Praziquantel
| Strukturformel | ||||||||||||||||||||||
|---|---|---|---|---|---|---|---|---|---|---|---|---|---|---|---|---|---|---|---|---|---|---|
| ||||||||||||||||||||||
| 1:1-Gemisch aus (R)-Enantiomer (oben) und (S)-Enantiomer (unten) | ||||||||||||||||||||||
| Allgemeines | ||||||||||||||||||||||
| Freiname | Praziquantel | |||||||||||||||||||||
| Andere Namen |
(RS)-2-(Cyclohexylcarbonyl)-2,3,4,6,7,11b-hexahydro-1H-pyrazino[2,1-a]isochinolin-4-on (IUPAC) | |||||||||||||||||||||
| Summenformel | C19H24N2O2 | |||||||||||||||||||||
| Kurzbeschreibung |
weißes bis fast weißes, polymorphes, kristallines und hygroskopisches Pulver[1] | |||||||||||||||||||||
| Externe Identifikatoren/Datenbanken | ||||||||||||||||||||||
| ||||||||||||||||||||||
| Arzneistoffangaben | ||||||||||||||||||||||
| ATC-Code |
P02BA01 | |||||||||||||||||||||
| Wirkstoffklasse | ||||||||||||||||||||||
| Eigenschaften | ||||||||||||||||||||||
| Molare Masse | 312,41 g·mol−1 | |||||||||||||||||||||
| Schmelzpunkt |
| |||||||||||||||||||||
| Löslichkeit |
| |||||||||||||||||||||
| Sicherheitshinweise | ||||||||||||||||||||||
| ||||||||||||||||||||||
| Toxikologische Daten | ||||||||||||||||||||||
| Wenn nicht anders vermerkt, gelten die angegebenen Daten bei Standardbedingungen (0 °C, 1000 hPa). | ||||||||||||||||||||||
Praziquantel ist ein Anthelminthikum, ein Medikament gegen Wurminfektionen. Es wirkt gegen Plattwürmer (Plathelminthes) wie Bandwürmer (Cestoda) und Saugwürmer (Trematoda) (einschließlich der Pärchenegel (Schistosoma)). Die durch den Wirkstoff verursachte Öffnung der Calciumkanäle der zusammenziehbaren Zellen der Wurmaußenhaut führt zur spastischen Lähmung des Wurmes, dessen Tod und Austreibung mit dem Stuhl bei Innenschmarotzern (Endoparasiten).
Entwicklungsgeschichte
Praziquantel wurde in den 1970er-Jahren im Rahmen einer Forschungskooperation der Bayer AG mit Merck entwickelt. 1980 wurde das Medikament unter dem Namen Biltricide erstmals vermarktet.[7]
Synthese
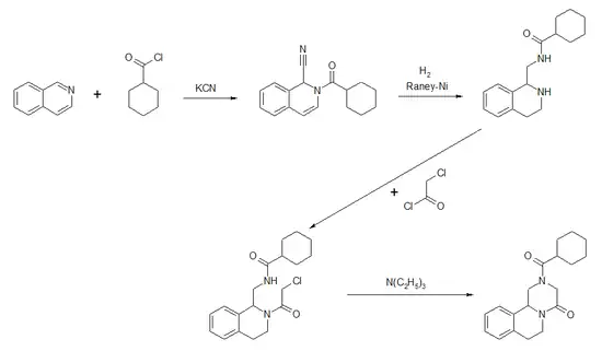
Eine vierstufige Synthese geht vom Isochinolin aus,[8][9][6] wobei im ersten Schritt in Gegenwart von Kaliumcyanid mittels Cyclohexancarbonsäurechlorid eine N-Acylierung entsprechend der Reissert-Reaktion realisiert wird. Die resultierende Additionsverbindung wird dann in Gegenwart von Raney-Nickel hydriert, wobei die Cyclohexancarbonsäureamidfunktion umgelagert wird. Im dritten Schritt erfolgt eine zweite N-Acylierung mittels Chloressigsäurechlorid. Eine Ringschlussreaktion in Gegenwart von Triethylamin ergibt im letzten Schritt die Zielverbindung. Die Synthesesequenz führt zum Racemat.
