Acetamiprid
| Strukturformel | ||||||||||||||||
|---|---|---|---|---|---|---|---|---|---|---|---|---|---|---|---|---|
| ||||||||||||||||
| Allgemeines | ||||||||||||||||
| Name | Acetamiprid | |||||||||||||||
| Andere Namen |
(E)-N1-[(6-Chlor-3-pyridyl)methyl]-N2-cyano-N1-methylacetamidin (IUPAC) | |||||||||||||||
| Summenformel | C10H11ClN4 | |||||||||||||||
| Kurzbeschreibung |
weißer bis leicht gelblicher, pulverförmiger, geruchloser Feststoff[1] | |||||||||||||||
| Externe Identifikatoren/Datenbanken | ||||||||||||||||
| ||||||||||||||||
| Eigenschaften | ||||||||||||||||
| Molare Masse | 222,68 g·mol−1 | |||||||||||||||
| Aggregatzustand |
fest | |||||||||||||||
| Schmelzpunkt | ||||||||||||||||
| Dampfdruck |
<1·10−6 Pa (25 °C)[2] | |||||||||||||||
| Löslichkeit |
| |||||||||||||||
| Sicherheitshinweise | ||||||||||||||||
| ||||||||||||||||
| Toxikologische Daten | ||||||||||||||||
| Wenn nicht anders vermerkt, gelten die angegebenen Daten bei Standardbedingungen (0 °C, 1000 hPa). | ||||||||||||||||
Acetamiprid ist eine heterocyclische aromatische chemische Verbindung, die als systemisch wirkendes Insektizid verwendet wird und zur Stoffgruppe der Neonicotinoide zählt. Im Handel erfolgt der Verkauf Acetamiprid-haltiger Insektizide insbesondere unter dem Handelsnamen Careo.
Darstellung und Gewinnung
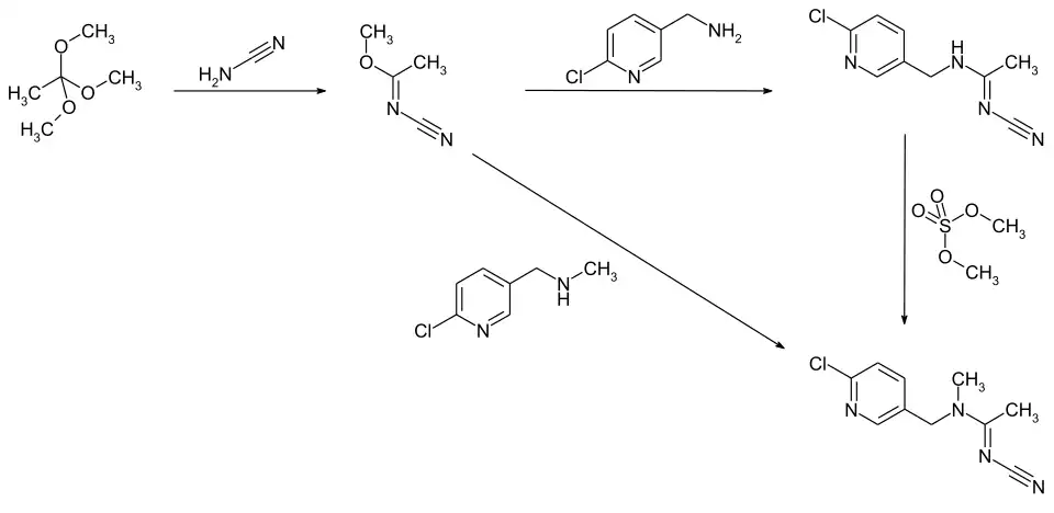
Die Synthese startet mit der Umsetzung von Orthoessigsäuretrimethylester mit Cyanamid mit der Bildung der Zwischenverbindung Methyl-N-cyanoacetimidat. Die Umsetzung mit 3-Aminomethyl-6-chlorpyridin und anschließende Methylierung mittels Dimethylsulfat führen zur Zielverbindung. Alternativ gibt die Umsetzung mit 6-Chlor-3-(methylamino)methylpyridin direkt das Acetamiprid.[2]
Verwendung
Acetamiprid wird als insektizider Wirkstoff in Pflanzenschutzmitteln verwendet. Es eignet sich zur Bekämpfung von beißenden und saugenden Insekten wie Schildläusen, Mottenschildläusen (u. a. Weiße Fliege), Trauermücke, Buchsbaumzünsler[6] und Schmierläusen. In Deutschland, Österreich und der Schweiz sind die zugelassenen Produkte meist zur Behandlung von Topf- und Zierpflanzen gedacht. Es ist aber auch im Gemüsebau, beispielsweise an Gurke, Tomate und Salaten und zur Bekämpfung von Blattläusen an Kernobst zugelassen. Des Weiteren zeigt Acetamiprid auch eine hohe Wirksamkeit gegen die Larven der Kirschfruchtfliege und ist daher in der Schweiz und Österreich für den kommerziellen Kirschanbau zugelassen. Im Ackerbau können einzelne Präparate auch gegen den Rapsglanzkäfer oder die Larven des Kartoffelkäfers eingesetzt werden. Acetamiprid kommt in Form von „Pflanzenstäbchen“, als Spray, Granulat oder Konzentrat in den Handel. Es ist als Wirkstoff in Pflanzenschutzmitteln in vielen Staaten der EU, so auch in Deutschland und Österreich, sowie in der Schweiz zugelassen.[7]
Abgabe im Handel
