N,O-Dimethylhydroxylamin
| Strukturformel | |||||||||||||||||||
|---|---|---|---|---|---|---|---|---|---|---|---|---|---|---|---|---|---|---|---|
| |||||||||||||||||||
| Allgemeines | |||||||||||||||||||
| Name | N,O-Dimethylhydroxylamin | ||||||||||||||||||
| Andere Namen |
Methoxymethylamin | ||||||||||||||||||
| Summenformel | CH3ONHCH3 | ||||||||||||||||||
| Kurzbeschreibung |
beiger Feststoff (Hydrochlorid)[1] | ||||||||||||||||||
| Externe Identifikatoren/Datenbanken | |||||||||||||||||||
| |||||||||||||||||||
| Eigenschaften | |||||||||||||||||||
| Molare Masse | 61,08 g·mol−1 | ||||||||||||||||||
| Aggregatzustand | |||||||||||||||||||
| Dichte |
0,89 g·cm−3[3] | ||||||||||||||||||
| Schmelzpunkt | |||||||||||||||||||
| Siedepunkt |
42,4 °C[2] | ||||||||||||||||||
| Brechungsindex |
1,4152 (bei 25 °C)[3] | ||||||||||||||||||
| Sicherheitshinweise | |||||||||||||||||||
| |||||||||||||||||||
| Wenn nicht anders vermerkt, gelten die angegebenen Daten bei Standardbedingungen (0 °C, 1000 hPa). Brechungsindex: Na-D-Linie, 20 °C | |||||||||||||||||||
N,O-Dimethylhydroxylamin ist eine chemische Verbindung aus der Gruppe der Amine. Es leitet sich als methylgruppensubstituiertes Derivat vom Hydroxylamin ab.
Darstellung und Gewinnung
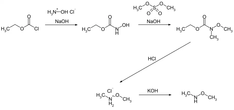
Die Synthese der Verbindung startet mit der Umsetzung von Ethylchlorformiat mit Hydroxylaminhydrochlorid und anschließender Methylierung mit Dimethylsulfat. Die resultierende Zwischenverbindung ergibt durch eine Hydrolyse in Gegenwart von konzentrierter Salzsäure die Zielverbindung als Hydrochlorid. Das freie N,O-Dimethylhydroxylamin kann durch die Umsetzung mit Kalilauge und anschließende Destillation gewonnen werden.[4]

Verwendung
N,O-Dimethylhydroxylamin wird als Reagenz zur Herstellung von Weinreb-Amiden bei der Weinreb-Amid-Ketonsynthese verwendet.[1]
Einzelnachweise
- ↑ a b c d e Datenblatt N,O-Dimethylhydroxylamin e, 98 % bei Sigma-Aldrich, abgerufen am 3. März 2015 (PDF).
- ↑ a b William M. Haynes: CRC Handbook of Chemistry and Physics, 95th Edition:. CRC Press, 2014, ISBN 978-1-4822-0867-2, S. 350 (eingeschränkte Vorschau in der Google-Buchsuche).
- ↑ a b Carl L. Yaws: The Yaws Handbook of Physical Properties for Hydrocarbons and Chemicals: Physical Properties for More Than 54,000 Organic and Inorganic Chemical Compounds, Coverage for C1 to C100 Organics and Ac to Zr Inorganics. Gulf Professional Publishing, 2015, ISBN 978-0-12-801146-1, S. 19 (eingeschränkte Vorschau in der Google-Buchsuche).
- ↑ a b c e-EROS Encyclopedia of Reagents for Organic Synthesis, 1999–2013, John Wiley and Sons, Inc., Eintrag für N,O-Dimethylhydroxylamine, abgerufen am 16. Oktober 2015.

