Pushout

Das Pushout (auch Kofaserprodukt, kokartesisches Quadrat, Fasersumme, amalgamierte Summe) ist ein Begriff aus dem mathematischen Teilgebiet der Kategorientheorie. Es handelt sich um die zum Pullback duale Konstruktion.

Pushout von Moduln

Es seien und zwei Homomorphismen zwischen Moduln über einem Ring . Setzt man , so ist das Pushout von und definiert als

mit den Homomorphismen
und

Man kann zeigen, dass und dass die folgende universelle Eigenschaft hat:

Ist irgendein -Modul mit Homomorphismen und , so dass , so gibt es genau einen Homomorphismus mit und .[1]

Pushout in Kategorien

Durch obiges Beispiel motiviert, definiert man das Pushout in beliebigen Kategorien wie folgt.[2]

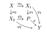
Es seien und zwei Morphismen einer Kategorie. Ein Paar von Morphismen dieser Kategorie heißt Pushout von , falls gilt:

  • Ist ein Paar von Morphismen mit , so gibt es genau einen Morphismus mit und .

Manchmal nennt man nur das Objekt ein Pushout und meint damit, dass es Morphismen gibt, die obiger Definition genügen. Auch das Diagramm

wird bisweilen als Pushout bezeichnet. Es gibt die zum Pullback analoge Schreibweise .

Beispiele

  • Jedes Pullback in einer Kategorie ist ein Pushout in der dualen Kategorie , denn offenbar ist das Pushout genau das zum Pullback duale Konzept.
  • In einer abelschen Kategorie ist das Pushout zu
gleich dem Kokern von .
  • Ist mit obigen Bezeichnungen das Nullobjekt einer additiven Kategorie, so ist das Pushout gleich der direkten Summe .
  • Das einleitende Beispiel zeigt, dass es in der Kategorie der -Moduln stets Pushouts gibt.
  • In der Kategorie der Gruppen existiert stets ein Pushout. Mit obigen Bezeichnungen ist dieses gleich dem freien Produkt modulo dem von erzeugten Normalteiler mit den natürlichen Abbildungen [3] Diese Konstruktion tritt beim Satz von Seifert-van Kampen auf.
  • In der Kategorie der kommutativen Ringe mit Einselement ist das Pushout mit obigen Bezeichnungen gleich dem Tensorprodukt versehen mit der Eins und der durch bestimmten Multiplikation.
  • In der Kategorie der Mengen ist das Pushout , wobei die von erzeugte Äquivalenzrelation auf der disjunkten Vereinigung ist.
  • Ähnlich lassen sich Pushouts von topologischen Räumen beschreiben. Diese spielen bei Verklebekonstruktionen eine Rolle.

Einzelnachweise

  1. Louis D. Tarmin: Lineare Algebra, Moduln 2, Buch X Verlag (April 2008), ISBN 3-934671-51-9, Satz 4.158.3
  2. Peter Hilton: Lectures in Homological Algebra, American Mathematical Society (2005), ISBN 0-8218-3872-5, Definition 4.1
  3. Joseph J. Rotman: An Introduction to the Theory of Groups. Springer, Graduate Texts in Mathematics, 1995, ISBN 0-387-94285-8, Theorem 11.58