Mit dem Inkrafttreten der Paragraphen 10–13 der Biozidrechts-Durchführungsverordnung (ChemBiozidDV) zum 1. Januar 2025 sind Insektizide wie Acetamiprid nicht mehr in Selbstbedienung erhältlich, sondern erst nach einem Aufklärungsgespräch durch eine sachkundige Person.[8][9]
Gesundheit
Laut einer Bewertung der EFSA ist nachweisbar, dass Acetamiprid die Entwicklung des menschlichen Gehirns negativ beeinflussen kann.[10] Zitat aus dem zugrunde liegenden Gutachten "Die Ergebnisse an Kulturen von Gehirnzellen aus dem Cerebellum von neonatalen Ratten lassen einen exzitatorischen Effekt der Neonikotinoide Acetamiprid und Imidacloprid erkennen. Unter dem Blickwinkel, dass die nAChRs für die gesunde Entwicklung des Gehirns wesentlich sind, schließen die Autoren: „Therefore, the neonicotinoids may adversely affect human health, especially the developing brain“.[11]
Regulierung
In der EU und 26 Mitgliedsstaaten ist die Anwendung von Acetamiprid zugelassen. In Frankreich ist Acetamiprid seit 2018 verboten. Eine Petition gegen ein Gesetz zur Wiederzulassung erreichte im Juli 2025 eine Million Unterschriften.[12] Der Conseil Constitutionnel Frankreichs entschied am 21. August 2025, dass Acetamiprid in Frankreich verboten bleibt.[13] In der EU und der Schweiz bleibt Acetamiprid voraussichtlich noch bis 2033 erlaubt.[14]
Die erlaubte Tagesdosis und die akute Referenzdosis beträgt jeweils 0,005 Milligramm pro Kilogramm Körpergewicht und Tag und die annehmbare Anwenderexposition 0,025 Milligramm pro Kilogramm Körpergewicht und Tag.[7]
Die Europäische Behörde für Lebensmittelsicherheit (EFSA) schlug wegen möglicher Auswirkungen auf das sich entwickelnde Nervensystem im Dezember 2013 vor, die erlaubte Tagesdosis, die akute Referenzdosis und die annehmbare Anwenderexposition von 0,07 mg/kg auf 0,025 mg/kg Körpergewicht zu senken.[15] Die EFSA senkte im Mai 2024 sowohl die akzeptable Tagesdosis (ADI) als auch die akute Referenzdosis (ARfD) um den Faktor 5 auf nunmehr 0,005 mg/kg Körpergewicht.[16]
2016 wurden die Grenzwerte für Acetamiprid in verschiedenen Lebensmitteln von der EFSA angehoben. Zum Beispiel für Oliven von 0,1 mg/kg auf 0,9 mg/kg, Weizen von 0,03 mg/kg auf 0,1 mg/kg oder Tomaten von 0,2 mg/kg auf 0,5 mg/kg.[17]
In der Schweiz besteht ein Rückstandshöchstgehalt von 1,5 mg/kg auf Kirschen.[18]
Laut Foodwatch hat sich die Belastung von Obst und Gemüse mit Acetamiprid in den letzten Jahren verdreifacht. Unter anderem Süßkirschen, Zucchini, Auberginen, Spinat und Paprika seien häufig belastet.[19]
Weblinks
Einzelnachweise
- ↑ a b c US EPA: Pesticide Fact Sheet Acetamiprid
- ↑ a b c d Tomio Yamada, Hidemitsu Takahashi, Renpei Hatano: A Novel Insecticide, Acetamiprid in „Nicotinoid Insecticides and the Nicotinic Acetylcholine Receptor“, Ed. Izuru Yamamoto, John E. Casida, Springer-Verlag 1999, ISBN 978-4-431-68011-6, S. 149–176.
