Benzo(a)pyren
| Strukturformel | |||||||||||||||||||
|---|---|---|---|---|---|---|---|---|---|---|---|---|---|---|---|---|---|---|---|
| |||||||||||||||||||
| Allgemeines | |||||||||||||||||||
| Name | Benzo[a]pyren | ||||||||||||||||||
| Andere Namen |
| ||||||||||||||||||
| Summenformel | C20H12 | ||||||||||||||||||
| Kurzbeschreibung |
gelbliche Plättchen oder Nadeln[1] mit aromatischem Geruch | ||||||||||||||||||
| Externe Identifikatoren/Datenbanken | |||||||||||||||||||
| |||||||||||||||||||
| Eigenschaften | |||||||||||||||||||
| Molare Masse | 252,32 g·mol−1 | ||||||||||||||||||
| Aggregatzustand |
fest | ||||||||||||||||||
| Dichte |
1,35 g·cm−3 (20 °C)[1] | ||||||||||||||||||
| Schmelzpunkt | |||||||||||||||||||
| Siedepunkt |
495 °C[1] | ||||||||||||||||||
| Löslichkeit | |||||||||||||||||||
| Sicherheitshinweise | |||||||||||||||||||
| |||||||||||||||||||
| Zulassungsverfahren unter REACH |
besonders besorgniserregend: krebserzeugend, erbgutverändernd, fortpflanzungsgefährdend (CMR), persistent, bioakkumulativ und toxisch (PBT), sehr persistent und sehr bioakkumulativ (vPvB)[4] | ||||||||||||||||||
| MAK | |||||||||||||||||||
| Wenn nicht anders vermerkt, gelten die angegebenen Daten bei Standardbedingungen (0 °C, 1000 hPa). | |||||||||||||||||||
Benzo[a]pyren ist ein polycyclischer aromatischer Kohlenwasserstoff. Formal handelt es sich um ein Pyren mit einem zusätzlich anellierten Benzol.
Vorkommen und Entstehung
Benzo[a]pyren kommt im Steinkohlenteer vor. Zudem entsteht es bei der unvollständigen Verbrennung von organischen Stoffen und ist infolgedessen weit verbreitet. So findet man es in Auto- und Industrieabgasen. Während des Rauchens von Zigaretten wird es bei ungefähr 300 °C in der Tabakbrennzone in erheblichen Mengen gebildet.[6][7]
Auch beim Rösten von Kaffeebohnen entsteht Benzo[a]pyren in nachgewiesenermaßen sehr geringen Mengen (0,3 bis 0,5 µg·kg−1).[8]
In Grillprodukten, die über Holzkohle oder Kiefernzapfen zubereitet wurden, lässt sich Benzo[a]pyren ebenfalls nachweisen. Spuren von Benzo[a]pyren kommen im Boden, in Gemüse und Getreide vor.
Gewinnung und Darstellung
