Effizienzlohn

Unter einem Effizienzlohn versteht man in der Volkswirtschaftslehre einen Lohn, der oberhalb des Gleichgewichtsniveaus liegt und den ein Arbeitgeber freiwillig bezahlt, um die Arbeitsproduktivität zu erhöhen, die Fluktuationskosten zu senken, die Arbeitnehmer mit der höchsten Produktivität zu beschäftigen oder Arbeitsnormen zu erhöhen.

Differenziert nach neoklassischen, soziologischen und psychologischen Modellen zeigt der Artikel die Motivation für das Zahlen von Effizienzlöhnen auf. In den neoklassischen Bereich fallen der so genannte Shirking-Ansatz, das Fluktuationskostenargument sowie die Theorie der adversen Selektion. Bei den sozialen Effizienzlohntheorien wird den sozialen Normen und der Interaktion zwischen Personen ein entscheidender Einfluss auf das menschliche Verhalten beigemessen. Inwiefern dieser Einfluss bei Gestaltung von Effizienzlöhnen berücksichtigt werden muss, wird in dem Fair-wage/Effort-Modell und dem Gift-Exchange-Ansatz beschrieben. Die Equity-Theorie beleuchtet das Thema Effizienzlohn aus psychologischer Sicht.

Neoklassik

Den neoklassischen Modellen liegt zugrunde, dass es einen positiven Zusammenhang zwischen Lohnhöhe und Arbeitsproduktivität gibt. Deshalb kann es für ein Unternehmen durchaus von Interesse sein, einen höheren als den markträumenden Lohn zu zahlen. Außerdem unterstellen sie ein individuell-nutzenmaximierendes Verhalten der Arbeitnehmer. Dabei werden als Argumente der Nutzenfunktion ausschließlich der Lohn und die Arbeitsanstrengung unterstellt. Ein höherer Lohn und eine geringere Arbeitsanstrengung erhöhen dabei den individuellen Nutzen.

No-Shirking

Ein Lohn oberhalb des markträumenden Niveaus führt zu Arbeitslosigkeit

Der Shirking-Ansatz nimmt an, dass keine vollständige Überwachung (Monitoring) der Arbeitskräfte möglich ist. Nach Shapiro und Stiglitz (1984)[1] können die Arbeiter entscheiden, zu arbeiten oder zu bummeln (Shirking). Arbeiter, die bummeln, werden mit einer bestimmten Wahrscheinlichkeit dabei entdeckt und daraufhin entlassen. Deswegen kann ein Lohn, der über dem markträumenden Lohn liegt, eine effektive Möglichkeit für das Unternehmen sein, den Beschäftigten einen Anreiz zu geben, nicht zu bummeln.

Wenn alle Firmen den Effizienzlohn zahlen, herrscht im Gleichgewicht Arbeitslosigkeit, was die Kosten eines entdeckten Arbeiters und damit seinen Anreiz zu arbeiten, erhöht. Die Existenz der Arbeitslosigkeit ist hierbei von großer Bedeutung, da ohne sie keine Kosten des Bummelns existieren würden, denn jeder entlassene Arbeiter würde sofort eine neue Beschäftigung finden. Ohne Arbeitslosigkeit würden alle Arbeiter bummeln, da sie das Nichtstun der Arbeit vorziehen. Arbeitslose werden auch nicht wieder eingestellt, indem sie anbieten, für einen geringeren Lohn zu arbeiten, da das Unternehmen antizipiert, dass sie zu Löhnen, die unterhalb des Effizienzlohnes liegen, bummeln würden. Es gibt keinen Weg, glaubhaft zu machen, dass der Arbeiter für einen geringeren Lohn arbeitet. Ein Pareto-Optimum mit kostenverursachender Überwachung bringt Arbeitslosigkeit mit sich, da sie positive Arbeitsanreize gibt. Die Arbeitslosenquote im Gleichgewicht ist jedoch nicht Pareto-optimal, denn die Unternehmen berücksichtigen nicht die sozialen Kosten, die sie durch die hohe Arbeitslosenquote verursachen.[1]

Eine Möglichkeit, dies zu verbessern ist, dass der Arbeitnehmer bei Arbeitsantritt eine Kaution hinterlegt. Das setzt jedoch voraus, dass die Arbeitnehmer über ausreichend Eigenkapital verfügen. Wenn Arbeiter beim Bummeln erwischt werden, verlieren sie die Kaution und müssen – wenn alle Firmen eine Kaution verlangen – einem anderen Arbeitgeber erneut eine Kaution bezahlen, um wieder eingestellt zu werden. Jedoch tritt hier das Problem des Moral Hazard seitens des Unternehmens auf. Es hätte einen Anreiz, den Arbeitskräftigen Bummeln zu unterstellen und somit deren Kaution behalten und neue Arbeitskräfte einstellen zu können, die wiederum eine Kaution hinterlegen.

