Modafinil
| Strukturformel | ||||||||||||||||||||||
|---|---|---|---|---|---|---|---|---|---|---|---|---|---|---|---|---|---|---|---|---|---|---|
| ||||||||||||||||||||||
| 1:1-Gemisch aus (R)-Form (oben) und (S)-Form (unten) | ||||||||||||||||||||||
| Allgemeines | ||||||||||||||||||||||
| Freiname | Modafinil | |||||||||||||||||||||
| Andere Namen | ||||||||||||||||||||||
| Summenformel | C15H15NO2S | |||||||||||||||||||||
| Kurzbeschreibung |
weißes bis fast weißes, kristallines, polymorphes Pulver[1] | |||||||||||||||||||||
| Externe Identifikatoren/Datenbanken | ||||||||||||||||||||||
| ||||||||||||||||||||||
| Arzneistoffangaben | ||||||||||||||||||||||
| ATC-Code |
N06BA07 | |||||||||||||||||||||
| Wirkstoffklasse | ||||||||||||||||||||||
| Wirkmechanismus |
weitgehend unbekannt | |||||||||||||||||||||
| Eigenschaften | ||||||||||||||||||||||
| Molare Masse | 273,35 g·mol−1 | |||||||||||||||||||||
| Dichte | ||||||||||||||||||||||
| Schmelzpunkt | ||||||||||||||||||||||
| Löslichkeit | ||||||||||||||||||||||
| Sicherheitshinweise | ||||||||||||||||||||||
| ||||||||||||||||||||||
| Toxikologische Daten | ||||||||||||||||||||||
| Wenn nicht anders vermerkt, gelten die angegebenen Daten bei Standardbedingungen (0 °C, 1000 hPa). | ||||||||||||||||||||||
Modafinil ist ein Arzneistoff zur Behandlung der Narkolepsie. Es wurde zusammen mit Adrafinil in den 1980er Jahren in Frankreich entwickelt. Die Substanzen gehören zu einer Gruppe wachhaltender psychostimulierender Medikamente, die sich in ihrer Molekülstruktur deutlich von den Amphetaminen unterscheiden.
Modafinil ist der Hauptmetabolit von Adrafinil; Adrafinil stellt somit ein Prodrug von Modafinil dar.[7] Nicht damit zu verwechseln ist Armodafinil, dem (R)-Enantiomer des racemischen Modafinils.
Modafinil wurde bis 2011 ausschließlich von dem ehemaligen Pharmaunternehmen Cephalon (jetzt Teva) vertrieben, ist aber inzwischen auch als Generikum verfügbar.
Anwendungsgebiete und Verschreibungspraxis
Modafinil ist in Deutschland zugelassen zur Behandlung exzessiver Schläfrigkeit, die im Rahmen einer Narkolepsie auftritt.
Die Europäische Arzneimittelagentur (EMA) hat 2011 nach einem Sicherheitsbewertungsverfahren eine Zulassungseinschränkung empfohlen, da für folgende Erkrankungen das Nutzen/Risiko-Verhältnis von Modafinil nicht länger als günstig angesehen wird:[8]
- Mittelschweres bis schweres obstruktives Schlafapnoe-Syndrom (OSAS) mit exzessiver Schläfrigkeit trotz adäquater nCPAP-Therapie,
- Mittelschweres bis schweres chronisches Schichtarbeiter-Syndrom mit exzessiver Schläfrigkeit bei Patienten mit Nachtschicht-Wechsel (SWSD), wenn andere schlafhygienische Maßnahmen zu keiner Besserung geführt haben.
In den USA ist Modafinil hingegen weiterhin zugelassen für die Behandlung der exzessiven Schläfrigkeit, die bei Narkolepsie, beim obstruktiven Schlafapnoe-Syndrom oder beim chronischen Schichtarbeiter-Syndrom auftritt.[9]
Eine Verordnung bei anderen Krankheiten geschieht off-Label (z. B. Myalgische Enzephalomyelitis/Chronisches Fatigue-Syndrom,[10] Multiple Sklerose,[11] ADHS,[12] Depression oder Essstörungen[13]) und wird von den Krankenkassen normalerweise nicht erstattet (Regresshaftung der Ärzte). In Deutschland sind nur wenige Amphetamin-ähnliche bzw. stimulierende Medikamente auf dem Markt und auch eine berauschende Wirkung tritt normalerweise nicht ein. Auch wirkt Modafinil gerade im direkten Vergleich zu illegalen Stimulanzien wie Kokain oder (Meth-)Amphetamin deutlich unterschwelliger,[14] und hat daher auch ein wesentlich geringeres Suchtpotenzial.
