Mepyramin
| Strukturformel | ||||||||||||||||||||||
|---|---|---|---|---|---|---|---|---|---|---|---|---|---|---|---|---|---|---|---|---|---|---|
| ||||||||||||||||||||||
| Allgemeines | ||||||||||||||||||||||
| Freiname | Mepyramin | |||||||||||||||||||||
| Andere Namen |
| |||||||||||||||||||||
| Summenformel | C17H23N3O | |||||||||||||||||||||
| Kurzbeschreibung |
Flüssigkeit (Mepyramin)[1] bzw. farbloses bis schwach gelbliches Pulver (Mepyraminmaleat) | |||||||||||||||||||||
| Externe Identifikatoren/Datenbanken | ||||||||||||||||||||||
| ||||||||||||||||||||||
| Arzneistoffangaben | ||||||||||||||||||||||
| ATC-Code | ||||||||||||||||||||||
| Wirkstoffklasse | ||||||||||||||||||||||
| Eigenschaften | ||||||||||||||||||||||
| Molare Masse | 255,36 g·mol−1 | |||||||||||||||||||||
| Dichte | ||||||||||||||||||||||
| Schmelzpunkt | ||||||||||||||||||||||
| Siedepunkt | ||||||||||||||||||||||
| pKS-Wert |
4; 8,9[4] | |||||||||||||||||||||
| Löslichkeit |
4,818 g·l−1 (Mepyraminmaleat, in Wasser, pH 7,4, 37,5 °C)[7] | |||||||||||||||||||||
| Brechungsindex |
1,5760 – 1,5765 (25 °C)[4] | |||||||||||||||||||||
| Sicherheitshinweise | ||||||||||||||||||||||
| ||||||||||||||||||||||
| Toxikologische Daten |
| |||||||||||||||||||||
| Wenn nicht anders vermerkt, gelten die angegebenen Daten bei Standardbedingungen (0 °C, 1000 hPa). Brechungsindex: Na-D-Linie, 20 °C | ||||||||||||||||||||||
Mepyramin ist eine chemische Verbindung aus der Gruppe der Ethylendiamin-Derivate (Ethylendiamine). Die Substanz ist ein Arzneistoff aus der ersten Generation der Antihistaminika, welche ab den 1940er Jahren synthetisiert wurden. Eingesetzt wird Mepyramin bei allergischen Reaktionen, beispielsweise Insektenstiche oder Juckreiz. Der Wirkstoff wurde im Jahr 1950 von Rhône-Poulenc patentiert.[4][9]
Darstellung und Gewinnung
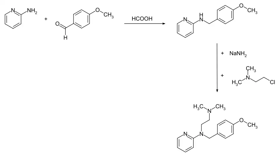
Mepyramin kann in einer zweistufigen Synthese erhalten werden. Im ersten Schritt erfolgt eine reduktive Kupplung von 2-Aminopyridin mit 4-Methoxybenzaldehyd in Ameisensäure. Danach wird das resultierende Zwischenprodukt nach Deprotonierung mit Natriumamid mit 2-Dimethylaminoethylchlorid umgesetzt.[8]
Wirkungsweise
Mepyramin gehört in die Wirkstoffklasse der Ethylendiamine. Im Körper dockt es an die Histamin-H1-Rezeptoren an[2] und verhindert so per kompetitiver Inhibition die Histamineinwirkung auf die Zelle. Auf diese Weise lindert es Juckreiz, Nesselsucht und allergische Reaktionen. Es dringt allerdings rasch ins Gehirn vor und kann so Nebenwirkungen wie Benommenheit und Schläfrigkeit hervorrufen.[2] Aufgrund dessen wurden Allergiemittel entwickelt, welche aufgrund sehr spezifischer Wirkung an den H1-Rezeptoren nicht ins Gehirn gelangen. Die sogenannten Antihistaminika der 2. Generation sind heutzutage die gängigen Mittel, da sie als besser verträglich gelten.[10]
Eigenschaften und Verwendung
Mepyramin ist eine zähe, mäßig wasserlösliche Flüssigkeit und wird daher als Salz der Maleinsäure (Mepyraminmaleat[11]) oder der Salzsäure (Mepyraminhydrochlorid[12]) in der Arzneimittelherstellung verarbeitet.[4] Mepyraminmaleat ist ein weißliches bis gelbliches kristallines Pulver mit sehr guter Löslichkeit in Wasser. Angewendet wird Mepyramin äußerlich als Gel, Creme, Spray oder Lösung in Kombination mit anderen Wirkstoffen wie beispielsweise Lidocain. Oral kann es in Erkältungsmitteln und Medikamenten gegen Menstruationsbeschwerden zur Anwendung kommen.[2]
Fertigarzneimittel
Stilex (CH), Parapic (CH)
Einzelnachweise
- ↑ a b c Datenblatt Mepyramin / N,N-DIMETHYL-N′-(4-METHOXYBENZYL)-N′-(2-PYRIDYL)ETHYLENEDIAMINE bei Sigma-Aldrich, abgerufen am 22. Dezember 2015 (PDF).
- ↑ a b c d e Eintrag zu Pyrilamine in der DrugBank der University of Alberta, abgerufen am 7. Dezember 2015.
- ↑ Carl L. Yaws: The Yaws Handbook of Physical Properties for Hydrocarbons and Chemicals: Physical Properties for More Than 54,000 Organic and Inorganic Chemical Compounds, Coverage for C1 to C100 Organics and Ac to Zr Inorganics. Gulf Professional Publishing, 2015, ISBN 978-0-12-801146-1 (books.google.com).
- ↑ a b c d e f Eintrag zu Mepyramin. In: Römpp Online. Georg Thieme Verlag, abgerufen am 14. Juli 2019.
- ↑ Maria Kuhnert-Brandstätter: Thermomicroscopy in the Analysis of Pharmaceuticals, Pergamon Press 1971, S. 396.
- ↑ a b C. P. Huttrer, C. Djerassi: Heterocyclic amines with antithistaminic activity. In: Journal of the American Chemical Society. Band 68, Nummer 10, Oktober 1946, S. 1999–2002, PMID 21001124.
- ↑ N. G. Lordi, J. E. Christian: Physical properties and pharmacological activity: antihistaminics. In: Journal of the American Pharmaceutical Association. American Pharmaceutical Association. Band 45, Nummer 5, Mai 1956, S. 300–305, PMID 13319115.
- ↑ a b c d e f g h i A. Kleemann, J. Engel, B. Kutscher, D. Reichert: Pharmaceutical Substances - Synthesis, Patents, Applications, 4. Auflage (2001) Thieme-Verlag Stuttgart, ISBN 978-1-58890-031-9.
- ↑ Patent US2502151: Dimethylaminoalkylamino antihistiminic compounds. Angemeldet am 15. Mai 1946, veröffentlicht am 28. März 1950, Anmelder: Rhone Poulenc, Erfinder: Raymond Jacques Horclois.
- ↑ hausmed.de: Mepyramin.
- ↑ Externe Identifikatoren von bzw. Datenbank-Links zu Mepyraminmaleat: CAS-Nr.: 59-33-6, EG-Nr.: 200-422-7, ECHA-InfoCard: 100.000.384, PubChem: 5284451, ChemSpider: 4447518, Wikidata: Q27287732.
- ↑ Externe Identifikatoren von bzw. Datenbank-Links zu Mepyraminhydrochlorid: CAS-Nr.: 6036-95-9, EG-Nr.: 227-920-7, ECHA-InfoCard: 100.025.382, PubChem: 80139, ChemSpider: 72388, Wikidata: Q27262828.