Benzo[a]pyren lässt sich aus Kohlenteer und anderen Teeren durch Extraktion gewinnen. Eine frühe im Jahre 1935 beschriebene Synthesevariante startet mit einer Friedel-Crafts-Acylierung von Pyren mit Bernsteinsäureanhydrid. Die resultierende Pyrenoylpropionsäure wird mittels Zink zur Pyrenylbuttersäure reduziert und anschließend in Gegenwart von Zinntetrachlorid cyclisiert. Das Zwischenprodukt Ketotetrahydrobenzopyren wird dann wieder mittels Zink zum Tetrahydrobenzopyren reduziert. Die Bildung des Benzo[a]pyren erfolgt dann durch eine Dehydrierung mittels Schwefel oder Selen.[9]
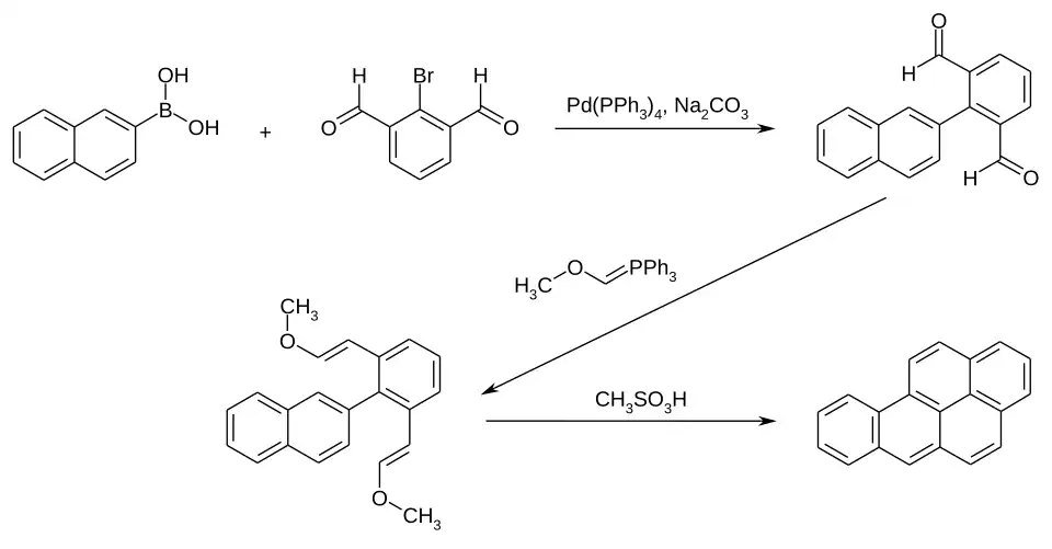
Eine neuere dreistufige Synthese geht von der 2-Naphthylboronsäure aus, welche im ersten Schritt in einer Suzuki-Reaktion mit 2-Brombenzol-1,3-dicarbaldehyd gekuppelt wird. Die Aldehydfunktionen des Kupplungsproduktes werden im zweiten Schritt in einer Wittig-Reaktion mit Methoxymethylentriphenylphosphin umgesetzt. Die Cyclisierung zur Zielverbindung erfolgt dann mittels Methansulfonsäure.[10]
Struktur
Das Benzo[a]pyren-Molekül gehört zu den pentacyclischen, d. h. aus fünf Benzol-Ringen bestehenden polycyclischen aromatischen Kohlenwasserstoffen. Die Ringe sind über ihre Kanten miteinander verbunden (anelliert). Das Molekül besitzt, wie Benzol aufgrund des delokalisierten π-Elektronensystems, aromatischen Charakter.
Eigenschaften
pyrene.jpg)
Benzo[a]pyren ist ein heller, leicht gelblicher kristalliner Feststoff, der entweder in Form von Plättchen mit einer Dichte von 1,282 g·cm−3 oder als Nadeln (Dichte 1,351 g·cm−3) vorliegt. Benzo[a]pyren schmilzt bei 179 °C und siedet bei 495 °C. Die Dampfdruckfunktion ergibt sich nach August entsprechend lg(P) = −A/T+B (P in Pa, T in K) mit A = 4989 und B = 11,59 im Temperaturbereich von 70 °C bis 180 °C.[11] In Wasser und Alkoholen ist es un- bzw. gering löslich. In aromatischen Kohlenwasserstoffen löst es sich hingegen gut, in Benzol z. B. unter violetter Fluoreszenz.
Sicherheitshinweise
Benzo[a]pyren hat eine Akzeptanzkonzentration von 70 ng/m³ und eine Toleranzkonzentration von 700 ng/m³ nach TRGS 910.[1] Der KOC-Wert beträgt 4.500.000 l/kg (Sediment) und der log KOW-Wert 6,15.
Karzinogen
pyrene_metabolism.svg.png)
Benzo[a]pyren ist eine der am längsten bekannten und untersuchten krebserregenden (karzinogenen) Verbindungen. Das Risiko, dass Zigarettenrauch Lungenkrebs hervorruft, wird zu einem großen Teil auf Benzo[a]pyren zurückgeführt. Benzo[a]pyren gilt auch als die Ursache des so genannten Schornsteinfegerkrebses, ein Tumor der Hodenhaut, der sich vor allem durch den Reiz des Rußes entwickelt, in dem Benzo[a]pyren enthalten ist.