Gegenanzeigen und Anwendungsbeschränkungen
Modafinil darf bei anamnestisch bekannten Abhängigkeitserkrankungen nicht angewendet werden. Eine gleichzeitige Behandlung mit Prazosin darf nicht erfolgen.
Modafinil darf nur mit Vorsicht angewendet werden, wenn der Patient an schweren Angstzuständen leidet oder psychotische Vorerkrankungen bekannt sind. Bei schweren Leber- oder Nierenerkrankungen, Bluthochdruck und Herz-Kreislauf-Erkrankungen darf Modafinil ebenfalls nur mit besonderer Vorsicht verwendet werden.[15]
Als Nebenwirkung tritt eine dosisabhängige Erhöhung von Leberfunktionsindikatoren wie der alkalischen Phosphatase und der γ-Glutamyltransferase (GGT) in der Blutanalyse auf, wobei letzteres auch typisch für regelmäßigen Alkoholgenuss wäre.[16]
Modafinil ist nach dem Auftreten von Hautausschlägen sofort abzusetzen, da sonst lebensbedrohliche Überempfindlichkeitsreaktionen auftreten können.[17]
Aufgrund von Fallberichten besteht der Verdacht, dass die Anwendung von Modafinil in der Schwangerschaft zu schweren, angeborenen Fehlbildungen führen kann. Ein spezifisches Fehlbildungsmuster wurde nicht beobachtet, wie der Hersteller in einem Rote-Hand-Brief im Mai 2019 informierte.[18] Während der Schwangerschaft soll Modafinil daher nicht angewendet werden, Patientinnen im gebärfähigen Alter müssen eine zuverlässige Methode zur Schwangerschaftsverhütung anwenden.
Pharmakologie
Wirkungsweise
Der genaue Wirkmechanismus von Modafinil ist nicht bekannt. Ein Teil der Wirkung wird durch einen zentral vermittelten, selektiven α1-Agonismus verursacht.[19] Als gesichert gilt, dass der Wirkstoff die Konzentration bestimmter Neurotransmitter wie z. B. Dopamin, Serotonin oder Noradrenalin erhöht.[20]
Verstoffwechselung
Modafinil wird schnell resorbiert, die maximale Plasmakonzentration wird zwei bis vier Stunden nach der Einnahme erreicht. Der Wirkstoff weist eine mäßige Bindung an Plasmaproteine (ca. 60 %) auf, vor allem an Albumin. Die Plasmahalbwertszeit beträgt bei einmaliger Einnahme 10–12 Stunden, bei fortlaufender Einnahme im Steady-State 15 Stunden. Wirksame Metaboliten sind nicht bekannt.[21]
Synthese
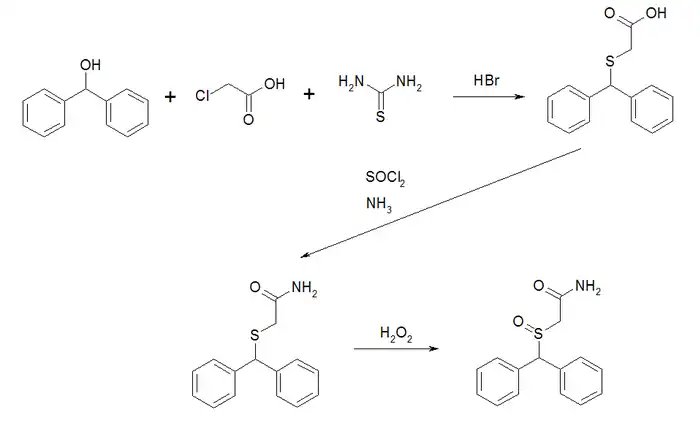
Die Synthese von racemischen Modafinil geht vom Benzhydrol aus, welches mit Chloressigsäure und Thioharnstoff zur 2-(Diphenylmethylthio)-essigsäure umgesetzt wird. Diese wird über das Säurechlorid in das entsprechende Säureamid umgewandelt. Die anschließende Oxidation mit Wasserstoffperoxid ergibt das Sulfoxid.[22] Dabei entsteht das Racemat, eine 1:1-Mischung von (R)-Enantiomer und (S)-Enantiomer des Arzneistoffs.
