Peroxycarbonsäuren

Als Peroxycarbonsäuren – auch Persäuren genannt – bezeichnet man Vertreter einer Stoffgruppe organischer Verbindungen, die eine Peroxycarboxylgruppe (Peroxycarbonsäurengruppe) als funktionelle Gruppe enthalten. Alle Peroxycarbonsäuren enthalten eine freie Hydroperoxidgruppe (HOO-Gruppe) und können deshalb als Acyl-Hydroperoxide aufgefasst werden.
Herstellung
Peroxycarbonsäuren werden aus Carbonsäuren und Wasserstoffperoxid dargestellt (Rückreaktion Gleichung 2 unter Reaktionen). Vergleichsweise starke Säuren wie Ameisensäure oder Trifluoressigsäure reagieren selbstständig zu den entsprechenden Persäuren. Bei anderen ist eine saure Katalyse mit einer Mineralsäure oder para-Toluolsulfonsäure nötig.[1] Auch die Umsetzung von Carbonsäureanhydriden oder Carbonsäurechloriden ergibt Persäuren.[2] Beispielsweise kann meta-Chlorperbenzoesäure durch Reaktion von meta-Chlorbenzoylchlorid mit Wasserstoffperoxid erzeugt werden.[3] Peroxycarbonsäuren entstehen bei geeigneten Bedingungen auch bei der Oxidation von Aldehyden.[4]
.svg.png)

Im industriellen Bereich kommen sowohl die Umsetzung von Carbonsäuren, Carbonsäurechloriden und Carbonsäureanhydriden als auch die Luftoxidation von Aldehyden zum Einsatz.[5]
Eigenschaften
Wie die meisten Peroxide, sind die Peroxycarbonsäuren in reiner oder hochkonzentrierter Form explosiv. Mit steigender Kettenlänge sinkt die Explosionsfähigkeit. Kurzkettige aliphatische Peroxycarbonsäuren wie Peroxyessigsäure sind wasserlöslich, langkettige jedoch in Wasser praktisch unlöslich. Kurzkettige Persäuren haben einen aufdringlichen und unangenehmen Geruch.[5] Peroxycarbonsäuren verhalten sich als Säuren, sind aber deutlich schwächer als die entsprechenden Carbonsäuren.[1] Dies liegt an der fehlenden Resonanzstabilisierung des Anions, das durch Deprotonierung einer Persäure entsteht.[5]
Reaktionen

Persäuren können sich leicht thermisch zersetzen, wobei zwei Reaktionswege auftreten. Die radikalische Decaboxylierung tritt in Abwesenheit von Sauerstoff und Radikalfängern auf, wird durch Schwermetallionen katalysiert und führt zu einem Alkohol. Daneben tritt auch die pericyclische Reaktion zu einer Carbonsäure unter Freisetzung von Sauerstoff auf.[5]
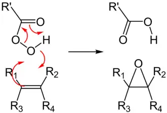
Alkene werden durch Peroxycarbonsäuren zu Epoxiden umgesetzt (Prileschajew-Reaktion). Neben dem Epoxid entsteht eine Carbonsäure.[6] Häufig wird als Peroxycarbonsäure meta-Chlorperbenzoesäure (mCPBA) eingesetzt. Andere Peroxycarbonsäuren, die zur Epoxidierung eingesetzt werden können, sind Peroxyessigsäure, Peroxybenzoesäure und Peroxytrifluoressigsäure.[7] In vielen Fällen kann dabei die Persäure in situ erzeugt werden, indem das Edukt für die Oxidation in einer passenden Carbonsäure gelöst und dann Wasserstoffperoxid zugegeben wird.[2] Bei längeren Reaktionszeiten oder bei Erhitzen können erhaltene Epoxide zu Glycolen weiterreagieren. Für deren Herstellung wird insbesondere Peressigsäure verwendet.[8]
Die Oxidation von Aldehyden mit Persäuren führt zu Carbonsäuren, im Allgemeinen in guten Ausbeuten.[9] Peroxycarbonsäuren dienen auch als Oxidationsmittel bei Baeyer-Villiger-Oxidationen von Ketonen zu Carbonsäureestern. Dafür eignen sich beispielsweise Peressigsäure und Perbenzoesäure. Besonders gute Ergebnisse können mit Peroxytrifluoressigsäure erzielt werden.[10]
