Calone
| Strukturformel | |||||||||||||||||||
|---|---|---|---|---|---|---|---|---|---|---|---|---|---|---|---|---|---|---|---|
| |||||||||||||||||||
| Allgemeines | |||||||||||||||||||
| Name | Calone | ||||||||||||||||||
| Andere Namen |
| ||||||||||||||||||
| Summenformel | C10H10O3 | ||||||||||||||||||
| Externe Identifikatoren/Datenbanken | |||||||||||||||||||
| |||||||||||||||||||
| Eigenschaften | |||||||||||||||||||
| Molare Masse | 178,187 g·mol−1 | ||||||||||||||||||
| Aggregatzustand |
fest, weiße Kristalle[1] | ||||||||||||||||||
| Schmelzpunkt |
38–41 °C[1] | ||||||||||||||||||
| Siedepunkt |
158 °C[1] | ||||||||||||||||||
| Löslichkeit |
| ||||||||||||||||||
| Sicherheitshinweise | |||||||||||||||||||
| |||||||||||||||||||
| Toxikologische Daten | |||||||||||||||||||
| Wenn nicht anders vermerkt, gelten die angegebenen Daten bei Standardbedingungen (0 °C, 1000 hPa). | |||||||||||||||||||
Calone oder Methylbenzodioxepinon, im Englischen auch Watermelon Ketone, Handelsname Calone 1951, wurde 1966 bei der Firma Pfizer entdeckt. Man verwendet es zur Erzeugung des Gerucheindrucks von frischer Seeluft und Meeresnuancen. Calone hat eine ähnliche Struktur wie einige alicyclische C11-Kohlenwasserstoffe, z. B. Ectocarpene, die von Braunalgen als Pheromone ausgeschieden werden.
Herstellung
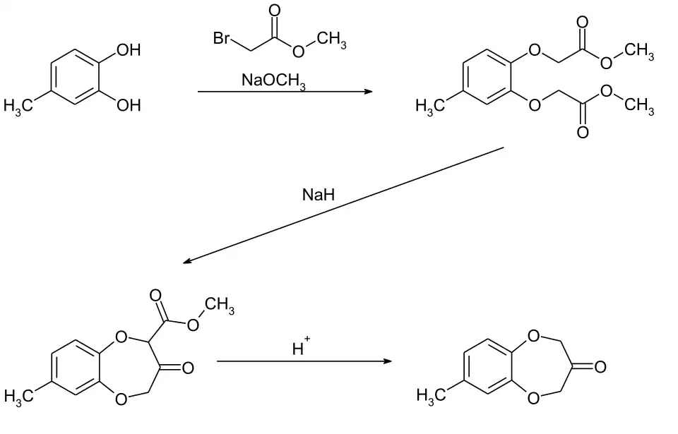
Eine industrielle Synthese geht vom 4-Methylbrenzcatechin aus, das im ersten Schritt durch eine Wiliamson-Reaktion in Gegenwart von Natriummethylat mit Bromessigsäuremethylester verethert wird. Mittels Natriumhydrid erfolgt in einer Dieckmann-Kondensation anschließend der Ringschluss. Die Zielverbindung resultiert dann nach einer Verseifung und anschließender säurekatalisierten Decarboxylierung.[2]
Eine neuere Synthese erfolgt als einstufige Variante aus 1,3-Dichloraceton und 4-Methylbrenzcatechin in Gegenwart von Triethylamin und Kaliumiodid.[3]
Verwendung
Calone ist ein ungewöhnlicher Duftstoff, der einen Geruch nach „Seebrise“ mit leichten floralen Anklängen hat. Es wurde seit den 1980er-Jahren in mehreren Parfüms wegen seines speziellen Geruchs eingesetzt, speziell in der Welle des Marinetrends in den USA in den beginnenden 1990er-Jahren.[4]
Eine Auswahl von Calone enthaltenden Parfüms:[5]
- Sun Men (Jil Sander)
- Hugo Element (Hugo Boss)
- Sun Bath (Jil Sander)
- My Land (Trussardi)
- Mare Pacifico (Linari)
- Eternity Summer 2013 (Calvin Klein)
- Zeitgeist (J.F. Schwarzlose Berlin)
- New West for Her (Aramis)
- Neroli 36 (Le Labo)
- Musc Monoï (Parfums de Nicolaï)
- Oriental Essences – Fleurs de L’Himalaya (Rituals)
- L’Eau d’Issey City Blossom (Issey Miyake)
- Summer Sailing (Clean)
- Eau Simple de Concombre (Phaedon)
- Kenzo Homme Fresh (Kenzo)
- Eryo Blue von Yves Rocher
- Acqua di Giò (Armani)
- Méditerranée (Molinard)
Weblinks
Einzelnachweise
- ↑ a b c d e f g h i The Good Scents company, abgerufen am 26. Oktober 2015.
- ↑ Kraft, P.; Bajgrowicz, J.A.; Denis, C.; Fráter, G.: Allerlei Trends: die neusten Entwicklungen in der Richstoffchemie in Angew. Chem. 112 (2000) 3106–3138, doi:10.1002/1521-3757(20000901)112:17<3106::AID-ANGE3106>3.0.CO;2-P.
- ↑ Patent CN102584781: Method for preparing and purifying calone. Veröffentlicht am 20120718, Erfinder: Yue, Zhizhou; Liang, Yukun; Xu, Bo.
- ↑ Calone - Infos zur Dufnote, beliebte Parfums und mehr. Abgerufen am 8. Februar 2025.
- ↑ Calone in Parfumo ( vom 4. März 2016 im Internet Archive), abgerufen am 8. November 2015.