Die Herstellung von Enantiomeren-reinem Modafinil geht von der racemischen 2-(Diphenylmethylsulfinyl)-essigsäure aus, welche mit (R)-4-Phenyl-thiazolidin-2-thion in Gegenwart von DCC gekuppelt wird. Das resultierende Diastereomerenpaar kann chromatographisch getrennt werden. Enantiomerenreines Modafinil ergibt sich dann durch die Umsetzung der reinen Diastereomeren mit Ammoniakwasser.[4]
Rechtsstatus
In Deutschland wurde Modafinil im März 2008 aus den betäubungsmittelrechtlichen Vorschriften entlassen und in die normale Verschreibungspflicht (Rezeptpflicht) überführt.[23]
In der Schweiz ist Modafinil in die Abgabekategorie A eingestuft, ein Rezept berechtigt somit zum einmaligen Bezug in der Apotheke.
Auch in vielen anderen Ländern ist Modafinil rezeptpflichtig. In den USA unterliegt Modafinil einer Verschreibungspflicht nach einem abgestuften System, das der deutschen Betäubungsmittelverschreibung entspricht. Es wird dort in die niedrigste Kategorie (Schedule) C IV eingestuft.
Adrafinil-haltige Arzneimittel hingegen können in manchen Ländern rezeptfrei gekauft werden. In seiner Wirkung entspricht Adrafinil dem Modafinil, der Effekt setzt jedoch aufgrund der Prodrugwirkung verzögert ein.
Missbrauch
Ähnlich wie Methylphenidat wird es vor Klausuren oder der Arbeit konsumiert, um die Leistungsfähigkeit zu verbessern.[24] In einer placebokontrollierten Studie wurden teilweise positive Effekte auf die kognitive Leistungsfähigkeit bei einer Dosierung von 100–200 mg gefunden.[25]
In den USA stieg der Umsatz mit Provigil (amerikanischer Handelsname von Modafinil) von 196 Millionen Dollar im Jahr 2002 auf 988 Millionen Dollar im Jahr 2008. In Studien gab es Hinweise auf ein Abhängigkeitspotential. Die Langzeitwirkung von Modafinil wurde nicht untersucht; dennoch empfiehlt das US-Militär seinen Soldaten die Einnahme von Provigil vor langen Einsätzen mit hoher Stressbelastung.
Im Sport gilt Modafinil als verbotene Dopingsubstanz. Inzwischen wurden Dopingfälle bekannt. Ein prominenter Fall ist die US-Leichtathletin und Sprint-Weltmeisterin Kelli White.
Gerade im Vergleich zu anderen Neurostimulanzien (v. a. Amphetamin und seine Derivate, ferner auch Kokain), ist das Suchtpotenzial von Modafinil eher gering, auch da bestimmte Suchtmechanismen (wie verstärkte Euphorie) bei Einnahme eher seltener auftreten.[26]
Entwicklung und Vermarktung
Hersteller war Cephalon Frankreich (vormals Laboratoire L.Lafon), der Vertrieb in Deutschland erfolgte durch die Merckle GmbH in Blaubeuren. Von 2002 bis zur Übernahme durch Teva vertrieb die deutsche Tochtergesellschaft der amerikanischen biopharmazeutischen Firma Cephalon das Medikament.
In den USA wurde Modafinil 1993 von Frank Baldino, dem Gründer des Unternehmens Cephalon, lizenziert. 2006 erzielte Cephalon allein mit Modafinil einen Umsatz von 727 Millionen US-Dollar.[27] Im Februar 2007 wurde das Unternehmen von der US-Arzneimittelbehörde (FDA) offiziell abgemahnt wegen rechtswidriger Werbung für die Anwendung von Modafinil in anderen als den zugelassenen Indikationen.[28] Cephalon wurde 2011 vom israelischen Pharmaunternehmen Teva übernommen.
Nach dem Ablauf der Schutzfristen kamen ab 2011 verschiedene Generika-Anbieter hinzu, wie Glenmark Arzneimittel, Heumann Pharma, Aurobindo Pharma und Neuraxpharm Arzneimittel.
Handelsnamen
Vigil (D), Modasomil (A, CH), Provigil (USA), Alertec (CAN), sowie Generika
Weblinks
- Modafinil. In: Erowid. (englisch)
- Gehirn-Doping: Augen geradeaus. Telepolis
Einzelnachweise
- ↑ a b c d Europäische Arzneibuch-Kommission (Hrsg.): Europäische Pharmakopöe 5. Ausgabe. Band 5.0–5.7, 2006.
- ↑ Y. In, K. Tomoo, T. Ishida, Y. Sakamoto: Crystal and Molecular Structure of an (S)-(+)-Enantiomer of Modafinil, a Novel Wake-Promoting Agent. In: Chem. Pharm. Bull. 52, 2004, S. 1186–1189.
- ↑ a b Eintrag zu Modafinil. In: Römpp Online. Georg Thieme Verlag, abgerufen am 30. September 2014.
