Potenzmenge

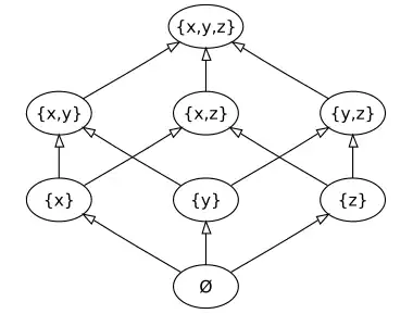
Die Potenzmenge von {x, y, z}, dargestellt als Hasse-Diagramm.

Als Potenzmenge bezeichnet man in der Mengenlehre die Menge aller Teilmengen einer gegebenen Grundmenge.

Man notiert die Potenzmenge einer Menge meist als . Das Wesen der Potenzmenge wurde schon von Ernst Zermelo untersucht. Der kompakte Begriff „Potenzmenge“ hingegen – der sich in dem Zusammenhang mit der arithmetischen Potenz anbietet – wurde auch von Gerhard Hessenberg in seinem Lehrbuch von 1906 noch nicht benutzt; er verwendet dafür die Wortverbindung „Menge der Teilmengen“.

Definition

Die Potenzmenge einer Menge ist eine neue Menge, die aus allen Teilmengen von besteht. Die Potenzmenge ist also ein Mengensystem, das heißt, eine Menge, deren Elemente selbst Mengen sind. In Formelschreibweise lautet die Definition einer Potenzmenge

.

Dabei ist zu beachten, dass auch die leere Menge und die Menge Teilmengen von sind, also Elemente der Potenzmenge . Andere gebräuchliche Notationen für die Potenzmenge sind und .

Beispiele

Strukturen auf der Potenzmenge

Partielle Ordnung

Die Inklusionsrelation ist eine Halbordnung auf (und keine Totalordnung, wenn mindestens zwei Elemente hat). Das kleinste Element der Ordnung ist , das größte Element ist .

Vollständiger Verband

Die Halbordnung ist ein vollständiger Verband. Dies bedeutet, dass es zu jeder Teilmenge von ein Infimum und ein Supremum (in ) gibt. Konkret ist für eine Menge das Infimum von gleich dem Durchschnitt der Elemente von , und das Supremum von ist gleich der Vereinigung der Elemente von , also

Das größte und das kleinste Element erhält man als Infimum bzw. Supremum der leeren Menge, also

Boolescher Verband

Zieht man noch die Komplementabbildung heran, ist ein boolescher Verband, also ein distributiver und komplementärer Verband.

Kommutativer Ring

Jeder boolesche Verband induziert eindeutig eine kommutative Ringstruktur, den sogenannten booleschen Ring. Hier auf ist die Ringaddition gegeben durch die symmetrische Differenz von Mengen, die Ringmultiplikation ist der Durchschnitt. Die leere Menge ist neutral für die Addition und ist neutral für die Multiplikation.

Charakteristische Funktionen

Jeder Teilmenge kann man die charakteristische Funktion zuordnen, wobei gilt

Diese Zuordnung ist eine Bijektion zwischen und (wobei die Notation für die Menge aller Funktionen von nach benutzt wird). Dies motiviert für auch die Schreibweise , denn in von Neumanns Modell der natürlichen Zahlen ist (allgemein: ).

Die Korrespondenz ist zunächst eine reine Bijektion, lässt sich aber leicht als Isomorphismus bezüglich jeder der oben betrachteten Strukturen auf der Potenzmenge nachweisen.

Die Größe der Potenzmenge (Kardinalität)

bezeichnet die Mächtigkeit einer Menge .

  • Für endliche Mengen gilt: .
  • Stets gilt der Satz von Cantor: .

Der Übergang zur Potenzmenge liefert also immer eine größere Mächtigkeit. Analog zu endlichen Mengen schreibt man auch für die Mächtigkeit der Potenzmenge einer unendlichen Menge . Die verallgemeinerte Kontinuumshypothese (GCH) besagt für unendliche Mengen , dass die nach nächstgrößere Mächtigkeit ist:

Beschränkung auf kleinere Teilmengen

Mit wird von manchen Autoren die Menge derjenigen Teilmengen von bezeichnet, die weniger als Elemente enthalten. Beispielsweise wäre dann : Die Menge selbst fehlt, da sie nicht weniger als Elemente hat. Andere Autoren verstehen unter jedoch auch die Menge der Teilmengen von , die genau die Mächtigkeit haben.[1] In diesem Fall wäre . Für letztere Variante ist auch die Schreibweise gebräuchlich.[2]

Potenzklasse

Der Begriff der Potenzmenge lässt sich auf Klassen erweitern, wobei zu beachten ist, dass echte Klassen nicht auf der linken Seite der Enthaltenseins-Relation stehen können. Die Potenz (Potenzklasse) einer Klasse K ist gegeben durch die Klasse aller Mengen, deren Elemente alle in K enthalten sind. Die Elemente der Potenzklasse von K sind also die Teilmengen von K. Die Potenz einer echten Klasse K ist wieder eine echte Klasse, denn sie enthält die Einermengen {x} zu allen Elementen x von K. Sie enthält immer die Leermenge ∅, aber nicht die echte Klasse K selbst.

Ist die Allklasse, gilt mit diesen Begrifflichkeiten ganz offenbar , und das Prinzip der Epsilon-Induktion lässt sich kompakt darstellen als die Forderung, dass die einzige Klasse mit dieser Eigenschaft ist: Ist eine beliebige Klasse, gilt

.

Sonstiges

  • Die Existenz der Potenzmenge zu jeder Menge wird in der Zermelo-Fraenkel-Mengenlehre als eigenes Axiom gefordert, nämlich durch das Potenzmengenaxiom.
  • Ein Mengensystem wie beispielsweise eine Topologie oder eine σ-Algebra über einer Grundmenge ist eine Teilmenge der Potenzmenge , also ein Element von .

Literatur

  • Oliver Deiser: Einführung in die Mengenlehre. Die Mengenlehre Georg Cantors und ihre Axiomatisierung durch Ernst Zermelo. 2., verbesserte und erweiterte Auflage. Springer, Berlin u. a. 2004, ISBN 3-540-20401-6.
Wikibooks: Beweisarchiv: Mengenlehre – Lern- und Lehrmaterialien
Wiktionary: Potenzmenge – Bedeutungserklärungen, Wortherkunft, Synonyme, Übersetzungen

Einzelnachweise

  1. Heinz Lüneburg: Kombinatorik. Basel 1971, S. 7.
  2. Konrad Jacobs & Dieter Jungnickel: Einführung in die Kombinatorik. Berlin 2004, S. 2.