Konstituente
Konstituente (von lateinisch constituens, Partizip I von constituere „aufstellen, einsetzen“)[1] ist in der Sprachwissenschaft der allgemeinste Begriff für eine Einheit der grammatischen Struktur.
Der Ausdruck entstammt der amerikanischen strukturalistischen Linguistik und wird vor allem mit der Analyse von Sätzen im Rahmen einer Konstituentengrammatik assoziiert.[2] Im Zusammenhang mit den Konstituententests aus dieser Tradition, und auch den Satzgliedproben aus der deutschen Grammatik, ist oft ein Satzglied gemeint, wenn „Konstituente“ gesagt wird.[3] Der Begriff „Konstituente“ ist aber tatsächlich allgemeiner und ist auf jede strukturierte Darstellung grammatischer Gebilde anwendbar: in der Syntax auf Sätze und Teile von Sätzen, in der Morphologie auf Teile von Wörtern, in der Phonologie auf Teile von Silben, vereinzelt werden auch Bedeutungsbausteine so genannt.[4]
In diesem Artikel stehen syntaktische Konstituenten im Vordergrund sowie ihre begrifflichen Grundlagen. Die verschiedenen traditionellen Tests zur Feststellung von Konstituenten werden im separaten Artikel Konstituententest behandelt.
Zerlegung von Ausdrücken in Konstituenten
Die Konstituente ist ein wichtiger Grundbegriff der Grammatik, weil er die Eigenschaft grammatischer Gebilde einfängt, einen hierarchischen inneren Aufbau zu besitzen. Eine Konstituentenstruktur stellt also den inneren Aufbau eines gegebenen Ausdrucks dar, und dieser Aufbau besteht nicht in einer einfachen Aneinanderreihung von Zeichen. Insbesondere können gleichartig aussehende Zeichenketten mehrere verschiedene Strukturierungen erlauben („strukturelle Mehrdeutigkeit“). Dies kann sich auch in Bedeutungsunterschieden bemerkbar machen.
Die nachfolgenden Beispiele zeigen dies daran, dass gleichartig aussehende Ausdrücke schon im ersten Zerlegungsschritt unterschiedlich gegliedert werden. Grammatische Einheiten enthalten aber oft tiefer gestaffelte Hierarchien; der erste Zerlegungsschritt zeigt dann sog. „unmittelbare Konstituenten“ (englisch: immediate constituents, ICs) einer gegebenen Einheit.
- Komposita:[5]
- Glasblumen-kasten (ein Kasten, in dem Blumen aus Glas sind)
- Glas-blumenkasten (ein Blumenkasten aus Glas)
- Wortableitung:
- un-fassbar
- erfass-bar
- Da er- ein Präfix für Verben ist, muss es sich unmittelbar mit dem Verbstamm fass(-en) verbinden; hernach macht bar ein Adjektiv aus diesem komplexen Verb. – Da un- ein Präfix für Adjektive ist, muss es sich dagegen mit dem komplexen Adjektiv „fassbar“ verbinden.
- Sätze und kleinere syntaktische Einheiten
- den Hasen [mit dem Fernglas betrachten]
- [den Hasen mit dem Ostereierrucksack] betrachten
- Der Unterschied besteht darin, ob die Präposition mit eine Einheit (Konstituente) mit dem Substantiv „Hasen“ herstellt (Bedeutung: etwas was der Hase hat) oder als Instrument-Angabe eine Einheit zusammen mit dem Verb „betrachten“ bildet.
Definitionen der Konstituente
Es existieren zwei verschiedene Begriffe der Konstituente – diese beiden werden in der Lehr- und Handbuchliteratur allerdings nur selten auseinandergehalten.[6] Autoren, die in einem traditionellen, informellen Kontext schreiben, nennen oft nur die erste, relationale Bedeutung[7][8][9][10] – manche anderen, vor einem formalen Hintergrund schreibenden, stellen nur die zweite dar[11][12] (wobei die relationale Verwendung zusätzlich im Sprachgebrauch zu sehen ist).