Eine andere Möglichkeit, das Anreizproblem zu lösen, ist die Senioritätsentlohnung. Den Arbeitskräften wird zunächst ein Lohn gezahlt, der unter ihrer Produktivität liegt und später darüber. Ein Angestellter hat somit keinen Anreiz zum Shirken, da er bei der Entlassung seinen zukünftig höheren Lohn verlieren würde. Jedoch besteht auch hier der problematische Anreiz für die Unternehmen, Angestellte, die einen Lohn über ihrer Produktivität erhalten, zu entlassen und sie durch neue Arbeitskräfte zu ersetzen. Wäre das Anstrengungsniveau der Angestellten jedoch beobachtbar, so hätte das Unternehmen keine Möglichkeit, die Arbeitskräfte zu betrügen.

Becker/Stigler Modell

Das Becker/Stiegler Modell stellt eine vereinfachte Variante für zwei Perioden dar.[2] Dabei kann sich der Arbeitnehmer in jeder der beiden Perioden dafür entscheiden, entweder einen hohen Arbeitseinsatz zu zeigen oder einen niedrigen (Leistungszurückhaltung, englisch shirking). Mit einer gewissen Wahrscheinlichkeit wird er entdeckt, wenn er nur eine niedrige Arbeitsleistung zeigt. Außerdem erhält er einen unmittelbaren geldwerten Vorteil (beispielsweise durch eingespartes Arbeitsleid). Wenn ein Arbeitnehmer entdeckt wird, so geschieht dies zu Beginn der Periode und er wird sofort und ohne Entlohnung entlassen. Er erhält dann auch nicht den Vorteil , sondern einen Alternativlohn aus der nächstbesten Beschäftigung. Dabei sind:

  • , : Löhne der jeweiligen Periode
  • , : Alternativlöhne der jeweiligen Periode
Periode 2

Die Unternehmensleitung versucht, die Löhne so festzusetzen, dass Shirking verhindert wird.

Aus der Abbildung resultiert ein Mindestlohn, der den Arbeitnehmer gerade vom Shirken abhält:

was zu Folgendem Lohn für Periode 2 führt:

Der Lohn muss umso höher sein:

  • Je höher der Alternativlohn ist, denn mit steigendem sinken die Opportunitätskosten für Shirking für den Angestellten
  • Je größer der Shirking-Vorteil ist, denn mit steigendem steigt der Shirking-Anreiz für den Angestellten.
  • Je geringer die Entdeckungswahrscheinlichkeit ist, da mit sinkendem die erwarteten Opportunitätskosten für Shirking für den Arbeitnehmer sinken.

Nun wird Periode 1 betrachtet: Auch hier resultiert ein Mindestlohn, der den Arbeitnehmer vom Shirking abhält. bezeichne den Zinssatz, mit dem das Einkommen des Angestellten verzinst wird.

Periode 1

Mit dem Ausdruck für erhält man:

Für die Effizienzlöhne gilt Folgendes:

  • und : Der Arbeitnehmer hat im Fall einer Entlassung Opportunitätskosten in Form eines geringeren Lohnes zu tragen. Er ist grundsätzlich daran interessiert, in diesem Unternehmen weiterzuarbeiten.
  • , da : In der ersten Periode würde der Arbeitnehmer und verlieren, wenn er beim Shirking erwischt wird. In der zweiten Periode steht nur noch zur Verfügung, um den Arbeitnehmer vom Shirking abzuhalten. Deshalb muss höher angesetzt werden als .

