Kristallviolettlacton
| Strukturformel | |||||||||||||||||||
|---|---|---|---|---|---|---|---|---|---|---|---|---|---|---|---|---|---|---|---|
| |||||||||||||||||||
| Allgemeines | |||||||||||||||||||
| Name | Kristallviolettlacton | ||||||||||||||||||
| Andere Namen |
6-(Dimethylamino)-3,3-bis[4-(dimethylamino)phenyl]-2-benzofuran-1(3H)-on (IUPAC) | ||||||||||||||||||
| Summenformel | C26H29N3O2 | ||||||||||||||||||
| Externe Identifikatoren/Datenbanken | |||||||||||||||||||
| |||||||||||||||||||
| Eigenschaften | |||||||||||||||||||
| Molare Masse | 415,5 g·mol−1 | ||||||||||||||||||
| Aggregatzustand |
fest | ||||||||||||||||||
| Schmelzpunkt |
180–183 °C[1] | ||||||||||||||||||
| Sicherheitshinweise | |||||||||||||||||||
| |||||||||||||||||||
| Wenn nicht anders vermerkt, gelten die angegebenen Daten bei Standardbedingungen (0 °C, 1000 hPa). | |||||||||||||||||||
Kristallviolettlacton ist eine chemische Verbindung aus der Gruppe der Triphenylmethanfarbstoffe, die als farbgebende Komponente in Thermopapieren verwendet wird.[2] Es ist strukturell verwandt mit Kristallviolett, das jedoch keine Lacton-Einheit enthält.
Synthese
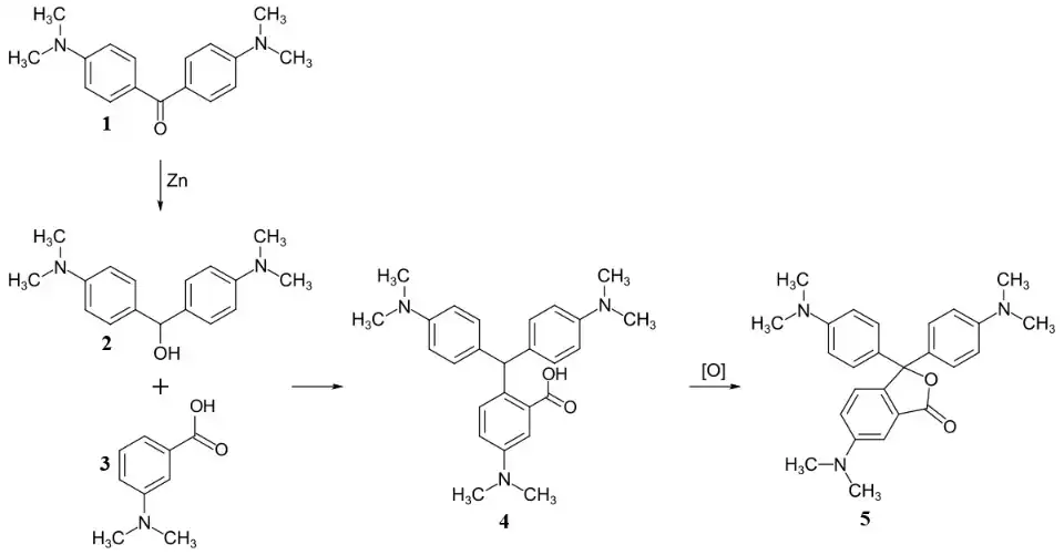
Kristallviolettlacton kann ausgehend von Michlers Keton synthetisiert werden. Zunächst wird das Keton mit Zinkstaub oder Natriumborhydrid zum Bis[4-(dimethylamino)phenyl]methanol[3] (Michlers Hydrol) reduziert. Diese Zwischenstufe wird mit 3-Dimethylaminobenzoesäure zur Leukokristallviolettcarbonsäure kondensiert. Die Oxidation der Leukokristallviolettcarbonsäure zum Kristallviolettlacton in wässriger Lösung ist beispielsweise mit Kaliumperoxodisulfat, Kaliumpermanganat oder Wasserstoffperoxid möglich.[4]

Eigenschaften
Kristallviolettlacton ist eine farblose Verbindung, die durch Säuren an der Aminogruppe protoniert wird und unter Öffnung des Lactonrings im Gleichgewicht mit der farbigen Carbonsäure steht. In stark polaren Lösungsmitteln wie Trifluorethanol, Hexafluorisopropanol oder Phenol wird der Lactonring unter Bildung eines Zwitterions geöffnet:[4]

Für das Zwitterion lassen sich mehrere mesomere Resonanzstrukturen formulieren. Das delokalisierte π-Elektronen-System bedingt eine drastische Farbänderung von weiß zu dunkelblau/violett.[2]
Verwendung
Kristallviolettlacton wird als Farbgeber bei Durchschreibepapieren bereits seit 1964 verwendet. Darüber hinaus spielt die Verbindung eine wichtige Rolle bei der Produktion von thermosensitivem Papier. 1993 wurden weltweit 800 t Kristallviolettlacton verkauft.[4]
Eine weitere Anwendung findet Kristallviolettlacton bei der Gasanalyse. Die blaue Farbe von dünnen Schichten, die neben dem Lacton ein saures Phenol wie Bisphenol A enthält, wird bei der Zugabe eines polaren Solvens schwächer. Somit hat man einen preiswerten optochemischen Sensor, mit dem die Dämpfe polarer Lösungsmittel in der Luft im ppm-Bereich nachgewiesen werden können.[5]
Einzelnachweise
- ↑ a b c Datenblatt Crystal Violet lactone bei Sigma-Aldrich, abgerufen am 8. Oktober 2020 (PDF).
- ↑ a b Albert Jonas, Isabel Rubner, Marco Oetken: Thermochromie und die Funktionsweise von Thermopapier. In: Chemie in unserer Zeit. Band 54, Nr. 3, Juni 2020, S. 166, doi:10.1002/ciuz.201900849.
- ↑ Externe Identifikatoren von bzw. Datenbank-Links zu Bis[4-(dimethylamino)phenyl]methanol: CAS-Nr.: 119-58-4, EG-Nr.: 204-335-5, ECHA-InfoCard: 100.003.941, GESTIS: 19790, PubChem: 92742, ChemSpider: 83720, Wikidata: Q72445128.
- ↑ a b c Thomas Gessner, Udo Mayer: Triarylmethane and Diarylmethane Dyes. In: Ullmann’s Encyclopedia of Industrial Chemistry. Band 37, 15. Juni 2000, S. 425–478, doi:10.1002/14356007.a27_179.
- ↑ F. L. Dickert, E. H. Lehmann, S. K. Schreiner, Heinz. Kimmel, G. R. Mages: Substituted 3,3-diphenylphthalides as optochemical sensors for polar solvent vapors. In: Analytical Chemistry. Band 60, Nr. 14, Mai 2002, S. 1377, doi:10.1021/ac00165a005.