- Konstituente im relationalen Sinn („Konstituente-von“ = „Bestandteil-von“)
- Informell: „Eine Konstituente ist eine Einheit, die bei der Zerlegung einer größeren Einheit als einer ihrer Bestandteile erscheint“.
- (Die größere Einheit, die zerlegt wird, ist dann also der Gegenbegriff zu „Konstituente“ und ist nicht auch damit gemeint.)
- Konstituente im absoluten Sinn
- Informell: „Eine Konstituente ist eine Gruppe von Wörtern, die eine zusammenhängende syntaktische Einheit bilden.“ Oder: „Eine Gruppe von Wörtern, die von einer syntaktischen Regel als Einheit behandelt werden.“[13]
- (In dieser Bedeutung ist auch eine größere Einheit, die zerlegt wird, eine Konstituente.)
Der Unterschied zwischen diesen beiden Begriffsvarianten wird bei der Behandlung von Sätzen auffällig: Manche Autoren sagen, dass ein ganzer Satz grundsätzlich immer auch eine Konstituente ist,[14] andere sagen, dass dies nicht so sei.[15] Die erstere Aussage ergibt sich aus dem absoluten Begriff der Konstituente, die andere aus dem relationalen (siehe im Abschnitt #Ein formales Modell).
Ein Konstituententest ermittelt im Sinn der absoluten Definition, welche Wörter eine zusammengehörige Einheit bilden, während ihr Enthaltensein in einer größeren Einheit lediglich vorausgesetzt ist (weil sonst keine Ungewissheit über Zusammengehörigkeiten entstehen könnte). Im Zusammenhang solcher Tests werden häufig im Grunde genommen Phrasen oder Satzglieder gesucht, so dass die Begriffe „Konstituente“ und „Satzglied“ bzw. „Phrase“ dann oft nicht unterschieden werden. Jedoch müssen Konstituenten keine Phrasen sein[16] (siehe später unter: #Konstituente und Phrase). Insofern ist Konstituente ein Oberbegriff zu Phrase – jedoch nur im absoluten Sinn von Konstituente: Phrase ist kein relationaler Begriff, und eine Phrase ist oft etwas, das in der Analyse selbst zerlegt wird.
Beide Konstituentenbegriffe können auf derselben formalen Grundlage graphentheoretisch definiert werden, wie im nächsten Abschnitt erläutert wird.
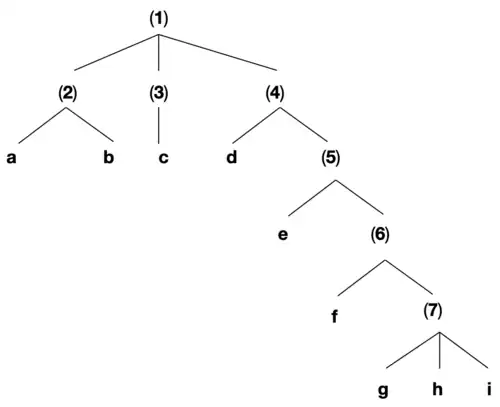
Ein formales Modell
Anhand des nebenstehenden Strukturbaums kann das Schema einer Konstituentengrammatik in abstrakter und grundsätzlicher Form demonstriert werden.[17]

Die Buchstaben a, b, … bis i stehen hier für die Wörter einer Sprache. Die Wörter werden durch die Knoten (1) bis (7) zu Konstituenten zusammengefasst. Die Beziehung, die durch die Linien ausgedrückt wird, heißt (von oben nach unten gesehen) Dominanz und kann auch als „Enthalten“ gelesen werden: Der Knoten (7) dominiert g, h und i, oder: g, h, i bilden die Konstituente (7), oder: g, h, i sind in der Konstituente (7) enthalten. Ebenso dominiert der Knoten (1) die Knoten (2), (3) und (4). Wichtig ist, dass Dominanz eine transitive Relation ist: Wenn gilt, dass Knoten (5) den Knoten (6) dominiert/enthält, und (6) dominiert (7), dann gilt auch: (5) dominiert/enthält (7).