Die Oxidation von organischen Sulfiden mit Persäuren liefert im Allgemeinen gute Ausbeuten. Dabei werden je nach Reaktionsbedingungen entweder Sulfoxide oder Sulfone erhalten.[11] Die Oxidation primärer Amine ergibt je nach Reaktionsbedingungen Nitrosoverbindungen, Nitroverbindungen, Azoverbindungen oder Azoxyverbindungen. So können je nach Bedingungen aus Anilin in guter Ausbeute entweder Nitrosobenzol oder Azoxybenzol erhalten werden. Ausgehend von Azoverbindungen werden bei der Reaktion mit Persäuren (vor allem Peressigsäure) unter milden Bedingungen und in guten Ausbeuten Azoxyverbindungen erhalten. Tertiäre Amine können mit Persäuren (vor allem Perbenzoesäure) in die entsprechenden Amin-N-oxide überführt werden.[12] Die Oxidation von Organoiodverbindungen ergibt hypervalente Iodverbindungen. Beispielsweise kann Iodbenzol mit Peroxyessigsäure zu Iodbenzoldiacetat umgesetzt werden.[13]
Verwendung
Persäuren werden insbesondere als Bleichmittel und Desinfektionsmittel eingesetzt. Daneben kommen sie auch in organischen Synthesen (Epoxidierung, Baeyer-Villiger-Reaktionen, siehe Abschnitt Reaktionen) zum Einsatz. Im Gegensatz zu den meisten anderen Klassen organischer Peroxy-Verbindungen werden Persäuren kaum als Radikalstarter für Polymerisationen verwendet. Die industriell wichtigste Persäure ist Peressigsäure.[5]
Bleichmittel
Persäuren werden beim Waschen aus in Waschmitteln enthaltenen Vorläufern (sogenannten Aktivatoren) gebildet, was die Bleichwirkung gegenüber reinem Natriumperborat vor allem bei niedrigeren Temperaturen deutlich steigert. Die meistgenutzte solche Verbindung in Europa ist Tetraacetylethylendiamin (TAED), das beim Waschen Peroxyessigsäure freisetzt. Natriumnonanoyloxybenzolsulfonat (NOBS), das Peroxynonansäure freisetzt, ist der meistverwendete Aktivator in Amerika und Asien. Zusammen mit TAED macht es etwa 98 % des weltweiten Marktes aus. Von geringerer Bedeutung sind Natriumlauroyloxybenzolsulfonat (LOBS, setzt Peroxylaurinsäure frei) und 4-Decanoyloxybenzoesäure (DOBA, setzt Peroxydecansäure frei), die insbesondere in Japan vermarktet werden.[14]
Peroxycarbonsäuren sind Bleichmittel und finden weltweit Anwendung, insbesondere zur Zahnaufhellung. Sie werden in verschiedenen Konzentrationen in der Zahnmedizin verwendet, um Zähne effektiv zu bleichen. Für den Heimgebrauch sind niedrigere Konzentrationen üblich. Peroxycarbonsäuren sind im Vergleich zu Wasserstoffperoxid sind in Europa gemäß Verordnung (EG) Nr. 1223/2009 des Europäischen Parlaments als Kosmetika zugelassen.[15]
Desinfektion und Sterilisation
Insbesonder Peroxyessigsäure wird in verdünnter Lösung als Desinfektions- und Sterilisierungsmittel verwendet, unter anderem im medizinischen und Lebensmittelbereich.[16] Dazu gehört die Entkeimung von Obst und Gemüse.[17] Ein weiterer Anwendungsbereich von Peressigsäure – und in geringerem Umfang von anderen Persäuren – ist die Wasseraufbereitung.[18]
Weblinks
Einzelnachweise
- ↑ a b Michael Smith: Organic Synthesis. Elsevier, 2024, ISBN 978-0-443-15868-1, S. 274 (google.de [abgerufen am 17. Mai 2025]).
