Natriumphenolat
| Strukturformel | ||||||||||||||||
|---|---|---|---|---|---|---|---|---|---|---|---|---|---|---|---|---|
| ||||||||||||||||
| Allgemeines | ||||||||||||||||
| Name | Natriumphenolat | |||||||||||||||
| Andere Namen | ||||||||||||||||
| Summenformel | C6H5NaO | |||||||||||||||
| Kurzbeschreibung |
weißer pulverförmiger Feststoff mit phenolartigem Geruch[2] | |||||||||||||||
| Externe Identifikatoren/Datenbanken | ||||||||||||||||
| ||||||||||||||||
| Eigenschaften | ||||||||||||||||
| Molare Masse | 116,09 g·mol−1 | |||||||||||||||
| Aggregatzustand |
fest[2] | |||||||||||||||
| Schmelzpunkt |
384 °C[2] | |||||||||||||||
| Löslichkeit |
leicht in Wasser (> 300 g·l−1 bei 20 °C)[2] | |||||||||||||||
| Sicherheitshinweise | ||||||||||||||||
| ||||||||||||||||
| Wenn nicht anders vermerkt, gelten die angegebenen Daten bei Standardbedingungen (0 °C, 1000 hPa). | ||||||||||||||||
Natriumphenolat ist das Natriumsalz von Phenol. Es entsteht durch die Umsetzung von Phenol mit Natronlauge.
Verwendung
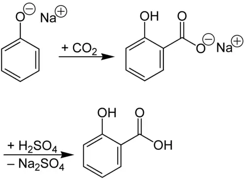
Natriumphenolat wird für die Darstellung von Salicylsäure mittels Kolbe-Schmitt-Reaktion verwendet. Dazu wird es mit Kohlendioxid unter Druck erhitzt und das entstehende Natriumsalicylat mit Schwefelsäure umgesetzt:[3]

Einzelnachweise
- ↑ Eintrag zu SODIUM PHENOXIDE in der CosIng-Datenbank der EU-Kommission, abgerufen am 23. Oktober 2021.
- ↑ a b c d e f Eintrag zu Natriumphenolat in der GESTIS-Stoffdatenbank des IFA, abgerufen am 8. Januar 2020. (JavaScript erforderlich)
- ↑ Hans Beyer, Wittko Francke, Wolfgang Walter: Lehrbuch der organischen Chemie. 24. Auflage. Hirzel, Stuttgart Leipzig 2004, ISBN 978-3-7776-1221-8, S. 591.

