Brillantblau FCF
| Strukturformel | |||||||||||||||||||
|---|---|---|---|---|---|---|---|---|---|---|---|---|---|---|---|---|---|---|---|
| |||||||||||||||||||
| Allgemeines | |||||||||||||||||||
| Name | Brillantblau FCF | ||||||||||||||||||
| Andere Namen | |||||||||||||||||||
| Summenformel | C37H34N2Na2O9S3 | ||||||||||||||||||
| Kurzbeschreibung |
geruchloses, lilafarbenes Pulver[3] | ||||||||||||||||||
| Externe Identifikatoren/Datenbanken | |||||||||||||||||||
| |||||||||||||||||||
| Eigenschaften | |||||||||||||||||||
| Molare Masse | 792,85 g·mol−1 | ||||||||||||||||||
| Aggregatzustand |
fest | ||||||||||||||||||
| Schmelzpunkt |
283 °C[3] | ||||||||||||||||||
| Löslichkeit |
löslich in Wasser[3] | ||||||||||||||||||
| Sicherheitshinweise | |||||||||||||||||||
| |||||||||||||||||||
| Toxikologische Daten | |||||||||||||||||||
| Wenn nicht anders vermerkt, gelten die angegebenen Daten bei Standardbedingungen (0 °C, 1000 hPa). | |||||||||||||||||||
Brillantblau FCF (E 133) ist ein blauer Triphenylmethanfarbstoff, der als Lebensmittelfarbstoff verwendet wird. Er gehört zur anwendungstechnischen Gruppe der Säurefarbstoffe und zählt zu den Patentblau-Farbstoffen.
Eigenschaften
Brillantblau FCF ist ein rötlich-blaues Pulver, wasserlöslich und stabil. Mit sinkendem pH-Wert zersetzt sich der Farbstoff, wodurch das farbgebende π-Elektronensystem verkürzt wird. Dadurch schlägt die Farbe von Blau zuerst nach Grün und dann nach Gelb um. Sinkt der pH-Wert noch weiter, entfärbt sich Brillantblau vollständig. Die neutrale Lösung hat ein Absorptionsmaximum bei λmax. = 630 nm.
Herstellung
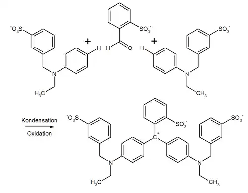
Brillantblau FCF wird aus dem Natriumsalz der 2-Formyl-benzolsulfonsäure („2-Sulfobenzaldehyd“) und 3-{[Ethyl(phenyl)amino]methyl}benzolsulfonsäure hergestellt:

In Handel ist das Dinatriumsalz. Auch das Calcium-, Ammonium-[6] und Kaliumsalz[7] sowie der Aluminiumlack des Farbstoffes sind zugelassen.
Verwendung

Brillantblau FCF wird zur Färbung von Getränken, Speisen und Medikamenten verwendet sowie in flüssigen Tensidprodukten (Flüssigwaschmittel, Weichspüler) und in Mundwasser, Gel-Zahnpasta und Parfüms.[8]
Um Grün-, Violett- oder Brauntöne zu erreichen, wird Brillantblau FCF mit anderen Farbstoffen gemischt, z. B. mit Tartrazin (E 102), um Grüntöne zu erzeugen.
Gesundheit
Brillantblau FCF gilt als unbedenklich.[9] Als erlaubte Tagesdosis wurden 6 mg/kg Körpergewicht festgesetzt.[10] Der größte Teil des Farbstoffs wird unverändert ausgeschieden.[11]
Rechtliche Situation
Brillantblau FCF ist nur für bestimmte Produkte zugelassen.[12] Dazu gehören unter anderem:[11]
- essbare Überzüge für Käse und Wurst (qs)
- Süßigkeiten (max. 300 mg/kg)
- Kuchen, Kekse, Gebäck (max. 200 mg/kg)
- Spirituosen, Obst- und Fruchtweine (max. 200 mg/kg)
- Speiseeis, Desserts (max. 150 mg/kg)
- Saucen, Würzmittel, Appetithappen (max. 500 mg/kg)[13]
- alkoholische und nicht-alkoholische Getränke[13]
Weblinks
Einzelnachweise
- ↑ Eintrag zu E 133: Brilliant Blue FCF in der Europäischen Datenbank für Lebensmittelzusatzstoffe, abgerufen am 16. Juni 2020.
- ↑ Eintrag zu ACID BLUE 9 in der CosIng-Datenbank der EU-Kommission, abgerufen am 27. April 2020.
- ↑ a b c Eintrag zu Erioglaucine disodium salt bei Thermo Fisher Scientific, abgerufen am 13. Oktober 2023.
- ↑ a b Datenblatt Erioglaucine disodium salt bei Sigma-Aldrich, abgerufen am 20. Mai 2017 (PDF).
- ↑ Eberhard Gross: Über die Erzeugung von Sarkomen durch die besonders gereinigten Triphenylmethanfarbstoffe Lichtgrün SF und Patentblau AE bei der wiederholten subcutanen Injektion an der Ratte. In: Zeitschrift für Krebsforschung. 64, 1961, S. 287, doi:10.1007/BF00525218.
- ↑ Externe Identifikatoren von bzw. Datenbank-Links zu BrilliantBlue FCF Ammonium: CAS-Nr.: 2650-18-2, EG-Nr.: 220-168-0, ECHA-InfoCard: 100.018.335, PubChem: 118705701, ChemSpider: 16602, Wikidata: Q27269761.
- ↑ Externe Identifikatoren von bzw. Datenbank-Links zu Brillantblau FCF Kalium: CAS-Nr.: 71701-18-3, PubChem: 101533083, ChemSpider: 150983, Wikidata: Q82982410.
- ↑ pharmorgana.com: Farbmittel für Kosmetika.
- ↑ das-ist-drin.de: E 133 – Brillantblau FCF
- ↑ EFSA Panel on Food Additives and Nutrient Sources added to Food (ANS): Scientific Opinion on the re-evaluation of Brilliant Blue FCF (E 133) as a food additive: Re-evaluation of Brilliant Blue FCF (E 133) as a food additive. In: EFSA Journal. Band 8, Nr. 11, November 2010, S. 1853, doi:10.2903/j.efsa.2010.1853.
- ↑ a b zusatzstoffe-online.de: E 133 – Brillantblau FCF.
- ↑ Verordnung (EG) Nr. 1333/2008 in der konsolidierten Fassung vom 31. Oktober 2022
- ↑ a b Verordnung zur Neuordnung lebensmittelrechtlicher Vorschriften über Zusatzstoffe vom 29. Januar 1998 (BGBl. I S. 230)