Fluktuationskostenargument

Ein weiterer Erklärungsansatz im Effizienzlohnbereich beschäftigt sich vor allem mit der Bedeutung der Kosten nach Kündigung und Neueinstellung. Zugrunde liegt die Annahme, dass Mitarbeiter kündigen, um sich auf dem Arbeitsmarkt nach besseren Angeboten umzusehen. Mitarbeiter haben keinen Anreiz, das Unternehmen zu wechseln, wenn sie in ihrer aktuellen Position einen Lohn erhalten, der über dem Durchschnitt liegt. Die Fluktuationskosten entstehen direkt und indirekt. Auf direkte Weise durch Bewerbungsgespräche oder Kosten durch Einarbeitung; indirekt werden Kosten beispielsweise durch eine geringere Produktivität während der Einarbeitung anfallen. Diese Ausgaben sind für die Unternehmen unabwendbar, da jeder Neueingestellte, ersetzt er den scheidenden Mitarbeiter auch noch so schnell, eine niedrigere Effizienz aufweist und er das Unternehmen somit mehr kostet als ein erfahrener Mitarbeiter.

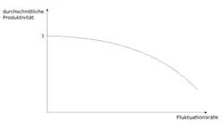
Produktivität und optimaler Lohn

Mit steigender Fluktuationsrate sinkt die Produktivität. Die Produktivität eines vollkommen eingearbeiteten Arbeiters ist auf 1 normiert.

Die Fluktuationsrate eines Unternehmens ergibt sich als das Verhältnis zwischen der jährlichen Auflösung von Beschäftigungsverhältnissen und der Anzahl an Angestellten. Mit steigender Fluktuationsrate wächst der Anteil der relativ unerfahrenen Arbeitskräfte im Unternehmen. Daraus lässt sich auf eine Beziehung zwischen der durchschnittlichen Arbeitsproduktivität und der Fluktuationsrate schließen, denn neue Arbeitskräfte benötigen Zeit, bis sie sich mit der Technologie und der Organisation des Arbeitsplatzes vertraut gemacht haben.

Je höher der Lohn ist, den ein Arbeitnehmer erhält, desto geringer ist sein Anreiz, zu kündigen, da die Wahrscheinlichkeit abnimmt, eine noch besser bezahlte Arbeitsstelle zu finden. Die Fluktuationsrate nimmt mit steigendem Lohn ab.

  • : Lohn
  • : durchschnittlicher Lohn
  • : relativer Lohn
Produktivitätskurve

Die Produktivitätskurve zeigt den Zusammenhang von relativem Lohn und durchschnittlicher Arbeitsproduktivität. Mit steigendem relativen Lohn nimmt die Arbeitsproduktivität zu.

Die Produktionsfunktion eines Unternehmens ist gegeben durch: mit

  • : Anzahl der Angestellten in diesem Unternehmen
  • : Output
  • : Durchschnittliche Produktivität

Das Unternehmen maximiert seinen Gewinn, indem es für ein gegebenes die Anzahl an Arbeitskräften und den relativen Lohn wählt:

Die optimale Nachfrage nach Arbeit als eine Funktion des durchschnittlichen Lohnes.

Aus den Bedingungen erster Ordnung

resultiert als der optimale relative Lohn :

und die optimale Menge an Arbeit, die das Unternehmen nachfragt:

Arbeitslosigkeit

Die Fluktuationsrate hängt nicht nur vom relativen Lohn, sondern auch vom Zustand des Arbeitsmarktes ab. Je höher die Arbeitslosenquote ist, desto weniger Mitarbeiter werden kündigen und bemühen sich mehr, eine Entlassung zu vermeiden, was die Produktivität erhöht. Auf der anderen Seite, wenn die Arbeitslosenquote niedrig ist, haben die Arbeitnehmer bessere Aussichten, eine besser bezahlte Anstellung zu finden, was die Produktivität verringert und zu einer Überschussnachfrage nach Arbeit führt.

Die Produktivität hängt nun vom relativen Lohn und der Überschussnachfrage nach Arbeit ab und kann geschrieben werden als:

  • Ein Anstieg in erhöht die durchschnittliche Produktivität
  • Ein Anstieg in senkt die durchschnittliche Produktivität

Für ein gegebenes und bei einer hohen Arbeitslosenquote ist die Fluktuation gering und der Einfluss einer Lohnerhöhung auf Fluktuation und Produktivität sind gering. Besteht hingegen ein hoher Nachfrageüberschuss nach Arbeit, ist der Einfluss des Lohnes auf Fluktuation und Produktivität größer. Eine Erhöhung der Überschussnachfrage auf dem Arbeitsmarkt verschiebt die Produktivitätskurve nach unten. steigt.

Alle Firmen versuchen, die Fluktuationsrate in ihrem Unternehmen zu verringern, indem sie die Löhne bis zu einem gewissen Punkt erhöhen, an dem die daraus resultierende Arbeitslosigkeit allein die Fluktuationsrate verringert.

