Ponzio-Reaktion
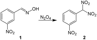
Die Ponzio-Reaktion ist in der Chemie eine Synthesemethode zur Herstellung von 3-Nitro-(2-dinitromethyl)-benzol 2 aus dem Oxim 1 des 3-Nitrobenzaldehyds. Dazu wird 1 mit Distickstofftetroxid umgesetzt:[1][2]

Die Trinitroverbindung 2 ist ein TNT-artiger Sprengstoff.[3] Die Reaktion ist nach ihrem Entdecker, dem italienischen Chemiker Giacomo Ponzio (1870–1945) benannt.
Einzelnachweise
- ↑ Giacomo Ponzio: Einwirkung von Stickstofftetroxyd auf Benzaldoxim. In: J. Prakt. Chem. Band 73, 1906, S. 494, doi:10.1002/prac.19060730133.
- ↑ The Merck Index: An Encyclopedia of Chemicals, Drugs, and Biologicals. 9. Auflage. Merck & Co., Whitehouse Station, NJ, USA 1976, ISBN 0-911910-26-3, S. ONR-71.
- ↑ Louis F. Fieser, William von E. Doering: Aromatic-Aliphatic Nitro Compounds. III. The Ponzio Reaction; 2,4,6-Trinitrobenzyl Nitrate. In: J. Am. Chem. Soc. Band 68, Nr. 11, 1946, S. 2252, doi:10.1021/ja01215a040.