- ↑ a b A. Osorio-Lozada, T. Prisinzano, F. Olivo: Synthesis and determination of the absolute stereochemistry of the enantiomers of afrafinil and modafinil. In: Tetrahedron:Asymmetry, 15, 2004, S. 3811–3815, doi:10.1016/j.tetasy.2004.10.019.
- ↑ a b c d Physicians’ Desk Reference. 62. Auflage, Thomson Health Care Inc., Montvale NJ 2008, S. 988.
- ↑ a b Datenblatt Modafinil bei Sigma-Aldrich, abgerufen am 18. April 2025 (PDF).
- ↑ Norton W. Milgram et al. (1999): Adrafinil: A Novel Vigilance Promoting Agent. In: CNS Drug Reviews. 5, S. 193. doi:10.1111/j.1527-3458.1999.tb00100.x.
- ↑ Rote-Hand-Brief zu Vigil (Modafinil): Einschränkung der Indikation und wichtige Sicherheitshinweise für die Anwendung, BfArM, 7. Februar 2011.
- ↑ Fachinformation Provigil FDA (PDF; 245 kB).
- ↑ Stephanie L. Grach, Jaime Seltzer, Tony Y. Chon, Ravindra Ganesh: Diagnosis and Management of Myalgic Encephalomyelitis/Chronic Fatigue Syndrome. In: Mayo Clinic Proceedings. Band 98, Nr. 10, Oktober 2023, S. 1550, doi:10.1016/j.mayocp.2023.07.032.
- ↑ Chiara Pinarello, Julia Elmers, Hernán Inojosa, Christian Beste, Tjalf Ziemssen: Management of multiple sclerosis fatigue in the digital age: from assessment to treatment. In: Frontiers in Neuroscience. Band 17, 5. Oktober 2023, S. 5–6, doi:10.3389/fnins.2023.1231321, PMID 37869507, PMC 10585158 (freier Volltext).
- ↑ J. Biederman, S. R. Pliszka: Modafinil improves symptoms of attention-deficit/hyperactivity disorder across subtypes in children and adolescents. In: J Pediatr. 152. Jahrgang, Nr. 3, 2008, S. 394–399, doi:10.1016/j.jpeds.2007.07.052, PMID 18280848 (englisch).
- ↑ B. Benedek: Modafinil im Off-label-Einsatz. Deutsche Apothekerzeitung, 23. Februar 2017.
- ↑ Drugcom: Modafinil. Abgerufen am 10. April 2020.
- ↑ Präparateinformationen zu VIGIL® ( vom 28. September 2007 im Internet Archive) der Gelben Liste.
- ↑ Beipackzettel Vigil.
- ↑ Lebensgefährliche Reaktionen auf Narkolepsiemedikament ( vom 5. Februar 2018 im Internet Archive). In: Deutsches Ärzteblatt, 25. Oktober 2007.
- ↑ Mögliches Risiko schwerer angeborener Fehlbildungen, Rote-Hand-Brief zu Modafinil vom 9. Mai 2019, abgerufen am 10. Mai 2019.
- ↑ Mutschler, Ernst: Mutschler Arzneimittelwirkungen. Pharmakologie, klinische Pharmakologie, Toxikologie. 10. Auflage. Stuttgart. 2013.
- ↑ Drugcom: Modafinil. Abgerufen am 14. April 2020.
- ↑ Fachinformation Vigil, Stand Januar 2011.
- ↑ A. Kleemann, J. Engel, B. Kutscher: Pharmaceutical Substances. Thieme Medical Publishers 2001, ISBN 1-58890-031-2.
- ↑ Einundzwanzigste Verordnung zur Änderung betäubungsmittelrechtlicher Vorschriften (21. BtMÄndV).
- ↑ dak.de ( vom 26. Juni 2011 im Internet Archive) (PDF).
- ↑ D. C. Turner, T. W. Robbins, L. Clark, A. R. Aron, J. Dowson, B. J. Sahakian: Cognitive enhancing effects of modafinil in healthy volunteers. In: Psychopharmacology. Bd. 165, Nummer 3, Januar 2003, S. 260–269, doi:10.1007/s00213-002-1250-8. PMID 12417966.
- ↑ Die Smart-Drug Modafinil lässt ihre Konsumenten stundenlang konzentriert für die Uni lernen. Abgerufen am 19. November 2021.
- ↑ Jörg Auf dem Hövel: Gehirn-Doping: Augen geradeaus. Telepolis, 23. Oktober 2007.
- ↑ Warning Letter: Provigil® (modafinil) Tablets. (PDF; 6,3 MB) Food and Drug Administration, 27. Februar 2007.