Die Auftrennung der Enantiomeren aus dem Racemat kann durch eine kontinuierliche Gegenstromchromatographie über Cellulosetriacetat als chiraler stationärer Phase mit Methanol als mobiler Phase mit anschließender mehrstufigen Kristallisation erfolgen.[10]
Eigenschaften

Praziquantel ist chiral und enthält ein Stereozentrum, es gibt also zwei Enantiomere. Die (R)- und die (S)-Form zeigen einen Schmelzpunkt von 110,6 °C. Die Schmelzenthalpie beträgt 18,5 kJ·mol−1, die Schmelzentropie 48,18 kJ·mol−1·K−1.[2][3] Das Racemat weist einen Schmelzpunkt von 136,2 °C auf. Für das Racemat wurde eine Schmelzenthalpie von 25,7 kJ·mol−1 und eine Schmelzentropie von 62,89 kJ·mol−1·K−1 bestimmt.[2][3] Im Phasendiagramm zeigen sich zwischen Enantiomer und Racemat eutektische Schmelzen bei 101 °C mit einem Enantiomerengehalt von 14 %. Aus einer glasig erstarrten Schmelze des Racemats kann bei 90–100 °C eine zweite polymorphe Form mit einem Schmelzpunkt zwischen 133–135 °C erhalten werden.[11]
Die Handelspräparate enthalten den Arzneistoff als Racemat. Die Löslichkeiten des Racemats bei 25 °C betragen in Wasser 0,4 g·l−1,[12] in Methanol 158 g·l−1,[3] in Ethanol 97 g·l−1[12] und in 2-Propanol 54 g·l−1.[3] Die Temperaturabhängigkeit der Löslichkeit in Methanol ist in folgender Tabelle angegeben:[3]
| T in °C | 5,4 | 9,2 | 15,6 | 19,1 | 24,3 | 29,2 | 34,7 | 38,3 |
|---|---|---|---|---|---|---|---|---|
| S in g·l−1 | 64,2 | 75,1 | 101,7 | 120,5 | 157,5 | 207,9 | 290,5 | 363,6 |
Die Kristallstruktur wurde bisher nur vom (R)- bzw. (-)- Enantiomer untersucht. Dieses kristallisiert in einem monoklinen Kristallgitter und liegt, resultierend aus der Kristallisation aus Methanol/Wasser als Hemihydrat vor.[13]
Anwendung
Praziquantel wird in der Humanmedizin peroral verabreicht. Seine Plasmahalbwertszeit beträgt – je nach Leber- und Nierenfunktion – ein- bis zweieinhalb Stunden. Es muss je nach Art und Lokalisation des Parasiten in verschiedener Dauer und Dosis gegeben werden. Bei manchen Bandwürmern reicht schon die einmalige Behandlung mit niedriger Dosis (10–25 Milligramm pro Kilogramm Körpergewicht), bei Befall innerer Organe oder gar des Zentralnervensystems ist die Behandlung von bis zu zwei Wochen mit Höchstdosen von bis zu 50 Milligramm pro Kilogramm Körpergewicht indiziert.
Praziquantel wird auch veterinärmedizinisch eingesetzt, unter anderem zur Entwurmung von Aquarienfischen, Hunden und Katzen.[14][15][16] Hierbei kommen auch Kombinationspräparate zum Einsatz, die zusätzlich Ektoparasiten wie Zecken oder Flöhe bekämpfen.[16]
Seit 2007 wird Praziquantel gezielt zur Ausrottung der Schistosomiasis (Bilharziose) eingesetzt.[17][18] Die Merck KGaA stellt dazu der Weltgesundheitsorganisation (WHO) für zehn Jahre jährlich über 25 Millionen Praziquantel-Tabletten kostenlos zur Verfügung. Mit den Tabletten können 27 Millionen Kinder behandelt werden.[19] 2007 gab Merck bekannt, weitere 200 Millionen Tabletten zu liefern.[20] Ab 2012 stellte das Unternehmen jährlich 250 Millionen im Rahmen einer weiteren Partnerschaft mit der WHO bereit.[21][22]
Bisher (Stand 2011) gibt es keine Anzeichen für eine Resistenzbildung bei den für den Menschen gefährlichen Schistosoma-Arten S. haematobium, S. mansoni und S. japonicum gegenüber Praziquantel.[23]
Nebenwirkungen
Gelegentlich bis häufig treten Leibschmerzen, Myalgien (Muskelschmerz), Übelkeit, Erbrechen, Inappetenz oder Kopfschmerzen als Ausdruck der Wirkungen auf die menschlichen Calciumkanäle auf. Auch Schwäche, Schwindel, Benommenheit, Müdigkeit sowie Temperaturerhöhung und Urtikaria (Nesselsucht) sind häufig. Selten Meningismus und Verwirrtheit.
Zur Nomenklatur der Häufigkeiten siehe Nebenwirkung.
Handelsnamen
Biltricide (D), Cesol (D), Cysticide (D)
- Tiermedizin
Anipracit, Aniprazol KH, Band-ex, Bihelminth, Broadline, Caniquantel, Cestocur, Docatel, Dolpac, Droncit, Drontal, Equest Pramox, Equimax, Eqvalan duo, Fenprasel, Fenquantel, Furexel Combi, Milbactor, Milbemax, Nexgard Combo, Plerion, Prazifen-Kombi, Prazinex, Praziquasel, Profender, Professional Tremazol, Strantel, Tremazol, Vermis-Ex, VetBancid
Weblinks
- Eintrag zu Praziquantel bei Vetpharm, abgerufen am 11. August 2012.
Einzelnachweise
- ↑ a b Eintrag PRAZIQUANTEL CRS beim Europäisches Direktorat für die Qualität von Arzneimitteln (EDQM), abgerufen am 26. Juli 2008.
- ↑ a b c d Y. Liu, X. Wang, J.-K. Wang, C. B. Ching: Structural Characterization and Enantioseparation of the Chiral Compound Praziquantel. In: J Pharm Sci. 93, 2004, S. 3039–3046. doi:10.1002/jps.20211.
