 7, Nr. 3, 1. Juli 2004, S. 144, doi:10.1159/000135213.
  2. B. Paul, W. Korytnyk: Selective esterifications and acyl rearrangements in vitamin B6. In: Tetrahedron, 25 (1969) 1071–1087, doi:10.1016/S0040-4020(01)82680-6.
  3. a b c Datenblatt Pyritinol bei Sigma-Aldrich, abgerufen am 18. Oktober 2016 (PDF).Vorlage:Sigma-Aldrich/Name nicht angegeben
  4. a b c d e A. Kleemann, J. Engel, B. Kutscher, D. Reichert: Pharmaceutical Substances – Synthesis, Patents, Applications. 4. Auflage. Thieme 2001, ISBN 3-13-115134-X.
  5. G. McCasland, L. Gottwald, A. Furst: 4,5-Dihalo and 3-Amino Analogs of Pyridoxine. New Route to 4-Deoxypyridoxine. In: J. Org. Chem., 26, 1961, S. 3541–3543, doi:10.1021/jo01067a622.
  6. Patente DE 1,135,460 (E. Merck AG 1958); US 3,010,966 (E. Merck AG 1961).
  7. Sylvia Wagner: docserv.uni-duesseldorf.de (PDF; 4,3 MB) Dissertation
  8. spiegel.de