2-Furfurylthiol
| Strukturformel | ||||||||||||||||
|---|---|---|---|---|---|---|---|---|---|---|---|---|---|---|---|---|
| ||||||||||||||||
| Allgemeines | ||||||||||||||||
| Name | 2-Furfurylthiol | |||||||||||||||
| Andere Namen | ||||||||||||||||
| Summenformel | C5H6OS | |||||||||||||||
| Kurzbeschreibung |
farblose übelriechende Flüssigkeit[2] | |||||||||||||||
| Externe Identifikatoren/Datenbanken | ||||||||||||||||
| ||||||||||||||||
| Eigenschaften | ||||||||||||||||
| Molare Masse | 114,17 g·mol−1 | |||||||||||||||
| Aggregatzustand |
flüssig | |||||||||||||||
| Dichte |
1,128 g·cm−3[2] | |||||||||||||||
| Siedepunkt |
155 °C[2] | |||||||||||||||
| Löslichkeit | ||||||||||||||||
| Brechungsindex |
1,531 (20 °C)[4] | |||||||||||||||
| Sicherheitshinweise | ||||||||||||||||
| ||||||||||||||||
| Wenn nicht anders vermerkt, gelten die angegebenen Daten bei Standardbedingungen (0 °C, 1000 hPa). Brechungsindex: Na-D-Linie, 20 °C | ||||||||||||||||
2-Furfurylthiol ist ein Aromastoff und eine der Hauptkomponenten des Kaffee-Aromas.[5]
Vorkommen
Der Gehalt von 2-Furfurylthiol in geröstetem Kaffee beträgt 1–2 mg·kg−1. Davon gehen ca. ein Drittel bei der Kaffeezubereitung in das Heißgetränk über.[6] 2-Furfurylthiol wurde neben Kaffee in rohem und gebratenem Hühnerfleisch, gekochtem Rindfleisch, gegrilltem Schweinefleisch, Sesamöl und Popcorn festgestellt.[3] Der Gehalt in gekochtem Fleisch beträgt 2 bis >100 µg·kg−1. Damit ist 2-Furfurylthiol auch beim gekochten Fleisch eine Hauptkomponente des Aromas.[6]
Herstellung
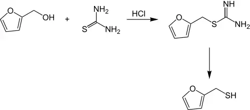
2-Furfurylthiol kann durch die Reaktion von 2-Furanmethanol, Thioharnstoff und Salzsäure hergestellt werden.[7]

Weiter kann 2-Furfurylthiol auch mikrobiell hergestellt und kommerziell erworben werden.[6]
Eigenschaften
2-Furfurylthiol ist eine übelriechende farblose Flüssigkeit.[2] Ihr Geruch ähnelt in starker Verdünnung (0,1–1 ppb) dem Geruch von Kaffee.[5]
Verwendung
2-Furfurylthiol findet unter anderem Verwendung in Getränken, Gebäck und Süßigkeiten.[3]
| Verwendung in verschiedenen Lebensmitteln[3] | |||
|---|---|---|---|
| Alkoholische Getränke | 0,05–1,7 ppm | Soßen | 0,20–0,80 ppm |
| Gebäck | 4,54–6,14 ppm | Harte Süßigkeiten | 24,38 ppm |
| Gewürzbeilagen | 0,10 ppm | Fleischprodukte | 0,04–0,13 ppm |
| Gefrorenen Molkereiprodukte | 2,48–3,30 ppm | Unalkoholische Getränke | 1,12–1,84 ppm |
| Pudding | 1,02–2,35 ppm | Weiche Süßigkeiten | 2,54–3,55 ppm |
Sicherheitshinweise
Die Dämpfe von 2-Furanmethanthiol können mit Luft ein explosionsfähiges Gemisch (Flammpunkt 45 °C) bilden.[2]
Einzelnachweise
- ↑ Eintrag zu FEMA 2493 in der Datenbank der Flavor and Extract Manufacturers Association of the United States.
- ↑ a b c d e f g Eintrag zu 2-Furanmethanthiol in der GESTIS-Stoffdatenbank des IFA, abgerufen am 2. Januar 2024. (JavaScript erforderlich)
- ↑ a b c d e f Fenaroli, Giovanni: Fenaroli’s handbook of flavor ingredients. Sixth edition Auflage. Boca Raton 2009, ISBN 978-1-4200-9077-2.
- ↑ Datenblatt 2-Furanmethanethiol, 98% bei Sigma-Aldrich, abgerufen am 11. Februar 2018 (PDF).
- ↑ a b Eintrag zu 2-Furylmethanthiol. In: Römpp Online. Georg Thieme Verlag, abgerufen am 10. Februar 2018.
- ↑ a b c Eisenbrand, Gerhard; Meyer, Alfred Hagen; Schreier, Peter: Römpp-Lexikon Lebensmittelchemie [M - Z]. 2., völlig überarb. und erw. Auflage. Thieme, Stuttgart [u. a.] 2006, ISBN 3-13-736602-X.
- ↑ Surburg, Horst Panten, Johannes: Common fragrance and flavor materials : preparation, properties and uses. 5. Auflage. Wiley-VCH, Weinheim 2006, ISBN 3-527-31315-X.