- ↑ a b Eintrag zu Acetamiprid in der GESTIS-Stoffdatenbank des IFA, abgerufen am 14. Dezember 2022. (JavaScript erforderlich)
- ↑ Eintrag zu Acetamiprid (ISO); (1E)-N-[(6-Chlorpyridin-3-yl)methyl]-N’-cyan-N-methylethanimidamid; (E)-N1-[(6-Chlor-3-pyridyl)methyl]-N2-cyano-N1- methylacetamidin in der Datenbank ECHA CHEM der Europäischen Chemikalienagentur (ECHA), abgerufen am 14. Dezember 2022. Hersteller bzw. Inverkehrbringer können die harmonisierte Einstufung und Kennzeichnung erweitern.
- ↑ Datenblatt Acetamiprid PESTANAL bei Sigma-Aldrich, abgerufen am 24. Oktober 2016 (PDF).
- ↑ Aus Buchsbaumzuensler.net, abgerufen am 31. August 2016
- ↑ a b Generaldirektion Gesundheit und Lebensmittelsicherheit der Europäischen Kommission: Eintrag zu Acetamiprid in der EU-Pestiziddatenbank; Eintrag in den nationalen Pflanzenschutzmittelverzeichnissen der Schweiz, Österreichs (Eingabe von „Acetamiprid“ im Feld „Wirkstoff“) und Deutschlands, abgerufen am 13. März 2016.
- ↑ Arndt Joachim Nagel: Ab 1. Januar 2025: Abgabebeschränkungen beim Biozid-Handel! auf it-recht-kanzlei.de vom 6. September 2024, abgerufen am 14. März 2025.
- ↑ Neue Vorgaben der Biozidrechts-Durchführungsverordnung ab Januar 2025 auf gefahrstoff.com vom 23. September 2024, abgerufen am 14. März 2025.
- ↑ EFSA Panel on Plant Protection Products and their Residues (PPR): Scientific Opinion on the developmental neurotoxicity potential of acetamiprid and imidacloprid. In: EFSA Journal. Band 11, Nr. 12, Dezember 2013, doi:10.2903/j.efsa.2013.3471.
- ↑ PLoS One. 2012;7(2):e32432. Epub 2012 Feb 29, abgerufen am 14. April 2024
- ↑ Frankreich: Eine Million Unterschriften für Petition gegen Wiedereinführung von Pestizid. Stern, 20. Juli 2025, abgerufen am 21. Juli 2025.
- ↑ srf.ch: «Bienenkiller» bleibt in Frankreich verboten – nach viel Wirbel
- ↑ Mirjam Mathis: Verbotenes Pestizid zurück - In Frankreich löst ein umstrittenes Pestizid Proteste aus. In: srf.ch. 3. August 2025, abgerufen am 4. August 2025.
- ↑ EFSA: EFSA bewertet möglichen Zusammenhang zwischen zwei Neonikotinoiden und Entwicklungsneurotoxizität, Pressemitteilung vom 17. Dezember 2013.
- ↑ Statement on the toxicological properties and maximum residue levels of acetamiprid and its metabolites. In: EFSA Journal. 15. Mai 2024, abgerufen am 14. August 2025 (englisch).
- ↑ EFSA: EFSA erhöht Grenzwerte für Acetamiprid, EFSA Journal vom 16. Februar 2016.
- ↑ Fedlex Schweizer Rechtssammlung: Verordnung des EDI über die Höchstgehalte für Pestizidrückstände in oder auf Erzeugnissen pflanzlicher und tierischer Herkunft (VPRH)
- ↑ Lebensmittel – Foodwatch verlangt Verbot des Insektengifts Acetamiprid. In: deutschlandfunk.de. Abgerufen am 30. Juni 2023.



