Phentermin
| Strukturformel | |||||||||||||||||||
|---|---|---|---|---|---|---|---|---|---|---|---|---|---|---|---|---|---|---|---|
| |||||||||||||||||||
| Allgemeines | |||||||||||||||||||
| Freiname | Phentermin | ||||||||||||||||||
| Andere Namen |
2-Methyl-1-phenyl-propan-2-amin | ||||||||||||||||||
| Summenformel | C10H15N | ||||||||||||||||||
| Kurzbeschreibung | |||||||||||||||||||
| Externe Identifikatoren/Datenbanken | |||||||||||||||||||
| |||||||||||||||||||
| Arzneistoffangaben | |||||||||||||||||||
| ATC-Code |
A08AA01 | ||||||||||||||||||
| Wirkstoffklasse | |||||||||||||||||||
| Eigenschaften | |||||||||||||||||||
| Molare Masse | 149,23 g·mol−1 | ||||||||||||||||||
| Aggregatzustand |
fest | ||||||||||||||||||
| Schmelzpunkt | |||||||||||||||||||
| Siedepunkt | |||||||||||||||||||
| pKS-Wert |
10,23[3] | ||||||||||||||||||
| Sicherheitshinweise | |||||||||||||||||||
| |||||||||||||||||||
| Toxikologische Daten | |||||||||||||||||||
| Wenn nicht anders vermerkt, gelten die angegebenen Daten bei Standardbedingungen (0 °C, 1000 hPa). | |||||||||||||||||||
Phentermin ist ein Phenylalkylamin, das als Appetitzügler und Psychostimulans Verwendung findet.
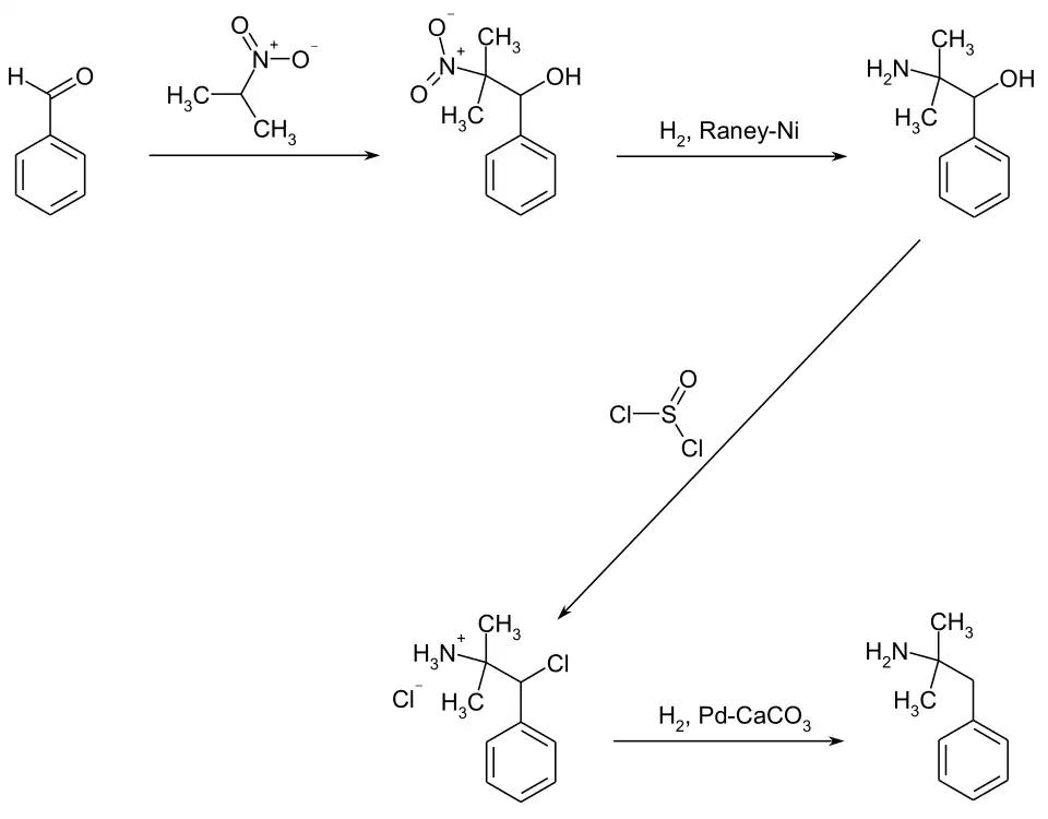
Darstellung und Gewinnung
Die Herstellung von Phentermin erfolgt in vier Schritten.[6][7] Die Synthese geht vom Benzaldehyd aus, an das im ersten Schritt im Sinne einer Henry-Reaktion 2-Nitropropan addiert wird. Das resultierende 2-Methyl-2-nitro-1-phenyl-1-propanol wird dann über Raney-Nickel zum Amin hydriert. Mittels Thionylchlorid erfolgt im dritten Schritt die nucleophile Substitution der OH-Gruppe zum 2-Amino-2-methyl-1-phenylpropylchlorid. Die Zielverbindung wird im letzten Schritt durch eine palladium-katalysierte Hydrierung erhalten.