Benzo[a]pyren selbst ist dabei nicht giftig, wird allerdings im Körper durch Monooxygenasen aus der Cytochrom-P450-Familie (Subtypen CYP1A1 und CYP1B1) zunächst zu Benzo[a]pyren-7,8-epoxid umgewandelt. Nach der Hydrolyse der Epoxid-Gruppe durch eine Epoxid-Hydrolase wird das entstandene 7,8-Dihydroxybenzo[a]pyren in Position 9 erneut epoxidiert und so zum kanzerogenen Benzo[a]pyren-7,8-dihydroxy-9,10-epoxid umgesetzt.[12] Dessen Epoxid-Gruppe reagiert chemisch mit DNA (genauer gesagt über N2 an Guanin[13]) und beeinträchtigt so die Struktur der DNA, was Zellteilungen verhindern oder Mutationen begünstigen kann.[14]
Es ist nach der VO(EG) Nr. 1272/2008 (CLP-VO) als krebserregend der Kategorie 1B eingestuft.[15]
In Pyrolyseprodukten aus organischem Material (z. B. Steinkohlenruß, -teer oder -pech) können krebserzeugende polycyclische aromatische Kohlenwasserstoffe (PAK) enthalten sein. Diese werden in der TRGS 906 oder in der Richtlinie 2004/37/EG als krebserzeugend der Kategorie 1A oder 1B bezeichnet. Bei Tätigkeiten mit Pyrolyseprodukten, die krebserzeugende PAK enthalten, ist es zulässig, Benzo[a]pyren als Bezugssubstanz zu wählen. So dient Benzo[a]pyren häufig als Leitkomponente für die Bewertung der PAK-Belastung.[16] Benzo[a]pyren kann z. B. in Kokereien, bei Feuerwehrtätigkeiten, bei der Brandschadensanierung und bei Schmiedearbeiten eine Gefahr für die Beschäftigten darstellen.[17]
Laut der Technischen Regel für Gefahrstoffe (TRGS) 910 beträgt die Akzeptanzkonzentration für Benzo[a]pyren 70 ng/m³ (E-Fraktion), die Toleranzkonzentration liegt bei 700 ng/m³ (E-Fraktion). Arbeitsplatzmessungen von Benzo[a]pyren in der einatembaren Staubfraktion im Zeitraum von 2011 bis 2020 zeigen, welche Branchen einem erhöhten Risiko ausgesetzt sind. Dazu gehören u. a. Kokereien, Elektrotechnik, Herstellung feuerfester Waren, chemische Industrie, Bauwirtschaft, Hochöfen, Stahlwerke, Energiegewinnung, Stahlbearbeitung.[18]
Wassergefährdung
Für im Wasser lebende Organismen ist es sehr giftig. Es ist daher nach der CLP-VO als Aquatic Acute 1 und Aquatic Chronic 1 eingestuft.[19] Nach der deutschen Verordnung über Anlagen zum Umgang mit wassergefährdenden Stoffen (AwSV) ist es daher der Wassergefährdungsklasse (WKG) 3 zuzuordnen.[20]
Ökologie
Es gilt als Prototyp der polycyclischen aromatischen Kohlenwasserstoffe. In der Bestimmung der Umweltbelastung durch diese Stoffgruppe wird meist Benzo[a]pyren als Referenz verwendet. Benzo[a]pyren wird nach seinem Gefährdungspotential als giftig und umweltgefährlich bezeichnet.
Nachweis
Benzo[a]pyren kann man mit Hilfe von Fluoreszenzspektroskopie nachweisen. Aus Gemischen mit anderen Verbindungen kann es durch Dünnschichtchromatographie oder HPLC isoliert werden. Auch möglich ist die quantitative Bestimmung durch Gaschromatographie (GC), gekoppelt mit einem Massenspektrometer (GC-MS).[21][22]
Einzelnachweise
- ↑ a b c d e f g h i Eintrag zu Benzo(a)pyren in der GESTIS-Stoffdatenbank des IFA, abgerufen am 2. Januar 2024. (JavaScript erforderlich)
- ↑ Brockhaus ABC Chemie. VEB F. A. Brockhaus Verlag, Leipzig 1965, S. 172.
- ↑ Eintrag zu Benzo[def]chrysene in der Datenbank ECHA CHEM der Europäischen Chemikalienagentur (ECHA), abgerufen am 1. Februar 2016. Hersteller bzw. Inverkehrbringer können die harmonisierte Einstufung und Kennzeichnung erweitern.
