2,4,6-Tris(biphenyl-4-yl)-1,3,5-triazin
| Strukturformel | |||||||||||||||||||
|---|---|---|---|---|---|---|---|---|---|---|---|---|---|---|---|---|---|---|---|
| |||||||||||||||||||
| Allgemeines | |||||||||||||||||||
| Name | 2,4,6-Tris(biphenyl-4-yl)-1,3,5-triazin | ||||||||||||||||||
| Andere Namen |
| ||||||||||||||||||
| Summenformel | C39H27N3 | ||||||||||||||||||
| Kurzbeschreibung |
weißer Feststoff[1] | ||||||||||||||||||
| Externe Identifikatoren/Datenbanken | |||||||||||||||||||
| |||||||||||||||||||
| Eigenschaften | |||||||||||||||||||
| Molare Masse | 537,66 g·mol−1 | ||||||||||||||||||
| Aggregatzustand |
fest | ||||||||||||||||||
| Schmelzpunkt | |||||||||||||||||||
| Sicherheitshinweise | |||||||||||||||||||
| |||||||||||||||||||
| Wenn nicht anders vermerkt, gelten die angegebenen Daten bei Standardbedingungen (0 °C, 1000 hPa). | |||||||||||||||||||
2,4,6-Tris(biphenyl-4-yl)-1,3,5-triazin ist eine chemische Verbindung, die als UV-Filter wirkt und in Sonnencremes verwendet wird. Es handelt sich um einen Breitband-UV-Filter, der gegen UVAII- und UVB-Strahlung mit Wellenlängen von 290 bis 340 Nanometer Schutz bietet.[4]
Es ist isomer zu 2,4,6-Tris(biphenyl-3-yl)-1,3,5-triazin.
Gewinnung und Darstellung
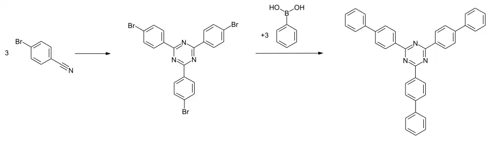
Die Synthese kann durch eine Trimerisierung von 4-Brombenzonitril und anschließender Kupplung des Zwischenprodukts 2,4,6-Tris(bromphen-4-yl)-1,3,5-triazin mit Benzolboronsäure in einer Suzuki-Reaktion in Gegenwart eines Palladiumkatalysators erfolgen.[2]
Weitere Herstellungsmöglichkeiten sind die Trimerisierung von Biphenyl-4-carbonitril in Gegenwart von Aluminiumchlorid[5] und die Umsetzung von Cyanurchlorid mit Biphenyl ebenfalls in Gegenwart von Aluminiumchlorid.[6]
Handelsnamen
- Tinosorb A2B,[7] ETH50
Weblinks
- SCCS (Scientific Committee on Consumer Safety), Opinion on 1,3,5-triazine, 2,4,6-tris(1,1’-biphenyl)-4-yl-, 20. September 2011
Einzelnachweise
- ↑ SCCS (Scientific Committee on Consumer Safety), Opinion on 1,3,5-triazine, 2,4,6-tris(1,1’-biphenyl)-4-yl-, 20. September 2011.
- ↑ a b Tsutomu Ishi-i, Kentaro Yaguma, Thies Thiemann, Masataka Yashima, Kazunori Ueno, Shuntaro Mataka: High Electron Drift Mobility in an Amorphous Film of 2,4,6,-Tris[4-(1-naphthyl)phenyl]-1,3,5-triazine. In: Chemistry Letters. Band 33, Nr. 10, 2004, S. 1244–1245, doi:10.1246/cl.2004.1244.
- ↑ Dieser Stoff wurde in Bezug auf seine Gefährlichkeit entweder noch nicht eingestuft oder eine verlässliche und zitierfähige Quelle hierzu wurde noch nicht gefunden.
- ↑ innovadex.eu: Tinosorb® A2B ( vom 23. Februar 2014 im Internet Archive), abgerufen am 2. Mai 2019.
- ↑ Patentanmeldung US6225467: Electroluminescent (EL) devices. Angemeldet am 21. Januar 2000, veröffentlicht am 1. Mai 2001, Anmelder: Xerox, Erfinder: Mohammad Esteghamatian, Nan-Xing Hu, Zoran D. Popovic, Ah-Mee Hor, Beng S. Ong.
- ↑ Patentanmeldung WO2004085412A2: Symmetrical Triazine Derivatives. Angemeldet am 24. März 2003, veröffentlicht am 29. Juli 2003, Anmelder: Ciba Specialty Chemicals, Erfinder: Thomas Ehlis, Stefan Müller, Pascal Hayoz.
- ↑ Eintrag zu Tris-biphenyl triazine in der ChemIDplus-Datenbank der United States National Library of Medicine (NLM), abgerufen am 20. Juli 2020. (Seite nicht mehr abrufbar)
-4-yl)-1%252C3%252C5-triazine_200.svg.png)