- ↑ a b c d e f g Y. Liu, X. Wang, J.-K. Wang, C. B. Ching: Investigation of the Phase Diagrams of Chiral Praziquantel. In: Chirality. 18, 2006, S. 259–264. doi:10.1002/chir.20251.
- ↑ a b Eintrag zu Praziquantel in der ChemIDplus-Datenbank der United States National Library of Medicine (NLM) (Seite nicht mehr abrufbar)
- ↑ Datenblatt Praziquantel bei Sigma-Aldrich, abgerufen am 9. Mai 2017 (PDF).
- ↑ a b c A. Klemmann, J. Engel, B. Kutscher, D. Reichert: Pharmaceutical Substances. 4. Auflage. Thieme-Verlag, Stuttgart 2000, ISBN 1-58890-031-2.
- ↑ Fachinformation Biltricide® 600mg Filmtbl. In: Gelbe Liste. August 2013, abgerufen am 28. Oktober 2016: „Datum der Erteilung der Zulassung: 23. Mai 1980“
- ↑ Patent DE2457971: Verfahren zur herstellung von 2-acyl4-oxo-pyrazino-isochinolin-derivaten. Veröffentlicht am 10. Juni 1976, Erfinder: J. Seubert.
- ↑ Peter Andrews, Herbert Thomas, Rolf Pohlke, Jürgen Seubert: Praziquantel. In: Medicinal Research Reviews. Band 3, Nr. 2, 1983, S. 147–200, doi:10.1002/med.2610030204.
- ↑ Bee-Gim Lim, Chi-Bun Ching, Reginald B. H. Tan, Siu-Choon Ng: Recovery of (−)-praziquantel from racemic mixtures by continuous chromatography and crystallisation. In: Chemical Engineering Science. Band 50, Nr. 14, 1995, S. 2289–2298, doi:10.1016/0009-2509(95)00082-G.
- ↑ M. Kuhnert–Brandstätter, M. Geiler, I. Wurian: Beitrag zur mikroskopischen Charakterisierung und Identifizierung von Arzneimitteln unter Einbeziehungder UV–Spektroskopie. In: Sci. Pharm. 51, 1983, S. 34–41.
- ↑ a b J. Seubert, R. Pohlke, F. Loebich: Synthesis and properties of praziquantel, a novel broad spectrum anthelmintic with excellent activity against Schistosomes and Cestodes. In: Experientia. Band 33, Nr. 8, S. 1036–1037, doi:10.1007/BF01945954.
- ↑ Thorsten Meyer, Harald Sekljic, Stefan Fuchs, Heiko Bothe, Dieter Schollmeyer, Christian Miculka: Taste, A New Incentive to Switch to (R)-Praziquantel in Schistosomiasis Treatment. In: PLoS Neglected Tropical Diseases. Band 3, Nr. 1, 2009, S. e357, doi:10.1371/journal.pntd.0000357.
- ↑ Andrew J. Mitchell, Melissa S. Hobbs: The Acute Toxicity of Praziquantel to Grass Carp and Golden Shiners. In: North American Journal of Aquaculture. Band 69, Nr. 3, 2007, S. 203–206, doi:10.1577/A06-056.1.
- ↑ A. George, P. Sparrow: Toxic Treatments in Aquaculture – (II) Praziquantel and its Impact on Goldfish in Baitproduction. In: J Fish Toxic Biochem. (4), 2005, S. 322–335.
- ↑ a b Zugelassene Anthelmintika für Hunde und Katzen. (PDF) European Scientific Counsel Companion Animal Parasites (ESCCAP), 26. November 2014, abgerufen am 9. März 2023.
- ↑ ava: Merck Serono will Bilharziose ausrotten. In: Ärzte Zeitung. 30. Januar 2012.
- ↑ eb: Merck KGaA unterstützt Kampf gegen Bilharziose. In: Ärzte Zeitung. 15. Dezember 2011.
- ↑ Merck und WHO beschließen Partnerschaft. In: Ärzte Zeitung. 26. April 2007.
- ↑ Merck KGaA und WHO beschließen Partnerschaft zur Bekämpfung der Bilharziose in Afrika. In: chemie.de. 23. April 2007, abgerufen am 14. Januar 2023.
- ↑ Merck verzehnfacht Tablettenspende, um Bilharziose auszurotten, Merck Serono GmbH, Pressemitteilung - lifePR. Life PR, 30. Januar 2012, abgerufen am 14. Januar 2023.
- ↑ Zanzibar: gearing up to eliminate schistosomiasis. Bei: who.int vom 7. März 2012.
- ↑ R. Liu, H. F. Dong u. a.: Efficacy of praziquantel and artemisinin derivatives for the treatment and prevention of human schistosomiasis: a systematic review and meta-analysis. In: Parasites & vectors. Band 4, 2011, S. 201, doi:10.1186/1756-3305-4-201. PMID 22004571. PMC 3207908 (freier Volltext).