Gleichgewicht

Im Anfangspunkt herrscht ein durchschnittlicher Lohn und eine bestimmte Überschussnachfrage nach Arbeit . Jedes Unternehmen wählt den optimalen relativen Lohn und die optimale Arbeitsnachfrage . Daraus entsteht eine neue Überschussnachfrage , woraufhin ein neues gewählt wird, was auch einen neuen durchschnittlichen Lohn mit sich bringt. Dieser Prozess setzt sich weiter fort, bis sich ein Gleichgewichtslohn einspielt. Löhne, die unterhalb dieses Niveaus liegen, werden zunehmen und Löhne oberhalb dieses Niveaus werden abnehmen, sodass sich stabilisiert. Außerdem existiert im Gleichgewicht eine natürliche Überschussnachfrage nach Arbeit .

  • Ein sehr hohes Lohnniveau führt zu einer sehr hohen Arbeitslosenquote. Allein das wird die Fluktuation vermindern, sodass keine zusätzlichen Lohnanreize notwendig sind. Alle Unternehmen versuchen, ihren Lohn unterhalb des Durchschnitts anzusetzen, was eine Abnahme des durchschnittlichen Lohnniveaus mit sich bringt.
  • Ein sehr niedriges Lohnniveau führt zu einer Knappheit an Arbeit. Die Fluktuationsrate ist so hoch, dass sie schädlich für das Unternehmen wäre, wenn dieses keine Löhne weit über dem Durchschnitt zahlt. Dies führt zu einer Zunahme des allgemeinen Lohnniveaus.

Adverse Selektion

Der Theorie der adversen Selektion liegt die Annahme zugrunde, dass die Arbeitskräfteschar heterogen ist und eine asymmetrische Informationsverteilung zwischen Arbeitgeber und Arbeitnehmer vorliegt. Diese spiegelt sich in der unvollständigen Kenntnis des Arbeitgebers über die Fähigkeiten der Arbeitnehmer wider. Um die Durchschnittsqualität der Arbeitnehmer zu erhöhen, setzt das Unternehmen den Lohn so, dass damit die Arbeitskosten je Effizienzeinheit minimiert werden. Höhere Lohnangebote ermöglichen es dem Unternehmen, die fähigsten Arbeitnehmer aus dem Bewerberpool anzuziehen. Ein höherer Lohn erhöht sowohl die Anzahl als auch die Fähigkeiten derer, die eingestellt werden.

Unternehmen bieten auch hier Arbeitsentgelte an, die über dem markträumenden Lohn liegen, wodurch Arbeitslosigkeit entsteht. Ein Arbeitsloser kann seine Arbeitskraft nicht zu einem niedrigeren Lohn anbieten, da das Unternehmen dieses Angebot so deuten würde, dass die Produktivität dieses Arbeiters niedriger wäre als die der Arbeitnehmer mit einem höheren Akzeptanzlohn.

Somit wird deutlich, warum Unternehmen auf Nachfragerückgänge am Gütermarkt mit Entlassungen und nicht mit Lohnkürzungen reagieren. Lohnkürzungen hätten zur Folge, dass die qualifiziertesten Arbeitskräfte kündigen würden.

Der Lohn hat hier die zusätzliche Aufgabe, Arbeitnehmer mit hoher Arbeitsleistung anzuziehen und dient als Indikator für die Arbeitsqualität.

Soziologische Theorien

In den soziologischen Effizienzlohntheorien spielen soziale Normen eine Rolle bei der individuellen Entscheidung über die Höhe der Arbeitsanstrengung. Potentielle Einflussgrößen auf die Bildung von Normen sind Vorstellungen über ein gerechtes Verhältnis von Arbeitsanstrengung und Lohn, die Arbeitslosenquote oder die Löhne von Referenzgruppen[3]. Für ein Unternehmen kann es gewinnbringend sein, einen Lohn über dem markträumenden Niveau zu zahlen, wenn dadurch die individuelle Arbeitsleistung steigt.