Ein Knoten, der nichts mehr dominiert, heißt „Terminal / terminales Symbol“; dies sind die Elemente, die als Kleinbuchstaben geschrieben wurden.
In dieser Darstellung sieht man, dass der relationale Begriff „Konstituente von etwas zu sein“ in der Relation der Dominanz besteht:[18] Zum Beispiel ist f eine Konstituente von (6), und (7) ist eine weitere Konstituente von (6) – denn diese beiden werden von (6) dominiert oder sind in (6) enthalten.
Im anderen Sinn (Konstituenz als „Zusammenhalt“) bilden die Wörter g, h, i zusammen eine Konstituente (zusammengefasst durch den Knoten (7)). Bei der Konstituente in diesem zweiten Sinn kann man sich nun darauf beschränken, immer nach zusammenhängenden Gruppen von „Wörtern“, also „Terminalen“, zu fragen. Man kann definieren:[19]
- Konstituente (absolut, als Menge zusammengehöriger Terminale)
- Eine Menge von Terminalen bildet eine Konstituente, wenn es einen Knoten gibt, der diese Menge von Terminalen dominiert, und nur diese dominiert. Man nennt dies dann auch exhaustiv dominieren.
Anwendung:
- {f, g, h, i } ist eine Konstituente, weil es Knoten (6) gibt, der alle diese dominiert und keine anderen zusätzlich dominiert (= alle diese exhaustiv dominiert).
- {f, g, h } ist keine Konstituente, weil es keinen geeigneten dominierenden Knoten gibt: Knoten (6) dominiert auch i (und erst recht tun dies die höheren Knoten), und Knoten (7) dominiert nicht f.
- {a, b } ist eine Konstituente, weil es Knoten (2) gibt, der diese exhaustiv dominiert.
- {a, b, c } ist wiederum keine Konstituente, weil der einzige Kandidat (1) auch noch die Terminale unter (4) dominiert.
- Der gesamte „Satz“ {a, b, c, d, e, f, g, h, i } ist eine Konstituente, weil Knoten (1) diese Menge exhaustiv dominiert.
Konstituente und Phrase
Der Begriff der syntaktischen Phrase erscheint in diesem Modell als ein Untertyp von Konstituente (in der zweiten, absoluten Bedeutung), er ist aber nicht allein von der abstrakten Struktur abhängig, sondern von den grammatischen Eigenschaften der Bestandteile. Das heißt, einige der zuvor abstrakt dargestellten Konstituenten-Knoten können außerdem die Eigenschaft haben, Phrasenknoten zu sein.
Das nebenstehende zweite Diagramm dient zur grundsätzlichen Veranschaulichung dieses Punktes; es behauptet nicht, eine korrekte Analyse eines deutschen Satzes zu zeigen.

Hier ist lediglich dieselbe Struktur aus der vorigen Abbildung mit konkreten Wörtern aufgefüllt, die auch ein grammatisches Kategoriemerkmal tragen (N = Nomen/Substantiv; A = Adjektiv; P = Präposition; V = Verb). In einer Konstituentengrammatik (oder Phrasenstrukturgrammatik) tragen auch die zusammenfassenden Knoten, die für Mengen von Wörtern/Terminalen stehen, ein Kategoriemerkmal. Abhängig ist dies vom sogenannten Kopf der Konstituente: demjenigen Bestandteil, der weiter ausgebaut wird, also Ergänzungen oder freie Angaben dazubekommt. Die Etikettierung der Konstituenten ist im Artikel Phrase (Linguistik) näher erläutert (siehe auch Kopf (Grammatik)).
