Gertrude Maud Robinson
Gertrude Maud Robinson (* 6. Februar 1886 in Winsford (Cheshire), England; † 1. März 1954 in Oxford, England) war eine englische Chemikerin. Sie ist bekannt für die auch nach ihr benannte Piloty-Robinson-Pyrrolsynthese.
Leben und Werk
Robinson war die jüngste Tochter von Thomas Makinson Walsh und seiner Frau Mary Emily (geb. Crosbie). Sie begann nach dem Besuch der Verdin Grammar School 1904 ihr Studium der Chemie am University of Manchester Institute of Science and Technology, wo sie 1907 ihren Bachelor-Abschluss erwarb. Dann forschte sie in dem Labor von Chaim Weizmann, der mit dem Chemiker William Henry Perkin junior in Manchester ein privates Laboratorium eröffnet hatte. Sie erhielt 1908 ihren Master-Abschluss in Chemie und traf den Doktoranden Robert Robinson, den sie 1912 heiratete und der 1947 den Nobelpreis für Chemie erhielt.
Sie reiste mit ihrem Ehemann nach Australien, wo dieser seine erste akademische Anstellung an der University of Sydney bekam. Sie forschte und lehrte dort auf einer unbezahlten Demonstrantenposition und bekam ihr erstes von drei Kindern, welches nur einen Tag lebte. Sie bekam 1920 eine weitere Tochter und 1926 einen Sohn mit Down-Syndrom.
Ihre in Sydney begonnene Forschungspartnerschaft mit ihrem Mann setzte sie nach ihrer Rückkehr nach Großbritannien im Jahr 1915 zuerst als Chemikerin von 1928 bis 1930 an der University of St Andrews in Schottland und dann als Forschungschemikerin bis 1930 am University College London fort.
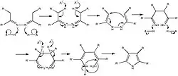
Sie arbeitete an der Synthese von gesättigten und ungesättigten Fettsäuren und war die Erste, die Ölsäure und Milchsäure synthetisierte. Sie schlug die asymmetrische Struktur aromatischer Azoxyverbindungen vor und postulierte mit ihrem Mann einen Mechanismus für die Fischersche Indolsynthese. Basierend auf diesem Mechanismus und aufbauend auf Pilotys Pyrrolsynthese entwickelte sie mit ihrem Mann eine Methode zur Synthese von Tetraphenylpyrrol.

Nach ihrem Umzug 1930 an die Oxford University begann Robinson als Forschungschemikerin mit dem Studium von Pflanzenpigmenten und veröffentlichte zusammen mit ihrem Ehemann zahlreiche Arbeiten über Anthocyane. Sie war die Erste, die beobachtete, dass die Farbe des Pigments einer Pflanze nicht mit dem pH-Wert ihres Safts zusammenhängt, und leistete Pionierarbeit bei Leukoanthocyaninen. Sie synthetisierte als Erste δ-Hexenolacton, ein Penicillin-ähnliches Molekül mit antibiotischen Eigenschaften.[1]
Sie veröffentlichte 38 Artikel ab 1914, von denen 9 Einzelveröffentlichungen und weitere 19 gemeinsame Veröffentlichungen mit ihrem Ehemann sind.
Zusammen mit Ida Maclean war sie aktiv in der University Women’s Federation. Robinson starb 1954 im Alter von 68 Jahren in Oxford an einem Herzinfarkt.
Ehrungen
- 1953 wurde ihr von der University Oxford ein Ehren-Master of Arts verliehen.
Veröffentlichungen (Auswahl)
- mit R. Robinson: LIV.—A new synthesis of tetraphenylpyrrole. In: J. Chem. Soc., Trans. 113, 1918, S. 639–645.
- mit William John Cooper Lawrence, James Robert Price, Robert Robinson: The Distribution of Anthocyanins in Flowers, Fruits and Leaves. In: Philosophical Transactions of the Royal Society of London. Series B, Biological Sciences. Band 230, Nr. 567, 1939, S. 149–178.
Literatur
- Marilyn Bailey Ogilvie, Joy Dorothy Harvey: The Biographical Dictionary of Women in Science: Pioneering Lives from Ancient Times to the Mid-20th Century. Routledge, 2000, ISBN 0-415-92038-8.
- Annette Lykknes, Donald L. Opitz, Brigitte Van Tiggelen: For Better or For Worse? Collaborative Couples in the Sciences. Birkhäuser, 2012, ISBN 978-3-0348-0285-7.
- Julie A. Olsen, Kevin M. Shea: Critical Perspective: Named Reactions Discovered and Developed by Women. Smith College, Chemistry Faculty Publications, 2011.
- M. Rayner-Canham, G. Rayner-Canham: Chemistry was Their Life: Pioneering British Women Chemists, 1880–1949. Imperial College Press, London, 2008, S. 435–438.
- Robinson, Gertrude Maud, Lady Robinson. In: Henry Colin Gray Matthew, Brian Harrison (Hrsg.): Oxford Dictionary of National Biography, from the earliest times to the year 2000 (ODNB). Oxford University Press, Oxford 2004, ISBN 0-19-861411-X; doi:10.1093/ref:odnb/55542 (Lizenz erforderlich), Stand: 2004.
Einzelnachweise
- ↑ Gertrude Maud Robinson BiografíayGenética Vegetal. In: hmong.wiki. Abgerufen am 11. September 2022 (thailändisch).