Der Gift-Exchange-Ansatz

Der Gift-Exchange-Ansatz bezieht traditionelle soziologische Aspekte in die Erklärung von Effizienzlöhnen mit ein. Dabei sind die Normen einer Arbeitsgruppe ein entscheidender Einflussfaktor auf die Arbeitsleistung der Arbeitnehmer. Die Norm muss allerdings nicht mit der vom Unternehmen gesetzten Mindestanforderung identisch sein. Eine Arbeitsleistung, die die Mindestanforderung übersteigt, wird als Geschenk der Arbeitnehmer an das Unternehmen betrachtet. Der Grund für das Geschenk an das Unternehmen sind freundschaftliche Gefühle für Kollegen und das Unternehmen selbst, die die Arbeitnehmer bei ihrer Tätigkeit entwickeln. Diese Geschenke erhöhen den Nutzen der Arbeitnehmer und orientieren sich an den allgemein anerkannten Normen. Für die Geschenke erwarten die Arbeitnehmer aber auch ein Gegengeschenk in Form einer fairen Entlohnung und einer fairen Höhe der Mindestanforderung der Arbeitsleistung. Welche Norm der Anstrengung sich bildet und in welchem Verhältnis der Austausch der Geschenke stattfindet, hängt davon ab, was die Arbeitnehmer unter einer angemessenen Arbeitsleistung pro Tag verstehen. Solange sie sich fair behandelt fühlen, werden sie eine Arbeitsleistung erbringen, die über dem erforderlichen Niveau liegt. Durch die Beziehung von Arbeitsnormen und Löhnen kommt es zu einem Gleichgewicht, in dem die Unternehmen einen Lohn über dem markträumenden Lohn zahlen und in dem deshalb Arbeitslosigkeit besteht. Eine Kritik an diesem Ansatz ist in den positiven Gefühlen der Beschäftigten, die als natürliches Verhalten proklamiert werden, gegenüber dem Unternehmen zu sehen.

Das Fair-wage/Effort-Modell

In diesem Modell wird davon ausgegangen, dass die Leistung eines Arbeitnehmers davon abhängt, ob er seinen Lohn als gerecht empfindet. Als fair wird ein Lohn dann akzeptiert, wenn gleiche Leistungen gleich entlohnt werden, die wahrgenommene Arbeitsleistung der wahrgenommenen Entlohnung entspricht oder wenn die Kosten des Arbeitsverhältnisses wie etwa Ausbildungskosten oder Opportunitätskosten erstattet werden. Weitere Determinanten der Vorstellung eines gerechten Lohnes sind:

  • Markträumender Lohn: Lohnforderungen liegen normalerweise über diesem Niveau. Ein Lohn unterhalb dieses Niveaus wird nicht als faire Entlohnung akzeptiert werden.
  • Arbeitslosenquote: Je höher die Arbeitslosenquote ist, desto geringer ist die als fair betrachtete Lohnforderung.
  • Referenzgruppen: Da es für die Arbeitnehmer von großer Bedeutung ist, dass gleiche Leistungen auch gleich entlohnt werden, ist es relevant, welche Referenzgruppen bei der Vorstellung des gerechten Lohnes betrachtet werden. Dabei wählen Arbeitnehmer mit einem egoistischen Standpunkt eher ähnliche Arbeiter als Referenzgruppe, während Arbeitnehmer mit einem fraternalistischen Standpunkt sich eher mit unterschiedlichen Arbeitern vergleichen.

Eine Unterbezahlung führt zwar dazu, dass die Arbeitsanstrengung verringert wird, eine Überbezahlung führt jedoch nicht zu einer weiteren Leistungssteigerung des Arbeitnehmers. Dieses Konzept stützt sich auf die Theorie der ausgleichenden Gerechtigkeit von Homans.[4] Danach wird eine Person, die in einer Tauschbeziehung mit einer anderen steht, eine Proportionalität des Austausches erwarten. Wird dieses Gesetz verletzt, so wird die benachteiligte Person Aktivitäten ausüben, die die Ungerechtigkeit korrigieren sollen. Ein Arbeitnehmer, der einen aus seiner Sicht zu geringen Lohn erhält, wird demgemäß seine Arbeitsleitung reduzieren, bis er das Verhältnis wieder als ausgeglichen betrachtet.

