2,6-Dichlorchinon-4-chlorimid
| Strukturformel | ||||||||||||||||
|---|---|---|---|---|---|---|---|---|---|---|---|---|---|---|---|---|
| ||||||||||||||||
| Allgemeines | ||||||||||||||||
| Name | 2,6-Dichlorchinon-4-chlorimid | |||||||||||||||
| Andere Namen |
| |||||||||||||||
| Summenformel | C6H2Cl3NO | |||||||||||||||
| Kurzbeschreibung |
dunkelgelber, kristalliner Feststoff[1] | |||||||||||||||
| Externe Identifikatoren/Datenbanken | ||||||||||||||||
| ||||||||||||||||
| Eigenschaften | ||||||||||||||||
| Molare Masse | 210,45 g·mol−1 | |||||||||||||||
| Aggregatzustand |
fest[1] | |||||||||||||||
| Schmelzpunkt |
65–67 °C[1] | |||||||||||||||
| Löslichkeit |
praktisch unlöslich in Wasser (20 °C)[2] | |||||||||||||||
| Sicherheitshinweise | ||||||||||||||||
| ||||||||||||||||
| Toxikologische Daten | ||||||||||||||||
| Wenn nicht anders vermerkt, gelten die angegebenen Daten bei Standardbedingungen (0 °C, 1000 hPa). | ||||||||||||||||
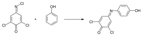
2,6-Dichlorchinon-4-chlorimid oder Gibbs’ Reagenz, ist ein N-halogeniertes Chinonimin-Derivat, das in der analytischen Chemie als Nachweisreagenz für Phenole dient. Sein Reaktionsprodukt mit Phenol, das Tillmans-Reagenz, findet als Redoxindikator Anwendung. Seine Verwendung als Nachweisreagenz hat 1927 erstmals Harry Drake Gibbs beschrieben.[3]
Darstellung und Gewinnung
Eine Synthese von 2,6-Dichlorchinon-4-chlorimid geht vom 4-Nitrophenol aus, welches im ersten Schritt mittels Chlorierung in das 2,6-Dichlor-4-nitrophenol überführt wird. Eine Reduktion mit Zinn ergibt dann das 2,6-Dichlor-4-aminophenol. Dieses wird im letzten Schritt mit Kaliumhypochlorit zur Zielverbindung oxidiert.[4]
Eigenschaften
2,6-Dichlorchinon-4-chlorimid bildet gelbe Nadeln, die bei 67–68 °C schmelzen.[4] Oberhalb von 170 °C wird eine thermische Zersetzung beobachtet.[4] Die Verbindung löst sich nur sehr schwer in Wasser. Die Löslichkeit ist in Alkoholen etwas besser bzw. sehr gut in Aceton und Ethern.[5]
Löslichkeiten bei 20 °C[5] Lösungsmittel Wasser Methanol Ethanol n-Propanol n-Butanol Aceton Löslichkeit in g/100 ml 0,003 10 5 2,5 2,5 100 Lösungsmittel Dioxan Diethylether Chloroform Benzol n-Heptan Löslichkeit in g/100 ml 33 30 50 35 1,5
Die Verbindung ist explosionsgefährlich im Sinne des Sprengstoffgesetzes und ist dort der Stoffgruppe C zugeordnet.[6]
Verwendung
2,6-Dichlorchinon-4-chlorimid findet in der organischen analytischen Chemie als Nachweisreagenz für in para-Stellung unsubstituierte Phenole Anwendung. Die Reaktion des Reagenzes mit Phenolen ist gegenüber der ortho-Position in para-Position begünstigt. Die Substanz kann auch als Sprühreagenz eingesetzt werden.[5]

Weblinks
Einzelnachweise
- ↑ a b c d Datenblatt 2,6-Dichloroquinone-4-chloroimide bei Sigma-Aldrich, abgerufen am 14. Mai 2017 (PDF).
- ↑ a b c Eintrag zu 2,6-Dichlor-4-(chlorimino)cyclohexa-2,5-dienon in der GESTIS-Stoffdatenbank des IFA, abgerufen am 3. Januar 2023. (JavaScript erforderlich)
- ↑ H. D. Gibbs: Phenol tests: III. The indophenole test. In: J. Biol. Chem. 72, 1927, S. 649–664.
- ↑ a b c A. Kollrepp: Ueber Derivate der gechlorten Para-Nitrophenole. In: Liebigs Ann. Chem. 234, 1886, S. 1–34, doi:10.1002/jlac.18862340102.
- ↑ a b c D. Svobodová, P. Křenek, M. Fraenkl, J. Gasparič: Colour Reaction of Phenols with the Gibbs Reagent. The Reaction Mechanism and Decomposition and Stabilisation of the Reagent. In: Microchim. Acta. I, 1977, S. 251–264, doi:10.1007/BF01213035.
- ↑ Bekanntmachung der gemäß § 2 SprengG von der BAM seit 1987 neu getroffenen Feststellungen - Feststellungsbescheid Nr. 370 vom 1. Oktober 1997. PDF.