Der Unterschied zwischen Phrase und Konstituente liegt in diesem Modell im Umgang mit den Merkmalen: Eine Konstituente wird schon durch ihren Platz in der Struktur definiert; eine Phrase dadurch, dass sie hinsichtlich ihres Kategoriemerkmals abgeschlossen ist. Beispielsweise ist in Konstituente (6) eine NP enthalten (entspricht den Terminalen {spröden, rauen, Lippen }), während (6) insgesamt die Eigenschaften eines Präpositionalausdrucks hat, die von dem Wort mit herstammen. Wenn das N-Merkmal nicht an die höhere Konstituente vererbt wird, ist sein Bereich abgeschlossen, und deshalb wird dieser Bereich (d. h. Konstituente (7) ) als N-Phrase bezeichnet.[20]
Die Einführung von Phrasenknoten ergibt außerdem das Potenzial für Rekursion: Die NP (4) enthält wiederum eine Konstituente des gleichen Typs, die NP (7), und eine derartige „Schleifenbildung“ könnte prinzipiell unendlich fortgeführt werden. Siehe hierzu auch im Artikel Phrasenstrukturgrammatik.
Es bestehen jedoch verschiedene theoretische Alternativen, über die zu entscheiden ist (und wofür dieses Strukturbeispiel nichts festlegen soll):
- Wenn Dreifachverzweigungen zugelassen werden (wie unter (1) und unter (7) ), dann kann in einem Schritt vom Kopf zur Phrase übergegangen werden (N:Lippen zu NP:(7) ). Anhand des Knotens (4) wird hier aber gleichzeitig die Alternative demonstriert, eine Abfolge von Zweifach-Verzweigungen stattdessen zu benutzen (die Dreifach-Verzweigung wäre {D:den, N:Jungen, PP:(6) }). Dadurch entsteht hier eine zusätzliche Konstituente N':(5), die keine Phrase ist.
- Wenn nicht-verzweigende Dominanz angenommen wird, können auch Strukturen entstehen wie die Dominanzbeziehung der Knoten (3) und c im abstrakten Baum. Auch dies wird nicht in allen Syntaxmodellen der natürlichen Sprache benutzt; im zweiten, ausgefüllten Baum ist die Darstellung geändert: Das Terminal küsste ist nicht von einem separaten Knoten V (= (3)) dominiert, sondern V wird als ein Merkmal desselben Knotens aufgefasst.[21]
- Die Organisation des gesamten Satzes im Umkreis von V:(3) ist zusätzlich Gegenstand von tiefgreifenden Kontroversen (siehe Verbalphrase sowie Phrase (Linguistik) #Funktionale Projektionen) und hier nur provisorisch veranschaulicht. V und NP:(4) könnten aber in Wirklichkeit näher zusammengehören und es könnten Gründe gesehen werden, die resultierende Kategorie nicht als die erwartete VP zu etikettieren etc. (Das Beispiel ignoriert außerdem die deutsche Verbzweit-Struktur).
Siehe auch
- Dependenzgrammatik (für eine grundlegende Alternative zur Konstituentengrammatik)
Literatur
- Maria Averintseva-Klisch: Konstituente. In: Stefan Schierholz, Pál Uzonyi (Hrsg.): Grammatik: Syntax. (= Wörterbücher zur Sprach- und Kommunikationswissenschaft (WSK), 1.2). De Gruyter, Berlin 2022, e-ISBN 978-3-11-069852-7, S. 475–477.
- Andrew Carnie: Constituent Structure. 2nd edition, Oxford University Press 2010, ISBN 978-0-19-958346-1.
- Pauline Jacobson: Constituent Structure. In Keith Brown (ed.): Encyclopedia of Language & Linguistics (Second Edition). Elsevier, Amsterdam 2006, S. 58–71. Artikel-doi:10.1016/B0-08-044854-2/01958-1.