Psychologischer Ansatz

Equity-Theorie

Neben den soziologischen Erklärungsansätzen lässt sich durch die Equity-Theorie ein ähnlicher Zusammenhang zwischen Lohn und Leistung aus psychologischer Perspektive erklären. Diese Theorie geht auf Leon Festinger zurück und nimmt insbesondere Bezug auf die Theorie der kognitiven Dissonanz. Kognitive Dissonanz entsteht, wenn das Austauschverhältnis von Arbeitsanstrengung und Lohn von zwei Personen als unterschiedlich wahrgenommen wird. Auch hier wird das Bedürfnis geweckt, auf das ungerechte Austauschverhältnis derart einzuwirken, dass Gerechtigkeit erreicht wird. Dabei handelt es sich stets um die individuelle Wahrnehmung von Inputs und Outputs. Ein gerechtes Austauschverhältnis kann durch folgende Möglichkeiten erreicht werden:

  • Veränderung der Inputs und Outputs: Der Arbeitnehmer kann den Input in Form seiner Arbeitsanstrengung oder den Output durch eine Veränderung seines Lohnes variieren.
  • Bewertungsspielraum: Inputs und Outputs sind nicht eindimensional, sondern bestehen aus mehreren Komponenten. Ein Beispiel für die Veränderung einer Komponente bei den Inputs wäre ein Individuum mit einem besser bezahlten Arbeitskollegen, der einen höheren Lohn erhält, aber auch einen höheren Schulabschluss vorweisen kann. Die wahrgenommene Ungerechtigkeit reduziert sich somit, wenn die Komponente Ausbildung ein höheres Gewicht bekommt.
  • Wechseln des Bezugspartners: Eine Möglichkeit besteht darin, die Transaktion durch eine Kündigung zu beenden. Eine andere Möglichkeit besteht darin, sich einen anderen Bezugspartner zu suchen.

Experimente[5][6] haben gezeigt, dass Personen, die sich unterbezahlt fühlen, ihre Arbeitsanstrengung vermindern. Überbezahlte Versuchspersonen erhöhen jedoch sehr selten ihre Arbeitsanstrengung. Dies lässt sich damit erklären, dass es für überbezahlte Arbeitskräfte einfacher ist, ihren Arbeitsinput höher zu bewerten als es für unterbezahlte Arbeitskräfte ist, ihre Arbeitsleistung abzuwerten. Außerdem resultierte aus den Experimenten, dass sowohl unter- als auch überbezahlte Arbeitskräfte eine geringere Arbeitsunzufriedenheit vorwiesen als angemessen bezahlte Arbeitskräfte.

Einzelbelege

  1. a b C. Shapiro, J. Stiglitz: Equilibrium unemployment as a worker discipline device. In: American Economic Review. Juni 1984.
  2. M. Kräkel: Organisation und Management. Mohr Siebeck, Tübingen 2012, S. 97–102.
  3. G. A. Akerlof: Gift Exchange and Efficiency Wage Theory. Four Views. In: American Economic Review. Band 74, 1984.
  4. G. C. Homans: Elementarformen sozialen Verhaltens. Köln 1968.
  5. R. D. Pritchard: Equity Theory: A Review and Critique. In: Organizational Behaviour and Human Performance. Band 4, 1969.
  6. M. G. Evans, L. Molinari: Equity, Piece-Rate Overpayment, and Job Security: Some Effects on Performance In: Journal of Applied Psychology. Band 54, 1970.

Literatur

  • George A. Akerlof: Labor Contracts as Partial Gift Exchange. In: Quarterly Journal of Economics. Band 97, 1982, S. 543–569.
  • George A. Akerlof, Janet Yellen: The Fair Wage/Effort Hypothesis and Unemployment. Mimeo, Berkeley 1987.
  • M. Kräkel: Organisation und Management. Mohr Siebeck, Tübingen 2012.
  • Gisela Kubon-Gilke: Motivation und Beschäftigung. Campus Verlag, Frankfurt am Main / New York 1990.
  • S. C. Salop: A Model of the Natural Rate of Unemployment. In: American Economic Review. 69, 1979, S. 117–125.
  • E. Schlicht: Labour Turnover, Wages Structure, and Natural Unemployment. In: Journal of Institutional and Theoretical Economics. Band 134, 1978, S. 337–364.
  • Florian Schwimmer: Firmengröße und Entlohnung: eine Neuinterpretation auf Basis arbeitsteiliger Prozesse. Univ., Diss., München 2007.
  • W. Sesselmeier, G. Blauermel: Arbeitsmarkttheorien. Ein Überblick. Physica, Heidelberg 1997.
  • C. Shapiro, J. E. Stiglitz: Equilibrium Unemployment as a Worker Disciplin Device. In: American Economic Review. Band 74, 1984, S. 433–444.
  • R. M. Solow: Another Possible Source of Wage Stickiness. In: Journal of Macroeconomics. 1, 1979, S. 79–82.
  • J. L. Yellen: Efficiency Wage Models of Unemployment. In: American Economic Review Band 74, 1984, S. 200–205.