Pharmakologie
Bei Phentermin handelt es sich um ein Amphetamin-Derivat, dessen Wirkungsmechanismus auf der Beeinflussung von Neurotransmittern im menschlichen Gehirn beruht. Es stimuliert Neuronenbündel zur Abgabe von Katecholaminen, einschließlich Dopamin, Adrenalin (Epinephrin) und Norepinephrin. Der Wirkungsmechanismus entspricht dem von anderen Appetitzüglern, wie Diethylpropion und Phendimetrazin. Dabei wird das Hungersignal teilweise unterdrückt, allerdings schwächt sich diese Wirkung bei fortgesetzter Anwendung nach wenigen Wochen ab. Phentermin kann, ähnlich wie Amphetamine, eine psychische Abhängigkeit hervorrufen und ist suchtgefährdend.
Zulassung
In Deutschland ist Phentermin bereits seit Anfang der 1970er Jahre nicht mehr zugelassen. Der Wirkstoff ist Bestandteil des in den USA vor allem zu dieser Zeit vertriebenen Appetithemmers Fen-Phen, einer Kombination aus Phentermin und Fenfluramin, der dafür verantwortlich gemacht wird, dass es bei einigen Probanden zu Herzklappenveränderungen kam. Aufgrund dieser Vorfälle wurde das dafür verantwortlich gemachte Fenfluramin gänzlich vom US-Markt genommen.[8] Mittlerweile sind hinsichtlich dieses Medikaments in den USA Tausende von Klagen aus Produkthaftung anhängig.
Seit 2012 ist Phentermin in Verbindung mit dem Wirkstoff Topiramat auf dem amerikanischen Markt unter der Marke Qsymia als Appetithemmer zur Behandlung von Adipositas zugelassen.[9] Die Europäische Arzneimittel-Agentur stuft das Risiko des Präparats auch nach einer Reevaluation immer noch höher ein als den möglichen Nutzen, weswegen eine Zulassung nicht erfolgte.[10]
Trivia
Bubba Smith, bekannt aus der Police-Academy-Filmreihe, starb am 3. August 2011 an einer Überdosis Phentermin. Der Schauspieler hatte das Arzneimittel trotz bestehender Herzprobleme und Bluthochdrucks eingenommen.[11]
Einzelnachweise
- ↑ a b c d Eintrag zu Phentermin. In: Römpp Online. Georg Thieme Verlag, abgerufen am 26. Oktober 2014.
- ↑ Externe Identifikatoren von bzw. Datenbank-Links zu Phentermin-Hydrochlorid: CAS-Nr.: 1197-21-3, EG-Nr.: 214-821-9, ECHA-InfoCard: 100.013.474, PubChem: 70969, ChemSpider: 64130, Wikidata: Q19885635.
- ↑ I. Canals, K. Valkó, E. Bosch, A. P. Hill, M. Rosés: Retention of Ionizable Compounds on HPLC. 8. Influence of Mobile-Phase pH Change on the Chromatographic Retention of Acids and Bases during Gradient Elution. In: Analytical Chemistry, 2001, 73, S. 4937–4945; doi:10.1021/ac0101454.
- ↑ a b Datenblatt Phentermine hydrochloride bei Sigma-Aldrich, abgerufen am 19. April 2011 (PDF).
- ↑ Eintrag zu Phentermine in der ChemIDplus-Datenbank der United States National Library of Medicine (NLM) (Seite nicht mehr abrufbar)
- ↑ a b c d e A. Kleemann, J. Engel, B. Kutscher, D. Reichert: Pharmaceutical Substances – Synthesis, Patents, Applications, 4. Auflage (2000), Thieme-Verlag Stuttgart, ISBN 978-1-58890-031-9.
- ↑ Patent US2408345 (Marrell 1946).
- ↑ Data analysis prompted withdrawal of fenfluramine/dexfenfluramine. In: Inpharma Weekly. Band 1107, Nr. 1, 1. Oktober 1997, S. 21–21, doi:10.2165/00128413-199711070-00045.
- ↑ FDA approves weight-management drug Qsymia. FDA, Press Announcements.
- ↑ Refusal of the marketing authorisation for Qsiva (phentermine / topiramate). (PDF; 107 kB) ema.europa.eu
- ↑ «Police Academy»-Star: «Hightower» starb an Überdosis Diät-Pillen. blick.ch
