Dichlorethin
| Strukturformel | ||||||||||||||||
|---|---|---|---|---|---|---|---|---|---|---|---|---|---|---|---|---|
| ||||||||||||||||
| Allgemeines | ||||||||||||||||
| Name | Dichlorethin | |||||||||||||||
| Andere Namen |
Dichloracetylen | |||||||||||||||
| Summenformel | C2Cl2 | |||||||||||||||
| Kurzbeschreibung |
farblose Flüssigkeit mit unangenehmem, süßlichen Geruch[1] | |||||||||||||||
| Externe Identifikatoren/Datenbanken | ||||||||||||||||
| ||||||||||||||||
| Eigenschaften | ||||||||||||||||
| Molare Masse | 94,93 g·mol−1 | |||||||||||||||
| Aggregatzustand |
flüssig | |||||||||||||||
| Dichte |
0,952 g·cm−3 (20 °C)[2] | |||||||||||||||
| Schmelzpunkt | ||||||||||||||||
| Siedepunkt |
32 °C[1] | |||||||||||||||
| Löslichkeit |
löslich in Ethanol, Diethylether, Aceton[3] | |||||||||||||||
| Sicherheitshinweise | ||||||||||||||||
| ||||||||||||||||
| MAK |
Schweiz: 0,1 ml·m−3 bzw. 0,4 mg·m−3[5] | |||||||||||||||
| Wenn nicht anders vermerkt, gelten die angegebenen Daten bei Standardbedingungen (0 °C, 1000 hPa). | ||||||||||||||||
Dichlorethin ist eine organische Chlorkohlenstoffverbindung, die als chloriertes Derivat des Ethins angesehen werden kann.
Geschichte
Eine erste Erwähnung der Verbindung als Zwischenprodukt erfolgte im Jahr 1918 bei einer Synthese von Tolan mit den Ausgangsstoffen Calciumcarbid, Chlor und Benzol.[6] Die ersten Herstellungen wurden 1930 zum einen aus Trichlorethen in Gegenwart von Kaliumhydroxid und Calciumoxid bei 130 °C[7] und zum anderen aus Ethin und Chlor[8] beschrieben.

Gewinnung und Darstellung
Eine Vielzahl von Darstellungsvarianten von Dichlorethin basieren auf der Einwirkung von Alkalihydroxiden bzw. Alkalilaugen auf Trichlorethen.[9] Die Dehydrohalogenierung von Trichlorethen gelingt auch mittels Lithium-bis(trimethylsilyl)amid bei −78 °C. Diese Synthese in Gegenwart von Diethylether ergibt ein stabileres 1:1-Addukt.[10] Eine Herstellung mit hoher Ausbeute kann durch die Umsetzung von Trichlorethen mit Kaliumhydrid in Gegenwart einer katalytischen Menge an Methanol in Tetrahydrofuran erfolgen.[11] Die direkte Chlorierung von Ethin gelingt mittels Kaliumhypochlorit.[12]

Die Pyrolyse von Dichlormaleinsäureanhydrid bei 850 °C ergibt ebenfalls die Verbindung.[13]
Eigenschaften
Dichlorethin ist eine sehr flüchtige Flüssigkeit, die unter Normaldruck schon bei 32 °C siedet.[1] Die molare Verdampfungsenthalpie beträgt 27,4 kJ·mol−1[14] Mit einer molaren Bildungsenthalpie von 199 kJ·mol−1 handelt es sich um eine stark endotherme Verbindung[14], die zum explosiven Zerfall neigt und sich an der Luft spontan entzündet.[2][15] Eine stabile 1:1-Verbindung mit Diethylether mit einem Gehalt von 55,4 % Dichlorethin ist nicht explosiv und an der Luft stabil.[2][15][16]
Verwendung
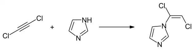
Die Verbindung wird wegen der hohen gesundheitsschädlichen Wirkung und der chemischen Instabilität kommerziell nicht genutzt.[3] In der organischen Synthese kann das 1:1-Addukt mit Diethylether zur Einführung einer Vinyl-, Ethinyl- oder Dichlorvinylfunktion in organische Moleküle verwendet werden.[10] Die Umsetzung z. B. mit Imidazol ergibt das N-(1,2-Dichlorvinyl)-imidazol.[10]