- Antonio Machicao y Priemer: Konstituententest. In: Stefan Schierholz, Pál Uzonyi (Hrsg.): Grammatik: Syntax. (= Wörterbücher zur Sprach- und Kommunikationswissenschaft (WSK), 1.2). De Gruyter, Berlin 2022, e-ISBN 978-3-11-069852-7, S. 482–487.
Weblinks
Einzelnachweise
- ↑ Duden, Online, https://www.duden.de/zitieren/10132655/2.2
- ↑ Vgl.: Leonard Bloomfield: Language. Henry Holt, New York 1933. – Rulon S. Wells: Immediate Constituents. In: Language. Band 23, 1947, S. 81–117. – Noam Chomsky: Syntactic Structures. Mouton, Den Haag/Paris 1957.
- ↑ Averintseva-Klisch (2022), S. 475 (rechte Spalte) bezeichnet dies sogar als eine reguläre Lesart des Terminus, nämlich als „Konstituente im engeren Sinn.“
- ↑ Michael Schlaefer: Lexikologie und Lexikographie. 2. Auflage. E. Schmidt, Berlin 2009, S. 187: Konstituent ist ein „Element im strukturhaften Aufbau von Wortbildungen, Sätzen, Bedeutungen“.
- ↑ Beispiel aus Wolfgang Sternefeld: Syntax. Eine morphologisch motivierte generative Beschreibung des Deutschen. Band 1. 3. Auflage. Stauffenburg Verlag, Tübingen 2008, S. 9.
- ↑ Siehe allerdings Carnie (2010), S. 37 (vgl. Fußnote 20 für den ausdrücklichen Hinweis, dass es sich um zwei verschiedene Begriffe handelt). – Auch: Machicao y Priemer (2022), S. 482.
- ↑ Ausdrücklich: Averintseva-Klisch (2022), S. 475: „Konstituente ist somit ein relativer Begriff.“
- ↑ Christa Dürscheid: Syntax. Grundlagen und Theorien. 4. Auflage. Vandenhoeck & Ruprecht, Göttingen 2007, ISBN 978-3-525-26546-8, S. 29.
- ↑ Wolfgang Imo: Grammatik. Eine Einführung. J.B.Metzler Verlag, Stuttgart 2016, ISBN 978-3-476-02612-5.
- ↑ Grammis.de/Wissenschaftliche Terminologie, Artikel „Konstituente“, abgerufen am 19. Februar 2024.
- ↑ Jacobson (2006).
- ↑ Stefan Müller: Grammatical theory. From transformational grammar to constraint-based approaches. 2. Auflage. Language Science Press, Berlin 2018, doi:10.5281/zenodo.1193241, implizit so in Kapitel 1.3.
- ↑ Nach Carnie (2010), S. 18.
- ↑ Jacobson (2006), S 59, Ende des ersten Absatzes: „If there is some node A that dominates each word in that sequence and no other words, then that sequence forms a constituent. Thus, in Figure 1 the whole sentence is a constituent.“
- ↑ Imo (2016), Seite 115: „Sätze sind insofern auch Konstituenten, als sie wieder Bestandteile von anderen Sätzen sein können.“ Dies impliziert, dass Sätze nur Konstituenten seien, wenn sie eingebettet vorkommen.
- ↑ Machicao y Priemer (2022), S. 482.
- ↑ Adaptiert nach Carnie (2010), S. 30–37.
- ↑ Carnie (2010), S. 37, Fn. 20.
- ↑ Abgewandelt nach Carnie (2010), S. 37, Satz (19), in Verbindung mit S. 36 Satz (15), wo auch eine Beschränkung auf Terminale erfolgt.
- ↑ Für diese Definition der Phrase siehe z. B.: Jörg Meibauer et al.: Einführung in die germanistische Linguistik. 2. Auflage. J.B. Metzler, Stuttgart 2007, ISBN 978-3-476-02141-0. – Glossar, S. 354.
- ↑ Carnie (2010), S. 32f. diskutiert diesen Unterschied und spricht sich für die letztere Notation aus.