Herz-Reaktion
Die Herz-Reaktion ist eine organisch-chemische Namensreaktion, die nach Richard Herz benannt ist. Dabei wird ein Anilin-Derivat 1 mit Dischwefeldichlorid in ein sogn. Herz-Salz 2 umgewandelt, dessen Hydrolyse ein Thiophenol-Derivat 3 liefert:[1]

Anwendungen
Benzothiazole
Das Natriumthiophenolat 3 reagiert mit Zinksulfat zu einem Zinkmercaptid, dessen Umsetzung mit einem Carbonsäurechlorid – z. B. Benzoylchlorid – zu dem 1,3-Benzothiazol 4 führt:

Farbstoffe
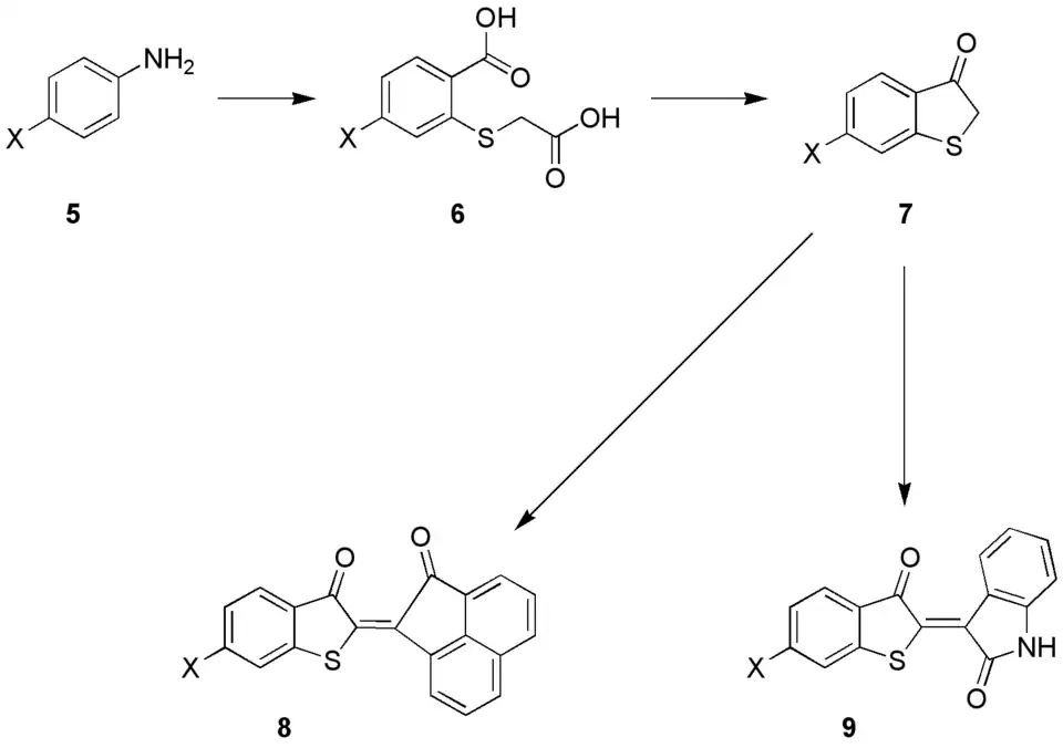
Anilin 5 wird in mehreren Schritten in die Indigo-artigen Farbstoffe 8 bzw. 9 überführt:
- Herz-Reaktion des Anilins 5 mit Dischwefeldichlorid mit anschließender Hydrolyse, dann
- Umsetzung in die ortho-Aminoarylthioglycolsäure und
- Umwandlung der Amino-Funktion in ein Nitril via Sandmeyer-Reaktion.
- Hydrolyse des Nitrils unter Bildung der Carbonsäure 6, die dann unter Decarboxylierung das Cyclisierungsprodukt 7 liefert.
- Das Thioindoxyl 7 kondensiert mit Acenaphthochinon zu 8, einem Farbstoff des sogn. Ciba-Scarlet-Typs.
- Die Kondensation von 7 mit Isatin führt zu dem Thioindigofarbstoff 9.

Einzelnachweise
- ↑ W. K. Warburton: Arylthiazathiolium Salts And o-Aminoaryl Thiols – The Herz Reaction. In: Chemical Reviews. 57. Jahrgang, Nr. 5, 1957, S. 1011–1020, doi:10.1021/cr50017a004.