Toxikologie
Der Stoff ist nach den Technischen Regeln für Gefahrstoffe (TRGS) 905 als krebserzeugend für den Menschen in der Kategorie K1B eingestuft.[1]
Weblinks
Einzelnachweise
- ↑ a b c d e f Eintrag zu Dichloracetylen in der GESTIS-Stoffdatenbank des IFA, abgerufen am 8. Februar 2020. (JavaScript erforderlich)
- ↑ a b c John Wotiz, Francis Huba, Robert Vendley: Notes- α-Chloroacetylenes. In: The Journal of Organic Chemistry. 26, Nr. 5, 1961, S. 1626–1627, doi:10.1021/jo01064a600.
- ↑ a b IARC Working Group on the Evaluation of Carcinogenic Risks to Humans (Hrsg.): Re-evaluation of some organic chemicals, hydrazine and hydrogen peroxide (= IARC monographs on the evaluation of carcinogenic risks to humans. Band 71). World Health Organization, International Agency for Research on Cancer, Lyon 1999, ISBN 978-92-832-1271-3, S. 369–378 (iarc.fr).
- ↑ Eintrag zu dichloroacetylene in der Datenbank ECHA CHEM der Europäischen Chemikalienagentur (ECHA), abgerufen am 1. August 2016. Hersteller bzw. Inverkehrbringer können die harmonisierte Einstufung und Kennzeichnung erweitern.
- ↑ Schweizerische Unfallversicherungsanstalt (Suva): Grenzwerte – Aktuelle MAK- und BAT-Werte (Suche nach 7572-29-4 bzw. Dichlorethin), abgerufen am 2. November 2015.
- ↑ Clinton Davidson: Tolane chlorides from calcium carbide, chlorine and benzene. In: Journal of the American Chemical Society. 40, Nr. 2, 1918, S. 397–400, doi:10.1021/ja02235a009.
- ↑ Erwin Ott, Walter Ottemeyer, Kurt Packendorff: Über das Dichlor-acetylen. In: Berichte der deutschen chemischen Gesellschaft (A and B Series). 63, Nr. 8, 1930, S. 1941–1944, doi:10.1002/cber.19300630810.
- ↑ Patent DE495787: Verfahren zum Ersatz von Wasserstoff an dreifach gebundenem Kohlenstoff gegen Chlor und Brom. Veröffentlicht am 17. April 1930, Anmelder: IG Farben AG.
- ↑ Eintrag zu Trichlorethen. In: Römpp Online. Georg Thieme Verlag, abgerufen am 27. November 2014.
- ↑ a b c Kende, A.S.; Fludzinski, P.: A Convenient Laboratory Synthesis of Dichloroacetylene. In: Synthesis. 1982, 455–456. doi:10.1055/s-1982-29831.
- ↑ Jean Noel Denis, Albert Moyano, Andrew E. Greene: Practical synthesis of dichloroacetylene. In: The Journal of Organic Chemistry. 52, Nr. 15, 1987, S. 3461–3462, doi:10.1021/jo00391a059.
- ↑ Fritz Straus, Leo Kollek, Walther Heyn: Über den Ersatz positiven Wasserstoffs durch Halogen. In: Berichte der deutschen chemischen Gesellschaft (A and B Series). 63, 1930, S. 1868–1885, doi:10.1002/cber.19300630739.
- ↑ R.M. Trifu: Homopolymers of Dihaloacetylenes. Dissertation, University of Illinois at Chicago 1999, ISBN 978-0-549-39503-4 (eingeschränkte Vorschau in der Google-Buchsuche).
- ↑ a b Jeffrey A. Manion: Evaluated Enthalpies of Formation of the Stable Closed Shell C1 and C2 Chlorinated Hydrocarbons. In: Journal of Physical and Chemical Reference Data. 31, Nr. 1, 2002, S. 123–172, doi:10.1063/1.1420703.
- ↑ a b P.G. Urben; M.J. Pitt: Bretherick's Handbook of Reactive Chemical Hazards. 6. Edition, Vol. 1, Butterworth/Heinemann 1999, ISBN 0-7506-3605-X, S. 229.
- ↑ Erwin Ott: Über das Dichloracetylen, III. Mitteil.: Darstellung und einige Vorlesungsversuche mit der gefahrlos zu handhabenden Molekülverbindung mit Äther. In: Berichte der deutschen chemischen Gesellschaft (A and B Series). 75, Nr. 12, 1942, S. 1517–1522, doi:10.1002/cber.19420751215.