- ↑ a b Daniel. Swern: Organic Peracids. In: Chemical Reviews. Band 45, Nr. 1, 1. August 1949, S. 3, doi:10.1021/cr60140a001.
- ↑ m-CHLOROPERBENZOIC ACID. In: Organic Syntheses. Band 50, 1970, S. 15, doi:10.15227/orgsyn.050.0015.
- ↑ Mohamed S. H. Salem, Carla Dubois, Yuya Takamura, Atsuhito Kitajima, Takuma Kawai, Shinobu Takizawa, Masayuki Kirihara: Light-induced autoxidation of aldehydes to peracids and carboxylic acids. In: Green Chemistry. Band 26, Nr. 1, 2024, S. 375–383, doi:10.1039/D3GC02951D.
- ↑ a b c d e Ullmann's Encyclopedia of Industrial Chemistry. 1. Auflage. Wiley, 2003, ISBN 978-3-527-30385-4, doi:10.1002/14356007.a19_199.
- ↑ Reaktion und Mechanismus in der organischen Chemie. Springer-Verlag, 2013, ISBN 978-3-322-94724-6, S. 176.
- ↑ Francis A. Carey, Richard J. Sundberg: Advanced Organic Chemistry: Part B: Reaction and Synthesis. Springer, 2006, ISBN 978-0-306-47380-7.
- ↑ Daniel. Swern: Organic Peracids. In: Chemical Reviews. Band 45, Nr. 1, 1. August 1949, S. 26–27, doi:10.1021/cr60140a001.
- ↑ Daniel. Swern: Organic Peracids. In: Chemical Reviews. Band 45, Nr. 1, 1. August 1949, S. 38–41, doi:10.1021/cr60140a001.
- ↑ William D. Emmons, George B. Lucas: Peroxytrifluoroacetic Acid. V. The Oxidation of Ketones to Esters 1. In: Journal of the American Chemical Society. Band 77, Nr. 8, April 1955, S. 2287–2288, doi:10.1021/ja01613a077.
- ↑ Daniel. Swern: Organic Peracids. In: Chemical Reviews. Band 45, Nr. 1, 1. August 1949, S. 33–34, doi:10.1021/cr60140a001.
- ↑ Daniel. Swern: Organic Peracids. In: Chemical Reviews. Band 45, Nr. 1, 1. August 1949, S. 34–38, doi:10.1021/cr60140a001.
- ↑ Daniel. Swern: Organic Peracids. In: Chemical Reviews. Band 45, Nr. 1, 1. August 1949, S. 42, doi:10.1021/cr60140a001.
- ↑ Giulia O. Bianchetti, Carolyn L. Devlin, Kenneth R. Seddon: Bleaching systems in domestic laundry detergents: a review. In: RSC Advances. Band 5, Nr. 80, 2015, S. 65365–65384, doi:10.1039/C5RA05328E.
- ↑ Verordnung (EG) Nr. 1223/2009 des Europäischen Parlaments und des Rates vom 30. November 2009 über kosmetische Mittel (Neufassung) (Text von Bedeutung für den EWR). 30. November 2009 (europa.eu [abgerufen am 4. Juni 2024]).
- ↑ Andrea Hartwig, MAK Commission: Peroxyessigsäure: MAK-Begründung – Nachtrag. In: The MAK Collection for Occupational Health and Safety. Band 6, Nr. 3, 2021, doi:10.34865/MB7921D6_3AD.
- ↑ Juan Eugenio Alvaro, Soraya Moreno, Fernando Dianez, Milagrosa Santos, Gilda Carrasco, Miguel Urrestarazu: Effects of peracetic acid disinfectant on the postharvest of some fresh vegetables. In: Journal of Food Engineering. Band 95, Nr. 1, November 2009, S. 11–15, doi:10.1016/j.jfoodeng.2009.05.003.
- ↑ Tero Luukkonen, Simo O. and Pehkonen: Peracids in water treatment: A critical review. In: Critical Reviews in Environmental Science and Technology. Band 47, Nr. 1, 2. Januar 2017, S. 1–39, doi:10.1080/10643389.2016.1272343.