- ↑ Eintrag in der SVHC-Liste der Europäischen Chemikalienagentur, abgerufen am 20. Juni 2016.
- ↑ Schweizerische Unfallversicherungsanstalt (Suva): Grenzwerte – Aktuelle MAK- und BAT-Werte (Suche nach 50-32-8), abgerufen am 29. April 2024.
- ↑ dkfz.de: Krebserzeugende Substanzen im Tabakrauch (PDF; 1,2 MB), 2009.
- ↑ umweltanalytik.com: Polyzyklisch aromatische Kohlenwasserstoffe (PAK) – Schadstoffinformation
- ↑ W. Fritz: Zur Bildung cancerogener Kohlenwasserstoffe bei der thermischen Behandlung von Lebensmitteln.2. Mitt. Das Rösten von Bohnenkaffee und Kaffee-Ersatzstoffen. In: Food / Nahrung, 12, 1968, S. 799, doi:10.1002/food.19680120810.
- ↑ A. Winterstein, H. Vetter, K. Schön: Zur Synthese des krebs-erregenden 3.4-Benzpyrens. In: Chem. Ber., 68, 1935, S. 1079–1085, doi:10.1002/cber.19350680617.
- ↑ R. G. Harvey, K. Lim, Q. Dai: A Convenient New Synthesis of Benzo[a]pyrene. In: J. Org. Chem., 69, 2004, S. 1372–1373.
- ↑ D. A. Hinckley, T. F. Bidleman, W. T. Foreman, J. R. Tuschall: Determination of vapor pressures for nonpolar and semipolar organic compounds from gas chromatograhic retention data. In: J. Chem. Eng. Data., 35, 1990, S. 232–237. doi:10.1021/je00061a003
- ↑ Hao Jiang u. a.: Metabolism of Benzo[a]pyrene in Human Bronchoalveolar H358 Cells Using Liquid Chromatography-Mass Spectrometry. PMC 2423818 (freier Volltext).
- ↑ G. Eisenbrand, M. Metzler: Toxikologie für Chemiker. Georg Thieme Verlag, Stuttgart, ISBN 3-13-127001-2, S. 66.
- ↑ Albert Gossauer: Struktur und Reaktivität der Biomoleküle. Verlag Helvetica Chimica Acta, Zürich 2006, ISBN 3-906390-29-2, S. 218.
- ↑ Anh. VI Teil III, Index-Nr. 601-032-00-3, Kennzeichnung H350; außerdem Einstufung der Keimzellmutagenität als Muta.1B und als reproduktionstoxisch der Kategorie Repr.1B.
- ↑ Institut für Arbeitsschutz der Deutschen Gesetzlichen Unfallversicherung (IFA): IFA Report 1/2021: Gefahrstoffliste 2021 – Gefahrstoffe am Arbeitsplatz. Abgerufen am 10. November 2021.
- ↑ GDA Gefahrstoff-Check. (PDF) In: Arbeitsprogramm „Sicherer Umgang mit krebserzeugenden Gefahrstoffen“ der Gemeinsamen Deutschen Arbeitsschutzstrategie (GDA). Abgerufen am 10. November 2021.
- ↑ Institut für Arbeitsschutz der Deutschen Gesetzlichen Unfallversicherung (IFA): Expositionsdaten zu Benzo(a)pyren (PAK Leitkomponente). (PDF) Abgerufen am 3. Mai 2023.
- ↑ Anh. VI Teil III, Index-Nr. 601-032-00-3, Kennzeichnung H400 und H410
- ↑ durch H410 und H350 mehr als 8 Bewertungspunkte gemäß Ziff. 4.2 und 4.4 der Anlage 1 zu AwSV
- ↑ Guido Deußing, Marc Platthaus: Effiziente GC/MS-Methode zur Bestimmung von PAK-Verbindungen in Lebensmitteln. In: Laborpraxis vom 2. November 2012.
- ↑ No. 82 – Determination of Benzo[a]pyrene in Tobacco Products by GC-MS. In: Cooperation Centre for Scientific Research Relative to Tobacco. Band 5, Dezember 2021.
tetraphene_200.svg.png)


