Brellochs-Reaktion

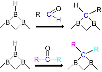
Unter der Brellochs-Reaktion versteht man eine Reaktion aus der Bor-Chemie zur Darstellung von Carboranen aus Boranen oder Boranaten durch Reaktion mit aliphatischen oder aromatischen Aldehyden oder Ketonen.[1] Im Gegensatz zur Synthese von Carboranen aus Boranen und Alkinen entstehen dabei auch Substanzen, die nur ein Kohlenstoff-Atom im Borkäfig enthalten. Benannt wurde die Reaktion nach dem deutschen Bor-Chemiker Bernd Brellochs (München).
In den Untersuchungen zur Brellochs-Reaktion wurden substituierte arachno-Decaboranate mit käfigartiger Struktur wie 6,9-B10H12R1(OR2) verwendet; nach der Reaktion mit einem Aldehyd (R–CHO) oder Keton (R1–CO–R2) entstehen arachno-Carbadecaboranate (auch Carborane genannt), bei denen eines oder mehrere der Bor-Käfigatome durch ein Kohlenstoff-Atom ersetzt sind. Bei Verwendung von substituierten Aldehyden und Ketonen können so verschiedenste Derivate der Carborane erhalten werden:[1]
